Visualización de campos escalares y vectoriales en fluidos (C-19)
En este artículo vamos a analizar el flujo de un fluido incompresible alrededor de un obstáculo sólido con forma circular en el sistema plano. Para trabajar con mayor comodidad vamos a utilizar las coordenadas cilíndricas (polares ya que estamos en el plano), debido a la forma del objeto y a la región de estudio.
Todas las gráficas aquí publicadas han sido obtenidas a través del programa MATLAB.
Contenido
- 1 Concepto de fluido incompresible
- 2 Representación de la región ocupada por el fluido
- 3 Campo de velocidad del fluido
- 4 Incompresibilidad del fluido
- 5 Líneas de corriente de la velocidad del fluido
- 6 Velocidad máxima y mínima del fluido
- 7 Puntos de la frontera
- 8 Presión del fluido
- 9 Movimiento de las partículas en el fluido
- 10 Fuerza ejercida por el fluido
1 Concepto de fluido incompresible
Un fluido incompresible es cualquier fluido cuya densidad siempre permanece constante con el tiempo y tiene la capacidad de oponerse a la compresión del mismo bajo cualquier condición. En términos matemáticos, esto significa que la densidad de tal fluido se supone constante.
2 Representación de la región ocupada por el fluido
En primer lugar, vamos a representar la región ocupada por el fluido a través de un mallado circular, acotando a la región de estudio por el cuadrado [-5,5] x [-5,5].
Recogemos aquí los comando empleados en el programa MATLAB para realizar el mallado circular:
Y aquí la representación gráfica del mallado:
3 Campo de velocidad del fluido
Tras haber observado la región que ocupa el fluido vamos a proceder a analizar la velocidad de las partículas de dicho fluido. Obtendremos por tanto un campo vectorial al que denominaremos [math]\vec u[/math].
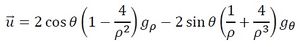
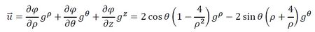
Para lograr la visualización de dicho campo se recurrirá a la representación de la función potencial [math]\varphi(\rho,\theta)=2cos \theta(\rho+\frac{4}{\rho}) [/math], cuyo gradiente son las componentes de la velocidad en cada punto [math]\vec u=\nabla \varphi[/math].
Dada la función potencial [math]\varphi[/math] antes definida [math]\varphi(\rho,\theta)=(2cos \theta(\rho+\frac{4}{\rho}) [/math] procedemos a su derivación para encontrar el vector [math]\vec u[/math] definido como el gradiente de dicha función potencial ([math]\vec u=\nabla \varphi[/math]).
Lo pasamos a coordenadas contravariantes utilizando el cambio en base a la matriz de Gram:
Lo pasamos a ortonormal:
3.1 Representación gráfica
3.2 Conclusiones
Se observa que la velocidad es ortogonal en todo momento a las curvas de nivel de la función potencial.
Por otra parte al ser [math]\vec u[/math] un campo definido solo en el plano y no en el espacio, al multiplicar [math]\nabla u·\vec n=0[/math] da cero debido que el vector normal a la superficie es [math]\vec n=\vec k[/math], y como nuestro campo está en dos dimensiones, esto va a ser siempre cero. Esto es:
Nótese que la dirección del campo vectorial es siempre perpendicular a la superficie equipotencial en cada punto y apunta desde la equipotencial de más alto potencial a la de más bajo potencial.
Además, si nos situásemos muy lejos del obstáculo, podríamos considerar [math]\frac{1}{\rho}=0 [/math], pudiendo aproximarse el campo [math]\vec u [/math] a:
Y por tanto su módulo:
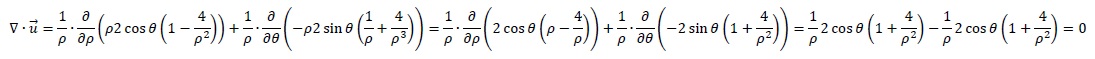
4 Incompresibilidad del fluido
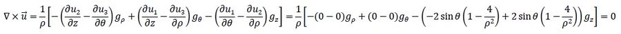
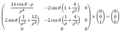
Para comprobar que realmente se trata de un fluido incompresible, debemos calcular su rotacional y su divergencia y, en base a eso, podremos determinarlo.
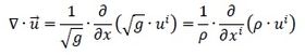
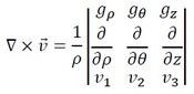
Al estar en coordenadas cilíndricas (o polares por estar trabajando en el plano), las fórmulas del rotacional y de la divergencia respectivamente son:
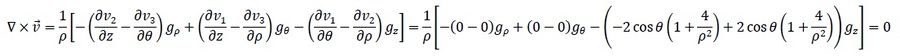
Procedemos a calcular:
4.1 Conclusiones
Sabiendo que [math]\vec u [/math] es el campo de velocidades de nuestro fluido, hemos calculado que su rotacional es nulo, por lo que las partículas no giran. En general, este rotacional indica la cantidad neta de giro del fluido en dirección contraria a las manecillas del reloj alrededor de nuestra superficie. Indica por tanto su circulación, que como ya hemos indicado es nula. La divergencia del campo vectorial [math]\vec u [/math] en un punto P es el flujo que sale del punto por unidad de volumen. En este caso la divergencia representa la razón de expansión por unidad de volumen bajo el flujo del fluido. Como la divergencia también nos da nula, significa que el fluido no varía, se mantiene constante. Todo esto nos lleva a afirmar que nuestro campo ni gira ni se expande, concluyendo que se trata de un fluido incompresible.
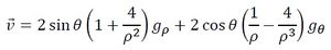
5 Líneas de corriente de la velocidad del fluido
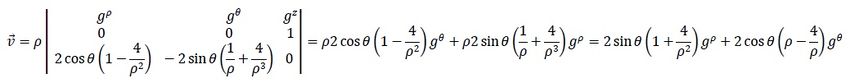
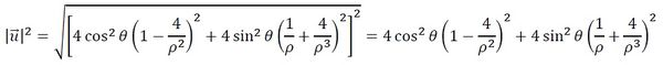
Vamos a dibujar las líneas de corriente del campo [math] \vec u [/math], es decir, las líneas que son tangentes al campo de velocidad del fluido en cada punto. Para ello calcularemos el campo [math] \vec v [/math], que es ortogonal a [math] \vec u [/math] en cada punto. Por otra parte veremos por qué [math] \vec v [/math] es irrotacional y calcularemos su función potencial asociada para comprobar que sus líneas efectivamente son ortogonales a [math] \vec u [/math].
Calculamos [math] \vec v [/math] como [math] \vec v =\vec k × \vec u [/math] y lo dejamos en coordenadas covariantes:
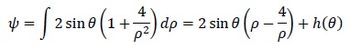
Calculamos la función potencial de [math] \vec v [/math] basándonos en las derivadas parciales:
Y además calculamos el rotacional de [math] \vec v [/math]:
5.1 Representación gráfica
5.2 Conclusiones
En base a estos cálculos, llegamos a distintas conclusiones que se pueden apreciar en la representación gráfica, donde vemos que las líneas de corriente son efectivamente tangentes al campo de velocidades y, además, que el campo [math] \vec v [/math] es irrotacional debido a que su divergencia es nula.
6 Velocidad máxima y mínima del fluido
Una vez calculado el campo de velocidades y sus líneas de corriente, procederemos a estudiar los puntos de este campo en los que la velocidad es máxima y mínima, así como la representación de los puntos de remanso, en los cuales la velocidad es nula.
Calculamos el modulo del vector [math] \vec v [/math] en coordenadas contravariantes, fijando [math] \rho=2 [/math], quedando en función del seno [math] \theta [/math]:
6.1 Conclusiones
Los valores máximos y mínimos se darán en los valores correspondientes a [math]sin\theta=1[/math] y [math]sin\theta=-1[/math], mientras que los valores nulos se encontrarán en [math]sin\theta=0[/math]. De aquí se obtiene que la velocidad máxima corresponderá a los valores de [math]\theta=\frac{\pi}{2}[/math] y [math]\theta=\frac{3 \pi}{2}[/math], mientras que los valores mínimos (y asimismo puntos de remanso) se obtendrán en los valores de [math]\theta=0[/math] y [math]\theta=\pi[/math].
7 Puntos de la frontera
Vamos a analizar los puntos de la frontera en los valores 2 y 6. Para ello primero sustituiremos los valores de [math]( \rho =2,\quad \rho =6 )[/math] en el campo [math]\overline { u }[/math] y después derivamos el campo [math]\overline { u }[/math] y sacamos los puntos en los que se anula la derivada de [math]\overline { u }[/math] para obtener los puntos en los que encontraremos máximos y mínimos. Para saber si los puntos son máximos o mínimos lo evaluaremos en la función, no en la derivada.
Campo [math]\bar { u }[/math]::
[math]\overline { u } =2cos(\theta )(1-\frac { 4 }{ \rho ^{ 2 } } ){ \overline { g } }_{ \rho }-2sen(\theta )\left( \frac { { \rho }^{ 2 }+4 }{ { \rho }^{ 3 } } \right) { \overline { g } }_{ \theta }[/math]
Para [math]\rho =2[/math]
[math]\bar { u } =-2sen(\theta )[/math]
[math]{ \bar { u } }'=-2cos(\theta )=0 [/math]
Igualando a 0 obtenemos los valores
[math]\theta =\frac { \pi }{ 2 } [/math]Evaluando en u sabemos que es un Mínimo
Análogamente se haría lo mismo en los otros valores de [math]\theta[/math] para saber si son máximos o mínimos
[math]\theta =3\frac { \pi }{ 2 } [/math] Máximo
Para el valor [math]\underline { \rho =6 }:[/math]
[math]\bar { u } ={ \left( \frac { 16 }{ 9 } cos\theta \right) }^{ 2 }-{ \left( \frac { 10 }{ 2z } sen\theta \right) }^{ 2 }[/math]
[math]{ \bar { u } }'=2{ \left( \frac { 16 }{ 9 } cos\theta \right) }{ \left( \frac { -16 }{ 9 } sen\theta \right) }-{ 2\left( \frac { 10 }{ 2z } sen\theta \right) }{ \left( \frac { 10 }{ 2z } cos\theta \right) }=0[/math]
Al igualar a 0 obtenemos los siguientes valores:
[math]\theta =0 [/math] maximo
[math]\theta =\frac { \pi }{ 2 } [/math]Mínimo
[math]\theta = 3\frac { \pi }{ 2 } [/math]Mínimo
[math]\theta = { \pi } [/math]Máximo
A continuación vamos a obtener numericamente los máximos y los mínimos con MATLAB:
%Creamos el mallado.
u=linspace(2,6,100);
v=linspace(0,2*pi,100);
[U,V]=meshgrid(u,v);
%Definimos la parametrizacion y la función velocidad en ro=2.
X=U.*cos(V);
Y=U.*sin(V);
fu=(2.*sin(V));
%Calculamos la velocidad maxima.
maximo=max(max(fu))
Vamos a ver los puntos del fluido que tienen módulo de velocidad menor:
%Creamos el mallado.
u=linspace(2,6,100);
v=linspace(0,2*pi,100);
[U,V]=meshgrid(u,v);
%Definimos la parametrizacion y la funcion velocidad en ro=2.
X=U.*cos(V);
Y=U.*sin(V);
fu=(2.*sin(V));
%Calculamos el minimo valor absoluto de esta.
minimo=min(min(abs(fu)))
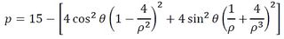
8 Presión del fluido
8.1 Ecuación de Bernouilli
La ecuación de Bernoulli describe el comportamiento de un fluido bajo condiciones variantes:
En la ecuación de Bernoulli intervienen los parámetros siguientes:
[math]p[/math]: presión estática a la que está sometido el fluido debida a las moléculas que lo rodean.
[math]\rho[/math] : densidad del fluido, que en nuestro caso es 2.
[math] \vec u [/math]: velocidad de flujo del fluido.
Esta ecuación se aplica en la dinámica de fluidos. Un fluido se caracteriza por carecer de elasticidad de forma, es decir, adopta la forma del recipiente que la contiene. Esto se debe a que las moléculas de los fluidos no están rígidamente unidas, como en el caso de los sólidos. Fluidos son tanto gases como líquidos.
Para llegar a la ecuación de Bernoulli, se han de hacer ciertas suposiciones que nos limitan el nivel de aplicabilidad:
- - El fluido se mueve en un régimen estacionario, o sea, la velocidad del flujo en un punto no varía con el tiempo.
- - Se desprecia la viscosidad del fluido (que es una fuerza de rozamiento interna).
El efecto Bernoulli es una consecuencia directa que surge a partir de la ecuación de Bernoulli: cuando el fluido sufre un aumento de la velocidad del flujo, esto implica un decrecimiento de la presión estática.
Aplicando esto a nuestros datos para obtener la ecuación de la presión:
![]()
8.2 Representación gráfica
8.3 Cálculo numérico de la presión media
Para el cálculo de la presión media del fluido, realizaremos una aproximación de la integral de la presión en todo el fluido y la dividiremos por el área del anillo en el que lo estamos estudiando, es decir, [math]2\lt\rho\lt6[/math]:
Como resultado, obtendremos que la presión media es igual a 13.574, resultado que corresponde con el valor que se puede estimar observando la gráfica de la presión obtenida anteriormente.
9 Movimiento de las partículas en el fluido
La partícula, a medida que se aproxima al obstáculo, describe una línea de corriente en la que, según avanza, sigue el contorno del objeto rodeándolo para volver a su dirección original una vez superado.
Suponiendo que la densidad del fluido es constante, se observa que la presión aumenta cuando la velocidad del fluido disminuye y viceversa. Es decir, se verifica la ecuación de Bernouilli. Conforme una partícula va acercándose al obstáculo, su velocidad va disminuyendo hasta alcanzar la mínima velocidad mientras que, a su vez, la presión irá aumentando. Una vez la partícula llega al obstáculo, después de haber alcanzado su mínima velocidad, va disminuyendo la presión a la vez que la velocidad va aumentando hasta llegar a la velocidad máxima. De nuevo, experimenta una subida de presión mientras su velocidad vuelve a disminuir hasta anularse.
10 Fuerza ejercida por el fluido
Ilustraremos la paradoja de D’Alembert calculando la circulación del campo de velocidades.
Según el teorema Kutta-Joukowski la fuerza es proporcional a la circulación y dado que ésta (como demuestra el desarrollo matemático) es nula, teóricamente la fuerza que aplica el fluido sobre el obstáculo es igualmente nula, lo cual resulta ilógico, derivando así en la paradoja antes citada.
10.1 Conclusiones
Se comprueba asi el teorema de Kutta-Joukowski, que establece que la fuerza que ejerce el fluido sobre el obstáculo es proporcional a la circulación y también a la densidad del fluido y a la velocidad de éste. La ecuación tiene la siguiente forma: [math]l=\rho v Γ[/math]
Siendo:
l: la fuerza de sustentación
[math]\rho[/math]: densidad del fluido
v: velocidad del fluido
Γ: la circulación
Al ser nula, el fluido no ejerce ninguna fuerza sobre el obstáculo, en contra de la intuición.








