Análisis sobre el flujo de un fluido incompresible (Grupo 4A)
De MateWiki
Para llevar a cabo el análisis se pretende estudiar el desarrollo del flujo del fluido incompresible alrededor de un obstáculo sólido con forma circular en el sistema plano (R2).
A fin de trabajar con mayor comodidad en dicho plano se empleará un sistema de coordenadas cilíndricas (polares, dado que se trabaja en el plano), debido a la forma del objeto y de la región de estudio.
Todas las gráficas aquí publicadas han sido obtenidas a través del programa MATLAB.
Contenido
- 1 FASE 1: REGIÓN DEL FLUIDO
- 2 FASE 2: VELOCIDAD DEL FLUIDO
- 3 FASE 3: INCOMPRESIBILIDAD DEL FLUIDO
- 4 FASE 4: LÍNEAS DE CORRIENTE DE LA VELOCIDAD DEL FLUIDO
- 5 FASE 5: VELOCIDADES MÁXIMAS Y MÍNIMAS DEL FLUIDO
- 6 FASE 6: PRESIÓN DEL FLUIDO
- 7 FASE 7: MOVIMIENTO DE UNA PARTÍCULA DEL FLUIDO
- 8 FASE 8: FUERZA EJERCIDA POR FLUIDO
- 9 FASE 9: AMPLIACIÓN DEL ANÁLISIS
- 10 FASE 10: ESQUEMA VISUAL DEL TRABAJO
1 FASE 1: REGIÓN DEL FLUIDO
1.1 Planteamiento
- En primera instancia, se representará la región ocupada por el fluido a través de un mallado circular, acotando la región de estudio por el cuadrado [math][-4,4]\times[-4,4][/math].
1.2 Proceso de MATLAB
- Recogemos aquí los comandos empleados en el programa Matlab para realizar el mallado circular:
1.3 Representación gráfica
- Adjuntamos la gráfica donde queda recogida la región antes citada:
2 FASE 2: VELOCIDAD DEL FLUIDO
2.1 Planteamiento
- En el siguiente punto a tratar se observará la velocidad adquirida por las partículas del fluido. Se obtendrá de esta forma un campo vectorial en el cual denominaremos a la velocidad por el vector u ([math]\vec u[/math]).
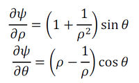
- Para lograr la visualización de dicho campo se recurrirá a la representación de la función potencial phi ([math]\varphi(\rho,\theta)=(\rho+1/\rho)\cos \theta [/math]), cuyo gradiente son las componentes de la velocidad en cada punto ([math]\vec u=\nabla \varphi[/math]).
- Se observa que la velocidad es ortogonal en todo momento a las curvas de nivel de la función potencial.
2.2 Desarrollo matemático
- Dada la función potencial phi ([math]\varphi[/math]) antes definida ([math]\varphi(\rho,\theta)=(\rho+1/\rho)\cos \theta [/math]) procedemos a su derivación para encontrar el vector u ([math]\vec u[/math]) definido como el gradiente de dicha función potencial ([math]\vec u=\nabla \varphi[/math]).
2.3 Proceso de MATLAB
- Los comandos empleados en Matlab para obtener la velocidad fueron:
2.4 Representación gráfica
- Adjuntamos la gráfica donde queda recogido el campo vectorial de velocidades antes descrito:
- Aplicando zoom=2 en Matlab acercamos la región representada para observar más detalladamente que las curvas de nivel de la función potencial son ortogonales en todo momento a la velocidad del fluido:
3 FASE 3: INCOMPRESIBILIDAD DEL FLUIDO
3.1 Planteamiento
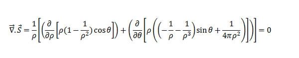
- Para comprobar la condición de incompresibilidad recurriremos a la divergencia de la velocidad, comprobando que ésta es nula y, por tanto el fluido localmente mantiene su volumen.
- A fin de ampliar nuestro estudio, calcularemos asimismo el rotacional de la velocidad y observaremos que éste es nulo (el fluido no gira).
3.2 Desarrollo matemático
- Como ya vimos en la Fase 2.2, siendo el vector u ([math]\vec u[/math]) el gradiente de la función potencial, para obtener las componentes de la velocidad basta con calcular las derivadas parciales de la ecuación.
- Una vez obtenidas, es cuestión de realizar un producto vectorial y escalar para obtener, respectivamente, el rotacional y la divergencia.
- Como se puede observar, ambos son nulos.
4 FASE 4: LÍNEAS DE CORRIENTE DE LA VELOCIDAD DEL FLUIDO
4.1 Planteamiento
- En este apartado se representarán las líneas de corriente del campo de velocidades acudiendo para ello a la función de corriente del campo, llamada psi ([math]\psi[/math]).
- El proceso consiste en asignar un valor constante a dicha función y obtener así una serie de líneas, las cuales corresponden a las líneas de corriente que se pretende dibujar.
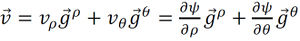
- La función de corriente es el potencial escalar del vector v ([math]\vec v[/math]), donde v ([math]\vec v[/math]) es ortogonal al vector u ([math]\vec u[/math]), y se define como el producto vectorial de los vectores k y u ([math]\vec v=\vec k \times \vec u[/math]) .
4.2 Desarrollo matemático
- Por tener divergencia nula el campo vectorial u ([math]\vec u[/math]) admite lo que se denomina potencial vector.
- El flujo fi (Φ) del campo de velocidades u ([math]\vec u[/math]) a través de una curva del plano (en este caso nuestro obstáculo) es la cantidad de fluido que atraviesa la curva del plano en la unidad de tiempo (caudal).
- Es decir, el flujo del campo vectorial u ([math]\vec u[/math]) a través de la curva es lo mismo que la circulación del campo ortogonal v anteriormente definido ([math]\vec v=\vec k \times \vec u[/math]) a lo largo de la curva.
- Si psi ([math]\psi[/math]) es la función de corriente de u ([math]\vec u[/math]), psi ([math]\psi[/math]) es el potencial escalar de v ([math]\vec v[/math]), es decir, el vector v es el gradiente de la función psi ([math]\vec v[/math] = ∇[math]\psi[/math]).
- Entonces:
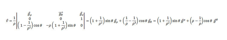
- Procedemos al cálculo del campo vectorial v ([math]\vec v[/math]) mediante la definición de éste como el producto vectorial de u por k ([math]\vec v=\vec k \times \vec u[/math]).
- Ahora integramos:
- Integrando una de ellas e igualándola a la restante obtenemos los términos que no son comunes a ésta, los cuales integraremos obteniendo una función + una constante, la cual tomaremos como cero obteniendo así la función requerida:
4.3 Proceso de MATLAB
- Recogemos en este apartado los comandos empleados en Matlab para dibujar las líneas de corriente de la velocidad del fluido:
4.4 Representación gráfica
- Se adjunta la gráfica con las líneas de corriente de u ([math]\vec u[/math]):
- Observando con zoom=1,5 podemos ver que el campo de velocidades del vector u ([math]\vec u[/math]) es tangente a las líneas de corriente obtenidas:
5 FASE 5: VELOCIDADES MÁXIMAS Y MÍNIMAS DEL FLUIDO
5.1 Planteamiento
- Una vez calculado el campo de velocidades y sus líneas de corriente, procederemos a estudiar los puntos de este campo en los que la velocidad es máxima y mínima, así como la representación de los puntos de remanso, en los cuales la velocidad es nula.
5.2 Desarrollo matemático
- Asignándole el valor 1 a la variable ro ([math]\rho=1[/math]) obtenemos el estudio de la frontera S.
- Se puede observar a simple vista que la función velocidad varía según el seno del ángulo theta ([math]\theta[/math]).
- Al obtener el módulo de la velocidad, particularizando en ro con valor 1 ([math]\rho=1[/math]), se tiene que la función depende del valor absoluto del seno de theta (|sen([math]\theta[/math])|). Así pues, los valores máximos y mínimos se darán en los valores correspondientes a seno de theta igual a 1 y -1 (sen([math]\theta[/math])=1 y sen([math]\theta[/math])=−1), mientras que los valores nulos se encontrarán en seno de theta igual a 0 (sen([math]\theta[/math])=0).
- De aquí se obtiene que la velocidad máxima corresponderán a los valores de theta pi medios ([math]\theta=\frac{\pi}{2}[/math]) y tres pi medios ([math]\theta=\frac{3 \pi}{2}[/math]), y los valores mínimos (y asimismo puntos de remanso) se obtendrán en los valores de theta cero y pi ([math]\theta=0[/math] y [math]\theta=\pi[/math]).
5.3 Proceso de MATLAB
- Exponemos en este punto los comandos empleados en Matlab para obtener la gráfica:
5.4 Representación gráfica
- Hemos representado con 4 cruces rojas los puntos anteriormente detallados.
- Además, se puede observar que la velocidad va en aumento desde el primer punto de remanso hasta alcanzar su máximo valor, y posteriormente va disminuyendo su valor hasta que alcanza el segundo punto de remanso:
- Ampliamos con zoom=1,5 la región de estudio para observar con mayor detalle los puntos mencionados:
6 FASE 6: PRESIÓN DEL FLUIDO
6.1 Planteamiento
- Gracias a la ecuación de Bernoulli, la cual describe el comportamiento de un fluido relacionando velocidad y presión, podemos obtener el valor de la presión del fluido.
- Siendo la ecuación [math] \frac{1}{2} \rho |\vec u|^2 + p = cte, [/math] y, dado el supuesto de que la densidad es igual a 2 ([math]\rho=2[/math]), se le otorgarán valores a la constante para representar la presión.
- Asimismo, se obtendrán los valores máximos y mínimos de la presión en todo el campo, los cuales presentan una relación con los puntos de mayor y menor velocidad. Se deduce así que, para mantener la igualdad de la ecuación, cuando la presión aumenta, la velocidad disminuye, y viceversa.
6.2 Desarrollo matemático
- Aplicados los valores a la función, nos encontramos con el resultado de la primera imagen. Como se puede observar, se le ha otorgado un valor de 10 a la constante. Esto se debe a motivos puramente estéticos, ya que permite que en el campo de presiones, mostrado más adelante, no queden valores por debajo de 0. Por otra parte, se consiguen resultados con una mejor interpretación física.
- Para obtener el módulo de la velocidad no hay más que multiplicar cada componente por sí misma, para lo cual basta con pre y post multiplicar la matriz de Gram por cada vector componente.
- Una vez calculado el módulo del vector u ([math]\vec u[/math]) respecto a sus componentes, ya sólo queda sustituir en la ecuación, con lo cual obtenemos al fin la definición del campo escalar de presiones.
6.3 Proceso de MATLAB
- Recogemos aquí los comandos empleados para dibujar las diversas gráficas:
6.4 Representación gráfica
- Adjuntamos las gráficas donde se plasman los diversos valores de la presión así como su comparación con los valores del módulo de la velocidad:
- Para una mejor observación ampliamos la región con zoom=2:
7 FASE 7: MOVIMIENTO DE UNA PARTÍCULA DEL FLUIDO
7.1 Planteamiento
- Tras haber analizado los campos de velocidades y presiones nos disponemos a estudiar el movimiento de una partícula del fluido a lo largo de su trayectoria, rodeando así el obstáculo.
7.2 Proceso de MATLAB
- Hemos creído conveniente recoger aquí los comandos empleados en Matlab para realizar la gráfica:
7.3 Representación gráfica
- Adjuntamos la gráfica donde queda recogida la trayectoria de la partícula de fluido rodeando el obstáculo:
- Para mejor observación ampliamos la sección con zoom=2 :
- Aclaración: las líneas amarillas corresponden al módulo de la velocidad, las líneas oscuras a la presión y las líneas semihorizontales a la función de corriente.
8 FASE 8: FUERZA EJERCIDA POR FLUIDO
8.1 Planteamiento
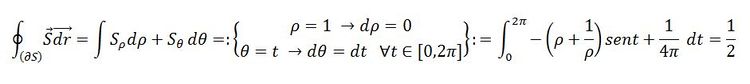
- Ilustraremos la paradoja de D’Alembert calculando la circulación del campo de velocidades.
- Según el teorema Kutta-Joukowski la fuerza es proporcional a la circulación y dado que ésta (como demuestra el desarrollo matemático) es nula, teóricamente la fuerza que aplica el fluido sobre el obstáculo es igualmente nula, lo cual resulta ilógico, derivando así en la paradoja antes citada.
8.2 Desarrollo matemático
- Adjuntamos los cálculos donde quedan recogidas las ideas anteriormente expuestas.
- Dado que la fuera es proporcional a la circulación, basta con calcular esta última. La circulación se obtiene con una sencilla integral de línea en todo el recinto (el cual es cerrado, dado que es una circunferencia) y como se observa, resulta nula.
9 FASE 9: AMPLIACIÓN DEL ANÁLISIS
9.1 Planteamiento
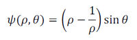
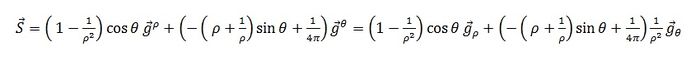
- Con el fin de ahondar en el estudio del fluido, procedemos a repetir ciertas partes del análisis anterior variando la expresión de la función potencial ([math]\varphi(\rho,\theta)=(\rho+1/\rho)\cos \theta +\theta / (4\pi)[/math]), y obteniendo así un escenario alternativo.
9.2 Desarrollo matemático
- Denominaremos al nuevo vector velocidad como s ([math]\vec s[/math]), siendo éste el gradiente de la nueva función dada:
- Continuando con la rutina ejercida con el anterior fluido, procederemos al cálculo del rotacional y de la divergencia para observar si el fluido gira, y si cumple la relación de incompresibilidad anteriormente descrita.
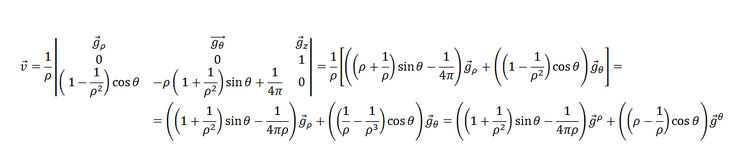
- Una vez comprobado que la divergencia es nula llevamos a cabo la búsqueda de la función de corriente psi ([math]\psi[/math]) para este nuevo fluido.
- Para ello buscaremos el vector ortogonal a s ([math]\vec s[/math]) que llamaremos v ([math]\vec v[/math]) (cuya definición está descrita en la fase correspondiente del anterior fluido)
- Este vector pertenece a la función psi ([math]\psi[/math]), siendo sus componentes "covas" las derivadas parciales de ésta.
- Una vez identificadas éstas procedemos a la obtención de la función con el procedimiento seguido en el caso anterior.
- Para comprobar si D'Alembert estaba en lo cierto, procederemos a la comprobación con este segundo fluido, ya que con el primero se afirmaba su paradoja (siendo posible en matemáticas pero imposible físicamente).
- Al obtener un resultado distinto de cero comprobamos que la paradoja no es tal, puesto que nuestro fluido ejerce una fuerza en contra de la superficie S (obstáculo) pudiendo realizar cambios en éste (lo desplaza).
9.3 Proceso de MATLAB
9.4 Representación gráfica
- Adjuntamos los gráficos donde quedan recogidas las ideas anteriormente expuestas.
- Cuyas ampliaciones para mejor observación son:
10 FASE 10: ESQUEMA VISUAL DEL TRABAJO
10.1 Representación gráfica
- Adjuntamos los gráficos anteriormente expuestos con el fin de llevar a cabo una breve recapitulación de todo el análisis realizado.
- Podemos ver en el siguiente enlace un documento PDF que nos muestra algunas aplicaciones prácticas de nuestro estudio, como por ejemplo ¿por qué vuela un avión?.
















