Visualización de campos escalares y vectoriales en fluidos. Grupo 8-C
Contenido
- 1 Resumen
- 2 Representación longitudinal
- 3 Ecuación de Navier-Stokes
- 4 Estudio del campo de presiones y el campo de velocidades
- 5 Líneas de corriente del campo de velocidades
- 6 Estudio del campo de velocidades
- 7 Rotacional del campo de velocidades
- 8 Estudio del campo de temperaturas del fluido
- 9 Estudio del campo de presiones
- 10 Caudal circulante por el canal
1 Resumen
Analizaremos el comportamiento de un fluido incompresible en un canal a través del estudio de la velocidad de sus partículas (campo vectorial) y de sus presiones (campo escalar). A lo largo de este estudio, trabajaremos con coordenadas cartesianas.
Consideramos la incompresibilidad de un fluido como una aproximación, en la que a lo largo de todo el flujo la densidad se mantendrá constante.
La expresión de la velocidad de las partículas del fluido es :
\[\vec{u}(x,y)=u_1(x,y)\vec{i}+u_2(x,y)\vec{j}=y\cdot(1-y)\frac{p_1-p_2}{2μ}\vec{i}\]
Y la expresión de la presión en los puntos del fluido será:
\[p(x,y)=p_1+(p_2-p_1)(x-1)\]
Donde, la presión en los puntos x=1 y x=2 es \(p_1\) y \(p_2\) respectivamente. Ademas, \(μ\) es el coeficiente de viscosidad del fluido en cuestión.
2 Representación longitudinal
Con un programa informático (MatLab) realizamos un mallado que representa los puntos interiores del canal de dimensiones [0,4]x[0,1]. Los representaremos en la región [0,4]x[-1,2].
x=0:0.1:4;
y=0:0.1:1;
[xx,yy]=meshgrid(x,y);
figure(1)
mesh(xx,yy,0^xx)
axis([0,4,-1,2])
view(2)
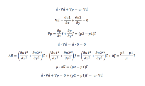
Las ecuaciones de Navier-Stokes reciben su nombre de Louis Navier y George Gabriel Stokes. Se trata de un conjunto de ecuaciones en derivadas parciales no lineales que describen el movimiento de un fluido.
\(\vec{u} \cdot \nabla \vec{u} + \nabla p=μ \Delta\vec{u} \)
3.1 Comprobación de la ecuación
A continuación, probamos que nuestro campo de presiones y velocidades satisfacen la ecuación y la condición de incompresibilidad (el agua ocupa siempre el mismo volumen).
4 Estudio del campo de presiones y el campo de velocidades
Como dato, partimos de:
[math]p_1=2[/math]
[math]p_2=1[/math]
[math]\mu=1[/math]
Sustituyendo, obtenemos:
[math]\vec{u}(x,y) = \frac{y(1-y)}{2}\vec{i}[/math]
4.1 Representación del campo de presiones
x=0:0.1:4;
y=0:0.1:1
[xx,yy]=meshgrid(x,y);
figure (1)
f=3-xx
surf(xx,yy,f)
view(2)
4.2 Representación del campo de velocidades
x=0:0.1:4;
y=0:0.1:1; [xx,yy]=meshgrid(x,y);
figure (2)
fx=(1/2).*(yy-(yy.^2));
fy=0.*xx;
quiver(xx,yy,fx,fy)
axis([0,4,-1,2])
view(2)
5 Líneas de corriente del campo de velocidades
Para calcular las líneas de corriente del campo de velocidades, tangentes al vector de velocidad en cada punto, debemos calcular previamente los siguientes apartados:
5.1 Campo ortogonal al campo de velocidades
[math] \vec{v}=\vec{k}\times \vec{u} = \displaystyle\frac{y(1-y)}{2}\vec{j}[/math]
5.2 Rotacional del campo ortogonal al campo de velocidades
Comprobamos que este campo es irrotacional (por ser el campo de velocidades de divergencia nula).
[math]\nabla\times\vec{v}= det\begin{pmatrix} \vec{i} & \vec{j} & \vec{k} \\ \frac{ \partial}{\partial x} & \frac{\partial }{\partial y} & \frac{\partial }{\partial z}\\ v_1 & v_2 & v_3 \end{pmatrix}= det\begin{pmatrix} \vec{i} & \vec{j} & \vec{k} \\ \frac{ \partial}{\partial x} & \frac{\partial }{\partial y} & \frac{\partial }{\partial z}\\ 0 & u_1 & 0 \end{pmatrix}=\frac{y(1-y)}{2}\vec{j} [/math]
5.3 Función de corriente
Ahora, pasamos a calcular la función de corriente o potencial escalar [math] \psi [/math]
[math]\vec{v} = \nabla\psi = (\displaystyle\frac{d\psi }{dx})\vec{i} + (\displaystyle\frac{d\psi }{dy})\vec{j} [/math]
[math]\frac{ \partial \psi}{\partial y}=\frac{y(1-y)}{2} [/math] ; [math]\psi =\int\frac{y(1-y)}{2}dy =\frac{1}{2}(\frac{y^2}{2}-\frac{y^3}{3})+ f(x) [/math]
[math]\frac{ \partial \psi}{\partial x}=0 [/math] ; [math]\frac{\partial}{\partial x}(\frac{1}{2}(\frac{y^2}{2}-\frac{y^3}{3})) + f'(x)=0 \implies f'(x)=0 \implies f(x)=cte[/math]
5.4 Representación gráfica de las líneas de corriente
x=0:0.1:4;
y=0:0.1:1;
[xx,yy]=meshgrid(x,y);
potencial=(yy.^2)/4 - (yy.^3)/6
contour(xx,yy,potencial)
axis([0,4,-1,2])
view(2)
6 Estudio del campo de velocidades
6.1 Velocidad mínima
Ahora, comprobamos que la velocidad del fluido en todos los puntos (x,0) y (x,1) es nula:
Para y=0 → \[\vec{u}(x,0)=\vec{0}\] Para y=1 → \[\vec{u}(x,1)=\vec{0}\]
6.2 Velocidad máxima
Sabiendo que nuestro campo de velocidades es [math] \vec u[/math] y que su módulo es [math]| \vec u |[/math] ; procedemos a calcular su valor máximo por derivación, que sería: Vmáx=2
[math]
\vec u (x,y) = \frac{y(1-y)}{(2)}\vec i
[/math]:
[math] | \vec u (x,y) | = \frac{y(1-y)}{(2)} \implies | \vec u (x,y) |’ = \frac{(1-2y)}{(2)} [/math]: [math] | \vec u (x,y) |’ = 0 \implies \frac{(1-2y)}{(2)} = 0 \implies y = \frac{1}{2} [/math]
7 Rotacional del campo de velocidades
El rotacional de un campo vectorial, como es nuestro campo de velocidades, resulta en un campo solenoidal. Este operador vectorial aparece por la acción de la viscosidad.
[math]\nabla\times\vec{u}= det\begin{pmatrix} \vec{i} & \vec{j} & \vec{k} \\ \frac{ \partial}{\partial x} & \frac{\partial }{\partial y} & \frac{\partial }{\partial z}\\ u_1 & u_2 & u_3 \end{pmatrix}=det\begin{pmatrix} \vec{i} & \vec{j} & \vec{k} \\ \frac{ \partial}{\partial x} & \frac{\partial }{\partial y} & \frac{\partial }{\partial z}\\ \frac{y(1-y)}{2}& 0 & 0 \end{pmatrix}=-\frac{\partial}{\partial y}(\frac{y(1-y)}{2})\vec{k} =\frac{ -(1-2y)}{2}\vec{k} [/math] [math] = \frac{(2y-1)}{2}\vec{k}[/math]
7.1 Módulo del rotacional
A continuación, pasamos a calcular analíticamente el módulo del rotacional del campo de velocidades \( \vec u \)
Que resulta \(|\nabla\times\vec{u}| = \frac{1-2y}{2} \)
x=0:0.1:4;
y=0:0.1:1;
[xx,yy]=meshgrid(x,y);
rotacional=((2.*yy-1)./2);
surf(xx,yy,rotacional)
axis([0,4,-1,2])
view(2)
8 Estudio del campo de temperaturas del fluido
A continuación, analizamos numérica y gráficamente el campo de temperaturas tal que : T(x,y) = e^(-(x-1)^2+y^2)
x=0:0.01:4;
y=0:0.01:1;
[xx,yy]=meshgrid(x,y);
temperatura=e.^((-(xx-1).^2)+(yy.^2));
contour(xx,yy,temperatura)
axis([0,4,-1,2])
view(2)
x=0:0.01:4;
y=0:0.01:1;
[xx,yy]=meshgrid(x,y);
temperatura=e.^((-(xx-1).^2)+(yy.^2));
surf(xx,yy,temperatura)
axis([0,4,-1,2])
view(2)
8.1 Temperatura máxima y mínima
Podemos observar gráficamente que la temperatura máxima se da en el punto (x,y)=(1,1), correspondiente a una temperatura de "e" (aproximadamente 2.72 unidades).
Ademas, es fácil comprobar que la zona de menor temperatura se produce en la zona del eje de abcisas más alejada del origen de corrodenadas, independientemente de la posición respecto del eje de ordenadas.
8.2 Gradiente del campo de temperaturas "T"
Procedemos a calcular analíticamente la expresión del gradiente del campo de temperaturas y posteriormente lo representamos con un programa informático, donde podemos comprobar, como es lógico, la ortogonalidad de éste con las líneas de nivel del campo.
\[ \nabla {T(x,y)} = \frac{\partial{T}}{\partial x}\vec{i} + \frac{\partial{T}}{\partial y}\vec{j} = -2(x-1)\cdot{e^{-(x-1)^{2}+y^{2}}}\vec{i} + 2y\cdot{e^{-(x-1)^{2}+y^{2}}}\vec{j} \]
x=0:0.1:4;
y=0:0.1:1;
[xx,yy]=meshgrid(x,y);
temperatura=exp((-(xx-1).^2)+(yy.^2));
tx=-2*(xx-1).*exp(-(xx-1).^2+yy.^2);
ty=2.*yy.*exp(-(xx-1).^2+yy.^2);
hold on
quiver(xx,yy,tx,ty)
contour(xx,yy,temperatura,30)
grid on
axis([0,4,-1,2])
axis equal
xlabel('eje x')
ylabel('eje y')
view(2)
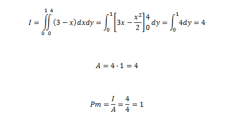
9 Estudio del campo de presiones
La presión en los puntos del fluido queda definida por el campo escalar: \[p(x,y)=p_1+(p_2-p_1)(x-1)\]
A continuación, calculamos numéricamente la presión media del fluido mediante la aproximación de una integral doble entre los intervalos [0,4] y [0,1], dividida por el área total del canal.
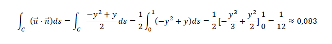
10 Caudal circulante por el canal
10.1 Previo: Flujo en un plano
Dada una curva C y un campo vectorial, en nuestro caso el campo de velocidades de las partículas; se llama flujo del campo de velocidades a través de C a la integral:
- [math] Flujo = \int_C \vec {u}\cdot \vec n \; ds [/math]
Donde [math] \vec n [/math] es el vector normal a C, en nuestro caso: [math] \vec n = \vec i [/math]










