Visualización de campos escalares y vectoriales en fluidos. Grupo 16-C
| Trabajo realizado por estudiantes | |
|---|---|
| Título | Visualización de campos escalares y vectoriales en fluidos. Grupo 16-C |
| Asignatura | Teoría de Campos |
| Curso | 2015-16 |
| Autores | Sarah Boufounas, Laura García Pedraz, Isabel Roselló Colom, Ignacio Riesco Fernández , Larisa Elena Suta, Álvaro Valbuena Pámpanas |
| Este artículo ha sido escrito por estudiantes como parte de su evaluación en la asignatura | |
El trabajo que nos ocupa es el del estudio de la visualización de campos escalares y vectoriales en fluidos. La consideración a tomar como fluido ha sido la de un fluido incompresible a traves de un canal con pareces rectas.
La variación del volumen del fluido va a ser por tanto nula.
El canal está compuesto por dos paneles rectos.
Las coordenadas en la que refiramos los apartados serán cartesianas.
Contenido
- 1 Breve introducción a la incompresibilidad de un fluido
- 2 Mallado ocupado por el fluido
- 3 Comprobación ecuación Navier-Stokes
- 4 Representacion del campo de presiones
- 5 Representacion del campo de velocidades
- 6 Lineas de corriente
- 7 Estudio de la velocidad del fluido
- 8 Estudio del rotacional de campo
- 9 Estudio de la temperatura del fluido
- 10 Estudio de la presión media de los puntos del fluido
- 11 Caudal
1 Breve introducción a la incompresibilidad de un fluido
Un fluido incompresible es cualquier fluido cuya densidad siempre permanece constante con el tiempo, y tiene la capacidad de oponerse a la compresión del mismo bajo cualquier condición. Esto quiere decir que ni la masa ni el volumen del fluido puede cambiar. El agua es un fluido casi incompresible, es decir, la cantidad de volumen y la cantidad de masa permanecerán prácticamente iguales, aún bajo presión. De hecho, todos los fluidos son compresibles, algunos más que otros. La compresión de un fluido mide el cambio en el volumen de una cierta cantidad de líquido cuando se somete a una presión exterior.
Por esta razón, para simplificar las ecuaciones de la mecánica de fluidos, se considera que los líquidos son incompresibles. En términos matemáticos, esto significa que la densidad de tal fluido se supone constante. Se debe prestar atención a todas las propiedades del fluido (aire, agua) para definir las condiciones de flujo. Esto se debe a que todas las propiedades están conectadas entre sí. Si la presión o la temperatura de un fluido cambia, su densidad generalmente también cambia (a menos que se trate de un fluido incompresible, como en el ejercicio que ahora estudiamos).
2 Mallado ocupado por el fluido
Se pide dibujar el mallado que represente los puntos interiores del fluido que circula por el canal rectangular dado. Dicho rectángulo ocupa la región [0,4]x[0,1], y se especifica que los ejes estén en el intervalo [0,4]x[-1,2], respectivamente. Para ello, se ha empleado un sencillo programa en Matlab que nos muestra la malla.
%Dibujamos el mallado de los puntos interiores del fluido en el interior
%del canal
[X,Y]=meshgrid([0:0.1:4],[0:0.1:1])
%Hemos dejado un espaciado mínimo de 0.1 en la malla.
mesh(X,Y,0*X)
%A continuación dibujamos la región pedida y visualizamos
grid on
axis([0,4,-1,2])
view(2)
El resultado obtenido de este programa es la siguiente malla:
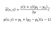
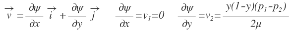
Partimos de las ecuaciones de la velocidad y la presión de las partículas del fluido, respectivamente:
Con ello se pide verificar la ecuación de Navier-Stokes:
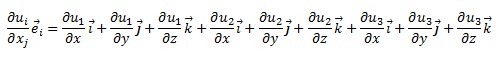
Para ello vamos a ir parte por parte. En primer lugar, tenemos:
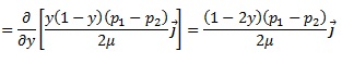
Desarrollamos este primer término:
donde todos los términos son nulos, excepto la derivada parcial de u1 con respecto a y, y esto se debe a que:-Se ha de cumplir la expresión que nos dan como resultado del primer sumando de la ecuación, lo que implica que la primera y la tercera derivada parcial del desarrollo anterior sean nulos.
-u2,u3 son 0, ya que la ecuación velocidad que se proporciona está representada en i. De esta forma nos queda:
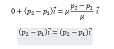
Por otro lado, vamos con otro término de la ecuación:
Desarrollando, se tiene:
Por último, vamos con el segundo sumando de la ecuación a demostrar:
Finalmente, basta con sustituir cada uno de estos términos en la ecuación de Navier-Stokes:
Por lo tanto, queda así demostrado.
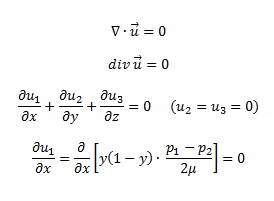
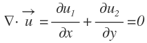
Por otro lado, vamos a comprobar la condición de incompresibilidad de un fluido, para lo cual partimos de la expresión facilitada y desarrollamos:
Para terminar, comprobamos que la velocidad del fluido en las paredes y=0, y=1 es nula, para lo cual simplemente sustituimos en la expresión de la velocidad dada:
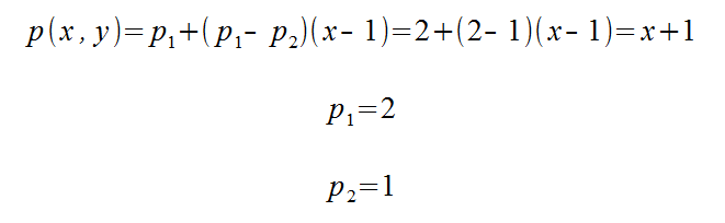
4 Representacion del campo de presiones
Para representar el campo de velocidades y presiones vamos a suponer que p1=2 y p2=1 , con mu=1. Para ello usaremos el programa de Matlab.
El codigo para el campo de presiones es el siguiente:
La representacion en 2D:
La representacion en 3D:
En el campo de presiones podemos apreciar que la presion es más alta en las zonas más cálidas (colores como rojo, naranja, amarillo y verde), y en las zonas más frías (colores como verde,celeste y azul), la presión es más baja. Esto significa que a medida que el fluido va avanzando en el canal la presión va bajando.
5 Representacion del campo de velocidades
El codigo para el campo de velocidades es el siguiente:
La representacion en 2D:
La representacion en 3D:
En el campo de velocidades podemos observar que todos los vectores apuntan hacia la misma dirección, en sentido paralelo al eje x. También que la velocidad es mayor en el centro del canal que en las paredes porque los vectores tienen mayor módulo ahí, esto ocurre porque no hay barreras en el centro que pueda provocar una disminución en la velocidad.
6 Lineas de corriente
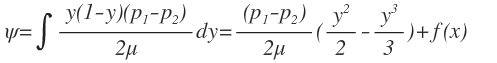
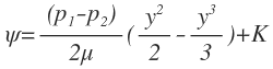
Las líneas de corriente siguen una dirección ortogonal al campo de velocidades, se resolveran del siguiente modo:
Siendo K una constante. Entonces las líneas de corriente siguen la siguiente función:
Para representarlo hemos utilizado matlab con el siguiente código:
Cuyo grafico es el siguiente:
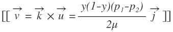
Ahora vamos a demostrar que las líneas de corriente del campo de velocidades \( \vec u \) es lo mismo que calcular la función potencial del campo
Campo irrotacional :
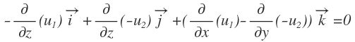
Como se demostró antes vamos a ver si esto implica que el campo sea irrotacional
Queda demostrado que el campo es irrotacional por ser su rotación igual a cero.
7 Estudio de la velocidad del fluido
7.1 Método de estudio
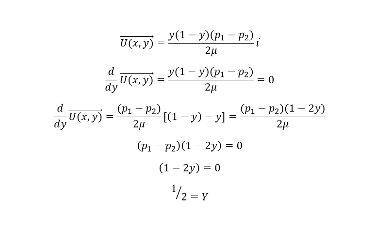
El campo de velocidades realizado en el apartado anterior ha dejado de forma gráfica patente, dónde se desarrollan las velocidades máximas de nuestro fluido; sin embargo y a nivel matemático, para desarrollarlo de forma analítica bastaría con realizar la derivada del campo de velocidades con respecto a Y llegando a la conclusión de que las mayores velocidades se dan en la céntrica línea de Y=1/2 En la siguiente imagen podemos observar las operaciones realizadas para llegar a nuestra conclusión.
7.2 ¿Esta solución tiene un sentido físico? ¿Es razonable?
Sí, en efecto podríamos hablar de un sentido físico dado que en la circulación de fluidos por conductos o tuberías la velocidad máxima siempre tiende a localizarse en el centro. Los extremos siempre conllevan perdidas de carga continuas y fuerzas de rozamiento. Es por el centro donde la circulación es más libre y por tanto la velocidad se incrementa.
8 Estudio del rotacional de campo
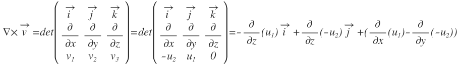
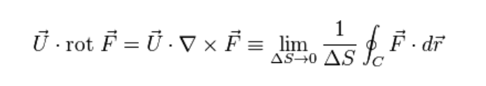
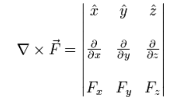
Usamos el concepto de rotacional de campo en el cálculo vectorial, el rotacional o también denominado a veces rotor es un operador vectorial para mostrar la tendencia de un campo vectorial a inducir rotación alrededor de un punto concreto. Matemáticamente, esta idea se expresa como el límite de la circulación del campo vectorial, cuando la curva sobre la que se integra se reduce a un punto, es decir:
Sin embargo se puede expresar de forma más concisa con ayuda del operador nabla como un producto vectorial, calculable mediante un determinante:
y relacionando el operador nabla con nuestro campo,
x=0:0.05:4;
y=0:0.05:1;
[X,Y]=meshgrid(x,y); % Mallado
rotabs=abs(Y-(1/2)); %Rotacional
surf(X,Y,rotabs)
axis([0,4,-1,2])El dibujo del mallado en Matlab deja patente que el rotacional crece en valor absoluto a medida que nos acercamos a las paredes de la sección. Eso quiere decir que a medida que el rotacional crece, decrecen la velocidad de las partículas. El rotacional es mayor en los puntos cercanos a las paredes porque estos son más propensos a generar rotación alrededor de puntos en concreto al tener una velocidad más pequeña y una trayectoria menos libre.
9 Estudio de la temperatura del fluido
La temperatura del fluido viene dada por la siguiente expresión:
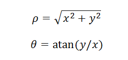
Como esta función está expresada en coordenadas cilíndricas, para el estudio de la temperatura trabajaremos en estas coordenadas. Para ello se debe establecer el dominio de ro y theta teniendo en cuenta su relación con x e y:
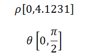
Por lo tanto el dominio con el que trabajaremos en coordenadas cilíndricas ser el siguiente:
9.1 Campo de temperaturas
El campo de temperaturas asocia una temperatura a cada punto del fluido. Para su representación gráfica se utilizará el siguiente programa de matlab:
%Mallado coordenadas cilíndricas
ro=linspace(0,4.1231,41);
theta=linspace(0,pi/2,10);
[RO,THETA]=meshgrid(ro,theta); % Mallado
T= cos(THETA).*exp(-(RO-(1/2)).^2); %Temperatura
%Superficie
figure(1)
surface(RO,THETA,T)
axis equal
hold on
x = [0,4.1231];
y = [0,0];
plot(x,y,'-k','linewidth',1.5)
hold on
x = [0,4.1231];
y = [pi/2,pi/2];
plot(x,y,'-k','linewidth',1.5)
%Curvas de nivel
figure(2)
contour(RO,THETA,T,30)
axis equal
hold on
x = [0,4.1231];
y = [0,0];
plot(x,y,'-k','linewidth',1.5)
hold on
x = [0,4.1231];
y = [pi/2,pi/2];
plot(x,y,'-k','linewidth',1.5)
%Curvas de nivel y superficie 3D
figure (3)
surf(RO,THETA,T)
hold on
contour(RO,THETA,T,30)
grid on
axis equal
xlabel('RO')
ylabel('THETA')
zlabel('Temperatura')
colorbar
9.2 Temperatura máxima
Para el cálculo de la temperatura máxima del fluido, así como la deteterminación del punto donde esta se alcanza se utilizará el sguiente programa de MATLAB:
%Temperatura máxima
Tmax=max(max(T))
%Coordenadas para Tmax
[theta,ro]=find(T==Tmax);
rom=(4.1231/41)*ro
thetam=((pi/2)/10)*theta
La temperatura máxima es T=0.9998 y se alcanza en ro=0.6034 y theta=0.1571. Al fijarse en los gráficos anteriores, que representaban el campo de temperaturas, se observa que este resultado es completamente coherente, pues ese punto claramente está en el entorno en el que se observan las temperaturas más altas.
9.3 Gradiente de temperatura
La temperatura es una magnitud intensiva que adopta un valor distinto para cada punto del espacio, por lo que puede ser descrito como un campo escalar. En cálculo vectorial, el gradiente de un campo escalar f es un campo vectorial. El vector gradiente de f evaluado en un punto genérico x del dominio de f , f(x), indica la dirección en la cual el campo f varía más rápidamente y su módulo representa el ritmo de variación de f en la dirección de dicho vector gradiente.
Si suponemos que c : R → R n es una curva parametrizada con la propiedad de que c(t) pertenece al k conjunto de nivel de f para cualquier t ∈ R. Esto significa simplemente que f ◦ c es constantemente igual a k. Por lo tanto: d(f ◦ c) dt = 0, porque es la derivada de una constante. Pero como, por otra parte, tenemos: d(f ◦ c) dt = grad f(p) · c’(t) , concluimos que el gradiente es perpendicular a las curvas de nivel.
Por tanto, el gradiente térmico o gradiente de temperatura es la variación de temperatura por unidad de distancia. Siendo esto así, para cada punto del fluido, el gradiente en ese punto nos dará la dirección en la cual la temperatura aumenta más rápido. La magnitud del gradiente nos dirá cuán rápido aumenta la temperatura en esa dirección.
Mediante Matlab obtenemos la representación gráfica de las curvas de nivel de la temperatura y el gradiente térmico, y podemos comprobar gráficamente que el gradiente es perpendicular a las curvas de nivel.
%Mallado coordenadas cilíndricas
%Mallado coordenadas cilíndricas
ro=linspace(0,4.1231,41);
theta=linspace(0,pi/2,10);
[RO,THETA]=meshgrid(ro,theta); % Mallado
T= cos(THETA).*exp(-(RO-(1/2)).^2); %Temperatura
Tro=(-2*RO+1).*cos(THETA).*exp(-(RO-(1/2)).^2); %Componente ro
Ttheta=-sin(THETA).*exp(-(RO-(1/2)).^2); %Componente theta
hold on
quiver(RO,THETA,Tro,Ttheta); %Representación del gradiente
contour(RO,THETA,T,30); %Representación de la temperatura
grid on
axis equal
xlabel('RO')
ylabel('THETA')
hold on
x = [0,4.1231];
y = [0,0];
plot(x,y,'-k','linewidth',1.5)
hold on
x = [0,4.1231];
y = [pi/2,pi/2];
plot(x,y,'-k','linewidth',1.5)
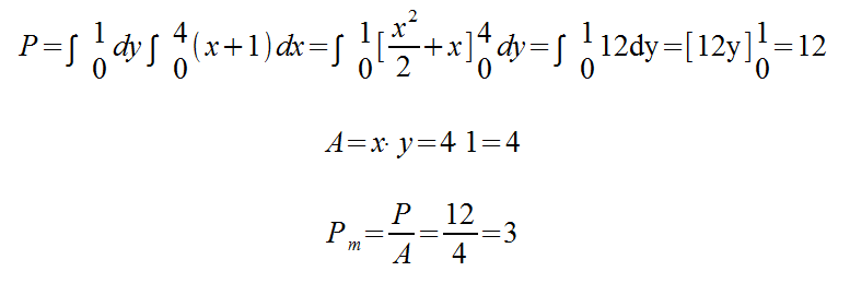
10 Estudio de la presión media de los puntos del fluido
La presión de los puntos del fluido viene dada por el campo escalar. Particularizando en los valores que nos dan para p1 y p2:
Una vez tenemos la expresión del campo escalar de las presiones calculamos la integral definida en los limites x[0,4] e y[0,1] y el área de nuestro canal. La presión media de los puntos del fluido será la división entre la integral y el área del canal.
11 Caudal
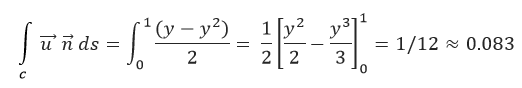
El caudal es la cantidad flujo volumétrico o volumen que pasa por un área dada en la unidad de tiempo. Para calcular el caudal, lo hacemos mediante una integral de línea:
donde p1=2, p2=1 y μ=1. Por tanto
El ancho del canal es 1 y por tanto los límites de nuestra integral serán 0 y 1.
El caudal que lleva el canal es de 0.083 m3/s
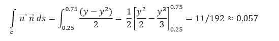
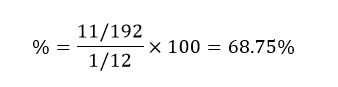
11.1 Porcentaje del caudal que pasa por la mitad central del canal
Para calcular el caudal que pasa por la mitad central del canal lo hacemos con la misma integral empleada para el caudal total, pero en el intervalo 0.25 y 0.75, teniendo el valor medio de y, en el centro de dicho intervalo.
Y el porcentaje del caudal que pasa por la mitad central del canal es:


















































