Visualización de campos escalares y vectoriales en elasticidad (Grupo A-4)
| Trabajo realizado por estudiantes | |
|---|---|
| Título | Visualización de campos escalares y vectoriales en elasticidad (Grupo A-4) |
| Asignatura | Teoría de Campos |
| Curso | 2016-17 |
| Autores | María Guadalupe Aranda Sánchez, Ignacio Blázquez González, Javier Alejandro Chirivella Colosso, María Lucía Cueva Duarte, Javier Palomares Alonso |
| Este artículo ha sido escrito por estudiantes como parte de su evaluación en la asignatura | |
Contenido
- 1 Enunciado
- 2 Creación del mallado
- 3 Representación de la temperatura
- 4 Cálculo del gradiente de temperaturas
- 5 Cálculo del campo de desplazamientos
- 6 Campo de vectores de los puntos del mallado
- 7 Sólido antes y después del desplazamiento
- 8 Representación la Divergencia de ū
- 9 Cálculo del módulo del rotacional de ū en los puntos del sólido
- 10 Representación las tensiones normales en la dirección del eje X, del eje Y y del eje Z
- 11 Cálculo de tensiones tangenciales
- 12 Representación de la tensión de Von Mises
- 13 Dibujar el Campo de Fuerzas F
- 14 Cálculo de la masa total de la placa
1 Enunciado
En este trabajo vamos a representar y analizar campos escalares y vectoriales en el espacio en relación a su elasticidad.
Para ello consideramos una placa plana rectangular en dos dimensiones. La placa está acotada por x=-2 y x=2, y por y=0 e y=4.
Para representar la placa utilizaremos coordenadas cartesianas. Para ello hemos pasado los datos del enunciado que nos venían en coordenadas polares a cartesianas.
Tenemos
y
Entonces:
Por otro lado, consideramos el campo de desplazamiento ū, sabiendo:
-ū=x·f(y)j
-
-Los puntos del eje y=0 no se desplazan en el sentido de j
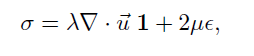
Por otro lado nos dan la fórmula para hallar la tensión a partir del desplazamiento:
donde ε(ū)=(grad ū+grad ūt)/2, y tomamos λ=μ=1 (coeficientes de Lamé)
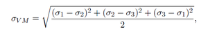
También la tensión de Von Mises:
donde σ1, σ2 y σ3 son los autovalores de σ.
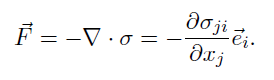
y el campo de fuerzas F:
Finalmente,
sabemos que la densidad de la placa es d(x,y)= 1 + e-|x|/(y+1)2.
2 Creación del mallado
En primer lugar dibujaremos un mallado que contenga todos los puntos del interior del sólido. Tomamos los ejes en el rectángulo definido por [math] -3≤x≤3;0≤y≤5 [/math], y utilizamos como paso de muestreo [math] h=1/10 [/math] para las variables x e y. Para ello utilizamos el siguiente código:
%1.Crear un mallado que represente los puntos del sólido
%Paso
h=0.1;
%Definimos los vectores posicion de la placa
u=[-2:h:2];
v=[0:h:4];
[Mu,Mv]=meshgrid(u,v);
Mz=0.*Mu;
%Creamos la placa
axis([-3,3,0,5])
figure(1)
surf(Mu,Mv,Mz)
view(2)
Obtenemos un mallado, que será la base sobre la que trabajaremos:
3 Representación de la temperatura
Seguidamente representamos, dentro de ese mallado, la función temperatura, que depende de las variables x e y. Como ya hemos dicho, la función temperatura es:
Para representarla, dibujamos las curvas de nivel de la función dentro del sólido. En nuestro caso, hemos decidido representar 100 curvas de nivel.
%Curvas de nivel Temperatura
%Paso
h=0.1;
%Definimos los vectores posicion de la placa
u=[-2:h:2];
v=[0:h:4];
[Mu,Mv]=meshgrid(u,v);
Mw=Mv.*(sqrt(Mu.^2+Mv.^2));
%Creamos la placa
axis([-3,3,0,5])
figure(1)
surf(Mu,Mv,Mw)
contour3(Mu,Mv,Mw,100)
view(2)
Para deducir dónde es máxima la temperatura, acudimos a la siguiente imagen en 3 dimensiones, generada por Matlab:
Como podemos ver en la imagen, las temperaturas máximas se dan en los puntos (-2,4) y (2,4).
4 Cálculo del gradiente de temperaturas
A continuación, calculamos el gradiente de temperaturas y lo representamos como un campo vectorial.
%Paso
h=0.1;
%Definimos los vectores posicion de la placa
u=[-2:h:2];
v=[0:h:4];
[Mu,Mv]=meshgrid(u,v);
V2=((Mu.^2).*(Mv.^2).*Mv)./sqrt((Mu.^2)+(Mv.^2));
V1=Mu.*Mv./sqrt((Mu.^2)+(Mv.^2));
quiver(Mu,Mv,V1,V2)
view(2)
Obtenemos el campo vectorial del gradiente:
Podemos comprobar como el gradiente es ortogonal a las curvas de nivel superponiendo las dos representaciones:
5 Cálculo del campo de desplazamientos
Esta vez se nos pide obtener el campo de desplazamientos ū, con las condiciones citadas en el enunciado:
-ū=x·f(y)j
-
-Los puntos del eje y=0 no se desplazan en el sentido de j
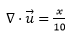
Con estas condiciones podemos calcular el campo ū analíticamente:
ū=x·y/10
6 Campo de vectores de los puntos del mallado
Ahora lo que haremos es representar el campo de vectores de los puntos del mallado calculado anteriormente. Para ello elaboramos el siguiente código:
%Paso
h=0.1;
u=[-2:h:2];
v=[0:h:4];
[Mu,Mv]=meshgrid(u,v);
%Definimos e campo de vetores u.
V1=0*Mu;
V2=Mu.*Mv./10;
quiver(Mu,Mv,V1,V2)
view(2)
Y el resultado que sale por pantalla es el siguiente:
7 Sólido antes y después del desplazamiento
Seguidamente tenemos el sólido antes de la aplicación del desplazamiento, así como el resultado de aplicarlo después. Aplicamos el comando subplot, como se nos indica, para que las dos representaciones queden sobre la misma gráfica. El código es:
h=0.1;
u=[-2:h:2];
v=[0:h:4];
[Mu,Mv]=meshgrid(u,v);
%Definimos el campo de vectores u.
V1=0*Mu;
V2=Mv;
fx=0;
fy=(Mu.*Mv)./10;
Mz=0.*Mu;
hold on
axis([-3,3,0,5])
subplot(2,1,1);
surf(Mu,Mv,0*Mu)
view(2)
subplot(2,1,2);
surf(Mu+fx,Mv+fy,0.*Mu)
view(2)
hold off
Y obtenemos el gráfico:
8 Representación la Divergencia de ū
La divergencia nos sirve para analizar cambios locales de volumen producidos por el desplazamiento.
Para calcularlo utilizamos el siguiente código:
h=0.1;
u=[-2:h:2];
v=[0:h:4];
[Mu,Mv]=meshgrid(u,v);
Div=Mu/10;
surf(Mu,Mv,Div)
La imagen que obtenemos es:
Podemos observar como la divergencia tiene relación con la dirección del campo de desplazamiento de cada uno de los puntos, de forma que es negativa hasta x=0,donde el volumen se reduce, y positiva a partir de x=0, ya que el volumen aumenta. En x=0, la divergencia también es 0 pues no hay desplazamiento.
9 Cálculo del módulo del rotacional de ū en los puntos del sólido
Calculamos el módulo del rotacional de ū utilizando el siguiente código:
%Paso
h=0.1;
u=[-2:h:2];
v=[0:h:4];
w=u.*0;
[Mu,Mv,Mw]=meshgrid(u,v,w);
%Definimos el campo de vectores u.
V1=0.*Mu;
V2=0.*Mu;
V3=Mv./10;
quiver3(Mu,Mv,Mw,V1,V2,V3)
Y obtenemos el siguiente gráfico:
Podemos observar que los valores máximos del rotacional se alcanzan cuando y=-4.
10 Representación las tensiones normales en la dirección del eje X, del eje Y y del eje Z
Se nos da la fórmula para hallar la tensión a partir del desplazamiento:
donde ε(ū)=(grad ū+grad ūt)/2, y tomamos λ=μ=1 (coeficientes de Lamé).
Primero escribimos el código para calcular la tensión en el eje X:
h=0.1;
u=-2:h:2;
v=0:h:4;
[Mu,Mv]=meshgrid(u,v);
%TENSIONES NORMALES DEL EJE X
ty=Mv*0;
tx=Mu/10;
% dibujamos %
quiver(Mu,Mv,tx,ty)
ylabel('tensiones normales eje x')
Y para el eje Y:
h=0.1;
u=-2:h:2;
v=0:h:4;
[Mu,Mv]=meshgrid(u,v);
%TENSIONES NORMALES DEL EJE Y
ty=3*Mu/10;
tx=0*Mv;
% dibujamos %
quiver(Mu,Mv,tx,ty)
ylabel('tensiones normales eje y')
Para el eje Z no hay tensión, así que no lo consideramos.
Las representaciones resultantes son:
Si combinamos las dos representaciones en un solo gráfico obtenemos:
11 Cálculo de tensiones tangenciales
Calculamos las tensiones tangenciales respecto al plano ortogonal a i, es decir |σ·ī-(ī·σ·ī)ī|.
El código es:
h=0.1;
u=-2:h:2;
v=0:h:4;
[Mu,Mv]=meshgrid(u,v);
%TENSIONES TANGENCIALES DEL EJE X
ty=Mu*0;
tx=Mv/10;
% dibujamos %
quiver(Mu,Mv,tx,ty)
ylabel('tensiones tangenciales eje x')
Y obtenemos:
12 Representación de la tensión de Von Mises
Utilizamos la fórmula:
donde σ1, σ2 y σ3 son los autovalores de σ.
El código es el siguiente:
h=.1;
u=[-2:h:2];
v=[0:h:4];
[Mu,Mv]=meshgrid(u,v);
A=[];
for i=1:length(u)
for j=1:length(v)
A=[Mu(i,j)./10 Mv(i,j)./10 0;Mv(i,j)./10 (3.*Mu(i,j))./10 0;0 0 Mu(i,j)./10];
L=eig(A);
ecuacion= sqrt(((L(1)-L(2))^2+(L(2)-L(3))^2+(L(3)-L(1))^2)/2);
Mw(i,j)=ecuacion;
end
end
surf(Mu,Mv,Mw)
Obtenemos la representación:
13 Dibujar el Campo de Fuerzas F
Se nos da la fórmula:
Se trata de una aproximación del campo de fuerzas que actúan sobre la placa, y que son las causantes del desplazamiento, mediante la ecuación de la elasticidad.
Utilizamos el código:
%F=[-1/5 0 0]
%Paso
h=0.1;
u=[-2:h:2];
v=[0:h:4];
w=u*0;
[Mu,Mv,Mw]=meshgrid(u,v,w);
%Definimos e campo de vetores u.
V1=-Mu/10-Mv/10;
V2=Mu*0;
V3=Mw*0;
quiver3(Mu,Mv,Mw,V1,V2,V3)
Y nos devuelve el siguiente gráfico:
14 Cálculo de la masa total de la placa
Para finalizar, calculamos la masa de la placa, sabiendo que la densidad de la placa es d(x,y)= 1 + e-|x|/(y+1)2.
El código es el siguiente:
h=0.1;
u=-2:h:2;
v=0:h:4;
[Mu,Mv]=meshgrid(u,v);
Ds=(Mu.*Mv).*(1./(2+(Mu.^2)+(Mv.^2)));
ms=abs(Ds.*h^2);
Masa=sum(sum(ms))
Obtenemos















