Visualización de campos escalares y vectoriales en elasticidad (B-G.23-T.11)
| Trabajo realizado por estudiantes | |
|---|---|
| Título | Visualización de campos escalares y vectoriales en elasticidad |
| Asignatura | Teoría de Campos |
| Curso | 2014-15 |
| Autores |
Javier Marrero Patrón Sergio López Fernández Rubén Peláez Moreno Eduardo Ubeda Cuadrado Suleiman Mesto Riera Jaume Martorell Cerdá |
| Este artículo ha sido escrito por estudiantes como parte de su evaluación en la asignatura | |
Contenido
- 1 Introducción
- 1.1 Representación del mallado
- 1.2 Representación de las líneas coordenadas y vectores de la base natural
- 1.3 Curvas de nivel de la temperatura
- 1.4 Representación del gradiente de la temperatura
- 1.5 Campo de desplazamientos
- 1.6 Divergencia del campo de desplazamientos
- 1.7 Rotacional del campo de desplazamientos
- 1.8 Repetición del análisis
- 1.9 Masa y centro de masas
1 Introducción
En el presente trabajo se propone la visualización de campos escalares y vectoriales en elasticidad. El objetivo general es estudiar el comportamiento de cantidades físicas observando la distribución espacial de magnitudes. Como caso de análisis se propone considerar una placa plana definida por la región comprendida entre las hipérbolas definidas por P1: xy-1/2=0 y P2: xy-3=0. Para establecer la representación se utiliza el sistema de coordenadas hiperbólico que se adapta a la geometría de la placa.
Se propone observar dos magnitudes físicas: la temperatura T(x,y), como campo escalar y los desplazamientos u(x,y) producidos por la acción de una fuerza determinada, como campo vectorial. A continuación se analizan los campos tensoriales definidos anteriormente mediante operadores diferenciales. De esta manera se puede establecer la caracterización cualitativa y cuantitativa.
1.1 Representación del mallado
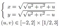
Se define una discretización a partir de las coordenadas curvilíneas (u,v) con un paso de muestreo h=1/10. Posteriormente se dibuja el mallado que establece los puntos interiores del sólido (placa plana).
u=-2:0.1:2;%Discretización de la placa en el sentido transversal
v=0.5:0.1:3;%Discretización de la placa en el sentido longitudinal
[U,V]=meshgrid(u,v);%Obtención de la retícula rectangular(rejilla)asociada a los vectores u,v a partir de la discretización considerada
X=sqrt(sqrt(U.^2+V.^2)+U);%Coordenadas Hiperbólicas
Y=sqrt(sqrt(U.^2+V.^2)-U);%Coordenadas Hiperbólicas
subplot(1,2,1)%Subventana 1
mesh(X,Y,0*X)%Representación superficial con líneas entrecruzadas
axis([0,2.5,0,2.5])%Establecimiento de valores mínimos y máximos en los ejes representados
view(2)%Definición del punto de observación(azimut=0,elevación=90)
xlabel('EJE X(TRANSVERSAL)')%Rótulo del eje x
ylabel('EJE Y(LONGITUDINAL)')%Rótulo del eje y
title('MALLADO DE LA PLACA PLANA')%Título del gráfico
subplot(1,2,2)%Subventana 2
mesh(X,Y,0*X)%Representación superficial con líneas entrecruzadas
view(2)%Definición del punto de observación(azimut=0,elevación=90)
axis image%Ejes proporcionados igualmente y ajustados al gráfico
xlabel('EJE X')%Rótulo del eje x
ylabel('EJE Y')%Rótulo del eje y
1.2 Representación de las líneas coordenadas y vectores de la base natural
El procedimiento utilizado consiste en mantener una variable constante y definir la función asociada al parámetro que varía. Para los dos casos se obtienen hipérbolas equiláteras con asíntotas en los ejes coordenados. A continuación se representan como ejemplo algunas líneas coordenadas asociadas a las coordenadas hiperbólicas para varios puntos del mallado.
u=-3:0.1:5;%Discretización de la placa en el sentido transversal
v=-3:0.1:5;%Discretización de la placa en el sentido longitudinal
for k=1:4
x=sqrt(sqrt(u.^2+(1+k).^2)+u);%Dejamos libre u y variamos v
y=sqrt(sqrt(u.^2+(1+k).^2)-u);%Dejamos libre u y variamos v
z=sqrt(sqrt((1+k).^2+v.^2)+1+k);%Dejamos libre v y variamos u
w=sqrt(sqrt((1+k).^2+v.^2)-(1+k));%Dejamos libre v y variamos u
hold on
plot(x,y,'r')
plot(z,w,'k')
plot(sqrt(sqrt((1+k).^2+(1+k).^2)+1+k),sqrt(sqrt((1+k).^2+(1+k).^2)-(1+k)),'*')
hold off
end
Para la obtención de los vectores de la base natural se ha procedido mediante el cálculo previo de las correspondientes derivadas parciales de x,y. Se decidió operar utilizando la base cartesiana porque ofrece una interpretación más intuitiva. Al realizar operaciones se determina que el sistema es ortogonal y que el módulo de ambos vectores de la base es el mismo, siendo inversamente proporcional a la distancia al origen. A modo de conclusión se establece que los vectores de la base natural son ortogonales y disminuyen su módulo a medida que los puntos del mallado se alejan del origen de coordenadas.
u=-2:0.1:2;%Discretización de la placa en el sentido transversal
v=0.5:0.1:3;%Discretización de la placa en el sentido longitudinal
[U,V]=meshgrid(u,v);%Obtención de la retícula rectangular(rejilla)asociada a los vectores u,v a partir de la discretización considerada
X=sqrt(sqrt(U.^2+V.^2)+U);%Coordenadas Hiperbólicas
Y=sqrt(sqrt(U.^2+V.^2)-U);%Coordenadas Hiperbólicas
guu=(sqrt(sqrt(U.^2+V.^2)+U))./(2*(sqrt(U.^2+V.^2)));%Obtención de
guv=-(sqrt(sqrt(U.^2+V.^2)-U))./(2*(sqrt(U.^2+V.^2)));%vectores
gvu=V./(2*(sqrt(U.^2+V.^2)).*(sqrt(sqrt(U.^2+V.^2)+U)));%tangentes
gvv=V./(2*(sqrt(U.^2+V.^2)).*(sqrt(sqrt(U.^2+V.^2)-U)));%gu y gv
subplot(1,2,1)%Subventana 1
hold on
mesh(X,Y,0*X)%Representación superficial con líneas entrecruzadas
quiver(X,Y,guu,guv);%Visualización de líneas coordenadas
quiver(X,Y,gvu,gvv);%y vectores de la base natural
axis([0,2.5,0,2.5])%Establecimiento de valores mínimos y máximos en los ejes representados
view(2)%Definición del punto de observación(azimut=0,elevación=90)
hold off
xlabel('EJE X(TRANSVERSAL)')%Rótulo del eje x
ylabel('EJE Y(LONGITUDINAL)')%Rótulo del eje y
title('VECTORES DE LA BASE NATURAL')%Título del gráfico
subplot(1,2,2)%Subventana 2
hold on
mesh(X,Y,0*X)%Representación superficial con líneas entrecruzadas
quiver(X,Y,guu,guv);%Visualización de líneas coordenadas
quiver(X,Y,gvu,gvv);%y vectores de la base natural
axis image%Ejes proporcionados igualmente y ajustados al gráfico
view(2)%Definición del punto de observación(azimut=0,elevación=90)
hold off
xlabel('EJE X')%Rótulo del eje x
ylabel('EJE Y')%Rótulo del eje y
title('VECTORES AZULES gu, VECTORES VERDES gv')%Título del gráfico
1.3 Curvas de nivel de la temperatura
Considerando la función exponencial de la temperatura para este caso, es apreciable que al crecer el término (x+y) el valor de la temperatura decrece. Con lo anteriormente mencionado se determina que el punto de temperatura máxima (foco de calor) de la placa es el más cercano al origen de coordenadas. Como consecuencia las curvas de nivel más cercanas a dicho punto son las que sufren más variación de temperatura, por lo que están más próximas entre sí. En los siguientes gráficos se muestran las ideas generales enunciadas en este apartado.
u=-2:0.1:2;%Discretización de la placa en el sentido transversal
v=0.5:0.1:3;%Discretización de la placa en el sentido longitudinal
[U,V]=meshgrid(u,v);%Obtención de la retícula rectangular(rejilla)asociada a los vectores u,v a partir de la discretización considerada
X=sqrt(sqrt(U.^2+V.^2)+U);%Coordenadas Hiperbólicas
Y=sqrt(sqrt(U.^2+V.^2)-U);%Coordenadas Hiperbólicas
T=exp(-(X+Y).^2);%Función temperatura
subplot(1,2,1)%Subventana 1
surf(X,Y,T);%Representación superficial con escala de colores
axis([0,2.5,0,2.5])%Establecimiento de valores mínimos y máximos en los ejes representados
view(2)%Definición del punto de observación(azimut=0,elevación=90)
xlabel('EJE TRANSVERSAL')%Rótulo del eje x
ylabel('EJE LONGITUDINAL')%Rótulo del eje y
title('TEMPERATURA DE LA PLACA')%Título del gráfico
subplot(1,2,2)%Subventana 2
surf(X,Y,T);%Representación superficial con escala de colores
xlabel('EJE X')%Rótulo del eje x
ylabel('EJE Y')%Rótulo del eje y
title('INTERPRETACIÓN ESPACIAL')%Título del gráfico
u=-2:0.1:2;%Discretización de la placa en el sentido transversal
v=0.5:0.1:3;%Discretización de la placa en el sentido longitudinal
[U,V]=meshgrid(u,v);%Obtención de la retícula rectangular(rejilla)asociada a los vectores u,v a partir de la discretización considerada
X=sqrt(sqrt(U.^2+V.^2)+U);%Coordenadas Hiperbólicas
Y=sqrt(sqrt(U.^2+V.^2)-U);%Coordenadas Hiperbólicas
T=exp(-(X+Y).^2);%Función temperatura
%Curvas de Nivel
contour(X,Y,T,50,'r')%Representación de las curvas de nivel
axis([0,2.5,0,2.5])%Establecimiento de valores mínimos y máximos en los ejes representados
xlabel('EJE X(TRANSVERSAL)')%Rótulo del eje x
ylabel('EJE Y(LONGITUDINAL)')%Rótulo del eje y
title('CURVAS DE NIVEL DE LA TEMPERATURA')%Título del gráfico
axis image%Ejes proporcionados igualmente y ajustados al gráfico
1.4 Representación del gradiente de la temperatura
Con la determinación del gradiente podemos definir la dirección en la cual el campo escalar definido por la temperatura varía más rápidamente y su módulo representa el ritmo de variación en la dirección de dicho vector gradiente. En este caso su módulo aumenta al aproximarnos al origen de coordendas por la existencia del foco de calor. Además se observa gráficamente que el vector gradiente es perpendicular a sus curvas de nivel.
m=inline('-2.*(x+y).*exp(-(x+y).^2)','x','y');%Función que define la variación de la temperatura de la placa en el eje transversal
n=inline('-2.*(x+y).*exp(-(x+y).^2)','x','y');%Función que define la variación de la temperatura de la placa en el eje longitudinal
u=-2:0.1:2;%Discretización de la placa en el sentido transversal
v=0.5:0.1:3;%Discretización de la placa en el sentido longitudinal
[U,V]=meshgrid(u,v);%Obtención de la retícula rectangular(rejilla) asociada a los vectores u y v a partir de la discretización considerada
X=sqrt(sqrt(U.^2+V.^2)+U);%Coordenadas Hiperbólicas
Y=sqrt(sqrt(U.^2+V.^2)-U);%Coordenadas Hiperbólicas
M=m(X,Y);%Componente transversal del grad(T)
N=n(X,Y);%Componente longitudinal del grad(T)
quiver(X,Y,M,N)%Visualización del campo vectorial grad(T)
axis([0,2.5,0,2.5])%Establecimiento de valores mínimos y máximos en los ejes representados
xlabel('EJE X(TRANSVERSAL)')%Rótulo del eje x
ylabel('EJE Y(LONGITUDINAL)')%Rótulo del eje y
title('GRADIENTE DE LA TEMPERATURA')%Título del gráfico
m=inline('-2.*(x+y).*exp(-(x+y).^2)','x','y');%Función que define la variación de la temperatura de la placa en el eje transversal
n=inline('-2.*(x+y).*exp(-(x+y).^2)','x','y');%Función que define la variación de la temperatura de la placa en el eje longitudinal
u=-2:0.1:2;%Discretización de la placa en el sentido transversal
v=0.5:0.1:3;%Discretización de la placa en el sentido longitudinal
[U,V]=meshgrid(u,v);%Obtención de la retícula rectangular(rejilla) asociada a los vectores u y v a partir de la discretización considerada
X=sqrt(sqrt(U.^2+V.^2)+U);%Coordenadas Hiperbólicas
Y=sqrt(sqrt(U.^2+V.^2)-U);%Coordenadas Hiperbólicas
M=m(X,Y);%Componente transversal del grad(T)
N=n(X,Y);%Componente longitudinal del grad(T)
hold on
quiver(X,Y,M,N)%Visualización del campo vectorial grad(T)
T=exp(-(X+Y).^2);%Función temperatura
%Curvas de Nivel
contour(X,Y,T,15,'r')%Representación de las curvas de nivel
axis([0,2.5,0,2.5])%Establecimiento de valores mínimos y máximos en los ejes representados
xlabel('EJE X(TRANSVERSAL)')%Rótulo del eje x
ylabel('EJE Y(LONGITUDINAL)')%Rótulo del eje y
title('GRADIENTE Y CURVAS DE NIVEL DE LA TEMPERATURA')%Título del gráfico
hold off
1.5 Campo de desplazamientos
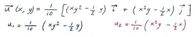
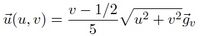
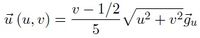
El campo vectorial u de desplazamientos posee la dirección del vector de la base natural gv. Se decidió operar en la base cartesiana porque ofrece una interpretación más intuitiva. En la placa se observa la deformación generada por los desplazamientos producidos en todos los puntos de la misma. Los mayores valores de los alargamientos se obtienen en los extremos más alejados del origen de coordenadas. En términos estructurales, se podría interpretar como una losa en voladizo sometida a tracción.
m=inline('0.1.*(x.*y.^2-0.5.*y)','x','y');%Función que define el desplazamiento de la placa en el eje transversal
n=inline('0.1.*(y.*x.^2-0.5.*x)','x','y');%Función que define el desplazamiento de la placa en el eje longitudinal
u=-2:0.1:2;%Discretización de la placa en el sentido transversal
v=0.5:0.1:3;%Discretización de la placa en el sentido longitudinal
[U,V]=meshgrid(u,v);%Obtención de la retícula rectangular(rejilla) asociada a los vectores u y v a partir de la discretización considerada
X=sqrt(sqrt(U.^2+V.^2)+U);%Coordenadas Hiperbólicas
Y=sqrt(sqrt(U.^2+V.^2)-U);%Coordenadas Hiperbólicas
M=m(X,Y);%Componente transversal del desplazamiento
N=n(X,Y);%Componente longitudinal del desplazamiento
quiver(X,Y,M,N)%Visualización del campo vectorial desplazamiento(u)
axis([0,2.5,0,2.5])%Establecimiento de valores mínimos y máximos en los ejes representados
xlabel('EJE X(TRANSVERSAL)')%Rótulo del eje x
ylabel('EJE Y(LONGITUDINAL)')%Rótulo del eje y
title('CAMPO VECTORIAL u (DESPLAZAMIENTOS)')%Título del gráfico
A continuación se muestra una comparativa del sólido antes y después de la acción de la fuerza que genera el campo de desplazamientos. El estado inicial corresponde a la placa en la fase de ejecución sin entrar en carga. El estado final muestra la placa deformada por tracción, reflejándose en el mallado detalladamente la magnitud de las deformaciones en las diferentes zonas de la estructura.
u=-2:0.1:2;%Discretización de la placa en el sentido transversal
v=0.5:0.1:3;%Discretización de la placa en el sentido longitudinal
[U,V]=meshgrid(u,v);%Obtención de la retícula rectangular(rejilla) asociada a los vectores u y v a partir de la discretización considerada
X=sqrt(sqrt(U.^2+V.^2)+U);%Coordenadas Hiperbólicas
Y=sqrt(sqrt(U.^2+V.^2)-U);%Coordenadas Hiperbólicas
%Sin desplazamiento
subplot(1,2,1)%Subventana 1
mesh(X,Y,0*X)%Representación superficial con líneas entrecruzadas
view(2)%Definición del punto de observación(azimut=0,elevación=90)
xlabel('EJE X(TRANSVERSAL)')%Rótulo del eje x
ylabel('EJE Y(LONGITUDINAL)')%Rótulo del eje y
title('SIN DESPLAZAMIENTO')%Título del gráfico
axis image%Ejes proporcionados igualmente y ajustados al gráfico
%Con desplazamiento
UX=0.1.*(X.*Y.^2-0.5.*Y);%Desplazamiento de la placa en sentido transversal
UY=0.1.*(Y.*X.^2-0.5.*X);%Desplazamiento de la placa en sentido longitudinal
subplot(1,2,2)%Subventana 2
mesh(X+UX,Y+UY,0*X);%Representación superficial con líneas entrecruzadas de los desplazamientos producidos en la placa
view(2)%Definición del punto de observación(azimut=0,elevación=90)
xlabel('EJE X(TRANSVERSAL)')%Rótulo del eje x
ylabel('EJE Y(LONGITUDINAL)')%Rótulo del eje y
title('CON DESPLAZAMIENTO')%Título del gráfico
axis image%Ejes proporcionados igualmente y ajustados al gráfico
1.6 Divergencia del campo de desplazamientos
En el caso de estudio la divergencia del campo de desplazamientos indica el nivel de compresión o expansión que experimentan los puntos de la placa. El cambio de volumen es expansivo y la divergencia será máxima en las zonas más alejadas del origen de coordenadas, donde los desplazamientos son los mayores.
u=-2:0.1:2;%Discretización de la placa en el sentido transversal
v=0.5:0.1:3;%Discretización de la placa en el sentido longitudinal
[U,V]=meshgrid(u,v);%Obtención de la retícula rectangular(rejilla) asociada a los vectores u y v a partir de la discretización considerada
X=sqrt(sqrt(U.^2+V.^2)+U);%Coordenadas Hiperbólicas
Y=sqrt(sqrt(U.^2+V.^2)-U);%Coordenadas Hiperbólicas
subplot(1,2,1)%Subventana 1
fy=0.1.*(Y.^2+X.^2);%Divergencia del campo vectorial u de desplazamientos
surf(X,Y,fy)%Representación superficial con escala de colores
axis([0,2.5,0,2.5])%Establecimiento de valores mínimos y máximos en los ejes representados
view(2)%Definición del punto de observación(azimut=0,elevación=90)
xlabel('EJE TRANSVERSAL')%Rótulo del eje x
ylabel('EJE LONGITUDINAL')%Rótulo del eje y
title('DIVERGENCIA DESPLAZAMIENTOS')%Título del gráfico
subplot(1,2,2)%Subventana 2
surf(X,Y,fy);%Representación superficial con escala de colores
xlabel('EJE X')%Rótulo del eje x
ylabel('EJE Y')%Rótulo del eje y
title('INTERPRETACIÓN ESPACIAL')%Título del gráfico
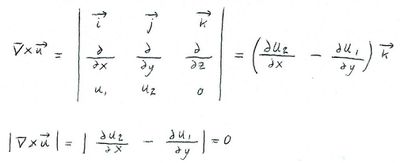
1.7 Rotacional del campo de desplazamientos
El módulo del rotacional es nulo debido a que los desplazamientos que se producen en la placa no implican torsiones, rotaciones o tensiones tangenciales, sino que se trata de deformaciones en el sentido del vector de la base natural gv. En términos estructurales la placa está trabajando a tracción y se generan tensiones normales.
1.8 Repetición del análisis
Considerando otro campo vectorial de desplazamientos que posee la dirección del vector de la base natural gu, se realiza el mismo análisis y se obtienen resultados diferentes.
1.8.1 Campo de desplazamientos
m=inline('0.1.*(x.^2.*y.^2-0.5.*x)','x','y');%Función que define el desplazamiento de la placa en el eje transversal
n=inline('0.1.*(-x.*y.^2+0.5.*y)','x','y');%Función que define el desplazamiento de la placa en el eje longitudinal
u=-2:0.1:2;%Discretización de la placa en el sentido transversal
v=0.5:0.1:3;%Discretización de la placa en el sentido longitudinal
[U,V]=meshgrid(u,v);%Obtención de la retícula rectangular(rejilla) asociada a los vectores u y v a partir de la discretización considerada
X=sqrt(sqrt(U.^2+V.^2)+U);%Coordenadas Hiperbólicas
Y=sqrt(sqrt(U.^2+V.^2)-U);%Coordenadas Hiperbólicas
M=m(X,Y);%Componente transversal del desplazamiento
N=n(X,Y);%Componente longitudinal del desplazamiento
quiver(X,Y,M,N)%Visualización del campo vectorial desplazamiento(u)
axis([0,2.5,0,2.5])%Establecimiento de valores mínimos y máximosen los ejes representados
xlabel('EJE X(TRANSVERSAL)')%Rótulo del eje x
ylabel('EJE Y(LONGITUDINAL)')%Rótulo del eje y
title('CAMPO VECTORIAL u (DESPLAZAMIENTOS)')%Título del gráfico
u=-2:0.1:2;%Discretización de la placa en el sentido transversal
v=0.5:0.1:3;%Discretización de la placa en el sentido longitudinal
[U,V]=meshgrid(u,v);%Obtención de la retícula rectangular(rejilla) asociada a los vectores u y v a partir de la discretización considerada
X=sqrt(sqrt(U.^2+V.^2)+U);%Coordenadas Hiperbólicas
Y=sqrt(sqrt(U.^2+V.^2)-U);%Coordenadas Hiperbólicas
%Sin desplazamiento
subplot(1,2,1)%Subventana 1
mesh(X,Y,0*X)%Representación superficial con líneas entrecruzadas
view(2)%Definición del punto de observación(azimut=0,elevación=90)
xlabel('EJE X(TRANSVERSAL)')%Rótulo del eje x
ylabel('EJE Y(LONGITUDINAL)')%Rótulo del eje y
title('SIN DESPLAZAMIENTO')%Título del gráfico
axis image%Ejes proporcionados igualmente y ajustados al gráfico
%Con desplazamiento
UX=0.1.*(X.^2.*Y-0.5.*X);%Desplazamiento de la placa en sentido transversal
UY=0.1.*(-X.*Y.^2+0.5.*Y);%Desplazamiento de la placa en sentido longitudinal
subplot(1,2,2)%Subventana 2
mesh(X+UX,Y+UY,0*X);%Representación superficial con líneas entrecruzadasde los desplazamientos producidos en la placa
view(2)%Definición del punto de observación(azimut=0,elevación=90)
xlabel('EJE X(TRANSVERSAL)')%Rótulo del eje x
ylabel('EJE Y(LONGITUDINAL)')%Rótulo del eje y
title('CON DESPLAZAMIENTO')%Título del gráfico
axis image%Ejes proporcionados igualmente y ajustados al gráfico
1.8.2 Divergencia del campo
La divergencia es nula, lo que implica que no hay cambio de volumen debido a los desplazamientos de los puntos de la placa. La deformación que se origina se produce cuando las tracciones se igualan a las compresiones. En el instante que se alcanza el equilibrio tensional el volumen deformado coincide con el inicial, antes de que actúe la fuerza que genera el campo de desplazamientos.
1.8.3 Rotacional del campo
En este caso el rotacional no es nulo debido a que los desplazamientos que se producen generan tensiones normales y tangenciales, debido a que se trata de deformaciones en el sentido del vector de la base natural gu. En términos estructurales, se podría interpretar como una losa en voladizo sometida a flexión. Los mayores valores de los giros se obtienen en los extremos más alejados del origen de coordenadas donde el rotacional es máximo.
u=-2:0.1:2;%Discretización de la placa en el sentido transversal
v=0.5:0.1:3;%Discretización de la placa en el sentido longitudinal
[U,V]=meshgrid(u,v);%Obtención de la retícula rectangular(rejilla) asociada a los vectores u y v a partir de la discretización considerada
X=sqrt(sqrt(U.^2+V.^2)+U);%Coordenadas Hiperbólicas
Y=sqrt(sqrt(U.^2+V.^2)-U);%Coordenadas Hiperbólicas
subplot(1,2,1)%Subventana 1
fy=0.1.*(Y.^2+X.^2);%ROTACIONAL del campo vectorial u de desplazamientos
surf(X,Y,fy)%Representación superficial con escala de colores
axis([0,2.5,0,2.5])%Establecimiento de valores mínimos y máximos en los ejes representados
view(2)%Definición del punto de observación(azimut=0,elevación=90)
xlabel('EJE TRANSVERSAL')%Rótulo del eje x
ylabel('EJE LONGITUDINAL')%Rótulo del eje y
title('ROTACIONAL DESPLAZAMIENTOS')%Título del gráfico
subplot(1,2,2)%Subventana 2
surf(X,Y,fy);%Representación superficial con escala de colores
xlabel('EJE X')%Rótulo del eje x
ylabel('EJE Y')%Rótulo del eje y
title('INTERPRETACIÓN ESPACIAL')%Título del gráfico
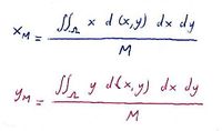
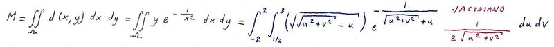
1.9 Masa y centro de masas
Analíticamente no se pueden resolver las integrales planteadas anteriormente y es necesario aplicar la integración numérica. Se ha utilizado el método de la cuadratura de Gauss que selecciona los puntos de evaluación de manera óptima y no en una forma igualmente espaciada.
u=-2:0.1:2;%Discretización de la placa en el sentido transversal
v=0.5:0.1:3;%Discretización de la placa en el sentido longitudinal
[U,V]=meshgrid(u,v);%Obtención de la retícula rectangular(rejilla) asociada a los vectores u y v a partir de la discretización considerada
X=sqrt(sqrt(U.^2+V.^2)+U);%Coordenadas Hiperbólicas
Y=sqrt(sqrt(U.^2+V.^2)-U);%Coordenadas Hiperbólicas
%Función densidad de la placa en términos de x e y
f=inline('y.*exp(-1./x.^2)','x','y');
Z=f(X,Y);
hold on
h=pcolor(X,Y,Z);
set(h,'edgecolor','none')%Representación de la distribución de la
contour(X,Y,Z,1000,'p') %densidad en la placa plana
hold off
%Cálculo de la masa
m = quad2d(@(u,v) sqrt(sqrt(u.^2+v.^2)-u).*exp(-1./(sqrt(u.^2+v.^2)+u)).*1./(2.*(sqrt(u.^2+v.^2))),-2,2,0.5,3);
title(sprintf('LA MASA TOTAL DE LA PLACA ES %8.4f',m))
u=-2:0.1:2;%Discretización de la placa en el sentido transversal
v=0.5:0.1:3;%Discretización de la placa en el sentido longitudinal
[U,V]=meshgrid(u,v);%Obtención de la retícula rectangular(rejilla) asociada a los vectores u y v a partir de la discretización considerada
X=sqrt(sqrt(U.^2+V.^2)+U);%Coordenadas Hiperbólicas
Y=sqrt(sqrt(U.^2+V.^2)-U);%Coordenadas Hiperbólicas
%Función densidad de la placa en términos de x e y
f=inline('y.*exp(-1./x.^2)','x','y');
Z=f(X,Y);
m = quad2d(@(u,v) sqrt(sqrt(u.^2+v.^2)-u).*exp(-1./(sqrt(u.^2+v.^2)+u)).*1./(2.*(sqrt(u.^2+v.^2))),-2,2,0.5,3);
%Solución de la integral numerador de x Centro de Masas
a=quad2d(@(u,v) sqrt(sqrt(u.^2+v.^2)+u).*sqrt(sqrt(u.^2+v.^2)-u).*exp(-1./(sqrt(u.^2+v.^2)+u)).*1./(2.*(sqrt(u.^2+v.^2))),-2,2,0.5,3);
%Solución de la integral numerador de y Centro de Masas
b=quad2d(@(u,v) sqrt(sqrt(u.^2+v.^2)-u).*sqrt(sqrt(u.^2+v.^2)-u).*exp(-1./(sqrt(u.^2+v.^2)+u)).*1./(2.*(sqrt(u.^2+v.^2))),-2,2,0.5,3);
%Determinación del Centro de Masas
xm=a/m; ym=b/m;
subplot(1,2,1)
hold on
mesh(X,Y,0*X)%Representación superficial con líneas entrecruzadas
plot(xm,ym,'*k')%Representación del centro de masas
hold off
axis([0,2.5,0,2.5])%Establecimiento de valores mínimos y máximo en los ejes representados
view(2)%Definición del punto de observación(azimut=0,elevación=90)
title(sprintf('CENTRO DE MASAS (Xm=%6.4f,Ym=%6.4f)',xm,ym))
subplot(1,2,2)
mesh(X,Y,Z)%Representación superficial con líneas entrecruzadas
axis([0,2.5,0,2.5])%Establecimiento de valores mínimos y máximosen los ejes representados
view(2)%Definición del punto de observación(azimut=0,elevación=90)
title('DENSIDAD')%Título del gráfico







