Trabajo T.campos-Grupo 9C
| Trabajo realizado por estudiantes | |
|---|---|
| Título | Corona circular. Grupo 9-C |
| Asignatura | Teoría de Campos |
| Curso | 2019-20 |
| Autores | Victor Toribio Tejada, Juan Rodriguez Barrero,
Angel Jose Ruedas Ruiz, Roberto Muñoz Perez |
| Este artículo ha sido escrito por estudiantes como parte de su evaluación en la asignatura | |
Visualización de campos escalares y vectoriales en elasticidad. Consideramos una placa plana que ocupa el cuarto anillo circular centrado en el origen y comprendido entre los radios 1 y 3, en el primer cuadrante x, y ≥ 0. Dibujar con los ejes en el cuadrado [−1,4] × [−1,4]. Trabajaremos en coordenadas cilíndricas. Tomaremos el siguiente campo: u
Se pide:
1.Dibujar un mallado que represente los puntos interiores del sólido. Tomar los ejes en el rectángulo (x, y) ∈ [−3, 3] × [0, 5] y como paso de muestreo h = 1/10 para las variables x e y.
2.La función: T(x,y)=(x+2)^2+(y+2)^2 define la temperatura del sólido. Dibujar las curvas de nivel y decidir en qué punto la temperatura es máxima.
3.Calcular ∇T y dibujarlo como campo vectorial. Observar gráficamente que ∇T es ortogonal a dichas curvas.
Partimos de la ecuación de la temperatura : T(x,y)=(x+2)^2+(y+2)^2 y la cambiamos a coordenadas cilíndricas dando como resultado: ρ^2 +4·ρ cos(θ)+4ρ·sen(θ)+8. A continuación calculamos el gradiente con la fórmula: ∇T=(1)/(|gρ|)^2ˑ( ∂T/∂ρ(gρ)) +1/(|gθ|)^2ˑ(∂T/∂θ(gθ))+1/(|gz|)^2ˑ(∂T/∂z(gz)), y obtenemos (2ρ+4cos(θ)+4sen(θ))gρ+((4cos(θ)-4sen(θ)))/ρ)gθ, y al sustituirlo en el punto de máxima temperatura, (3,π/4), nos da como resultado (3+2√2)gρ.
4.Consideramos ahora el campo de desplazamientos u=f(ρ)∙gρ. Calcularlo sabiendo: -Los puntos situados en ρ = 1 no sufren desplazamiento
-∇∙u=(ρ−1)/4 Calculamos la divergencia de u con la fórmula: ∇⋅u=1/ρˑ(∂/∂ρ(ρ⋅uρ))+1/ρ (∂/∂θ(ρ⋅uθ))+1/ρ(∂/∂z(ρ⋅uz)) para u (ρ,θ) y la calculamos de la siguiente manera:
ρ(1/ρˑ(∂/∂ρ(ρˑf(ρ)))=ρ(((ρ-1))/4)=∫∂/∂ρ(ρˑf(ρ))dρ→ ∫ρ(((ρ-1))/4)dρ→ ρ·f(ρ)=((2ρ^3-3ρ^2))/24+ C
f(ρ)=(2ρ^3-3ρ^2)/24ρ+c
según la condición inicial de ρ=1, llegamos a que f(ρ)·gρ=0, por lo que f(ρ)=0. Sabiendo esto despejamos C=1/24.
5.Dibujar el campo de vectores en los puntos del mallado del sólido.
6.Dibujar el sólido antes y después del desplazamiento dado por el campo de vectores u. Dibujar ambos en la misma figura usando el comando subplot.
7.Dibujar ∇∙u. Determinar analíticamente los puntos en los que la divergencia de u es máxima, mínima y nula. La divergencia es una medida del cambio de volumen local debido al desplazamiento. ¿Se puede apreciar esto en la gráfica?
-Si la divergencia es ∇∙u=(ρ-1)/4 -El máximo obtenido es 0.5 -El mínimo obtenido es 0 -La divergencia es nula cuando ρ=1,∇∙u=0
8.Calcular |∇×u| en todos los puntos del sólido y dibujarlo. ¿Qué puntos sufren un mayor
rotacional?
Debido a que el rotacional es 0 ya que f(ρ) sólo depende de ρ ningún punto sufre el rotacional.
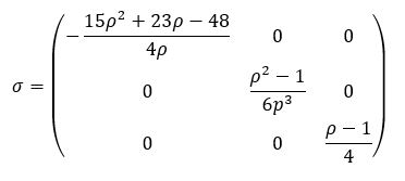
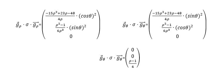
9. Definamos u = (∇u + ∇u^t)/2, la parte simétrica del tensor gradiente de u conocido como tensor de deformaciones. En un medio elástico lineal, isótropo y homogéneo los desplazamientos permiten escribir el tensor de tensiones σij a través de la fórmula σ = λ(∇·u)1 + 2µ, donde λ y µ son los conocidos como coeficientes de Lamé que dependen de las propiedades elásticas de cada material. A pesar de que los desplazamientos son planos (es decir u no tiene componente en la dirección de k) las tensiones no tienen por qué ser planas y puede haber tensiones en la dirección ortogonal al plano de la placa. Tomando λ = µ = 1, dibujar las tensiones normales en la dirección que marca el eje i, es decir i·σ·i, las tensiones normales en la dirección que marca el eje j, es decir j·σ·j y las correspondientes al eje k, es k·σ·k.
10. Calcular las tensiones tangenciales respecto al plano ortogonal a gρ. |σ⋅(gρ)-((gρ)⋅σ⋅(gρ))gρ|
Las tensiones tangenciales son nulas
11. La tensión de Von Mises se define por la fórmula σV M = sqrt((σ1 − σ2)^2 + (σ2 − σ3)^2 + (σ3 − σ1)^2)/2 , donde σ1, σ2 y σ3 son los autovalores de σ (también conocidos como tensiones principales). Se trata de una magnitud escalar que se suele usar como indicador para saber cuándo un material inicia un comportamiento plástico (y no elástico puro). Pintar la tensión de Von Mises y señalar en qué punto se alcanza el mayor valor.
13. Supongamos que la densidad de la placa es d(x,y) = 1+e^(−|x|/(y+1)^2). Calcular la masa total aproximando la integral correspondiente numéricamente.
La masa es: 4.8128



















