Trabajo 7: Visualización de campos vectoriales y escalares en fluidos. (Grupo C-11)
| Trabajo realizado por estudiantes | |
|---|---|
| Título | Trabajo 7: Visualización de campos escalares y vectoriales en fluidos (Grupo C-11) |
| Asignatura | Teoría de Campos |
| Curso | 2019-20 |
| Autores | Bernardo Rodríguez, Eduardo Martín Velásquez, Joaquín Ramón López |
| Este artículo ha sido escrito por estudiantes como parte de su evaluación en la asignatura | |
Contenido
1 Enunciado
Visualización de campos escalares y vectoriales en fluidos. Vamos a considerar el flujo de un fluido incompresible a través de un canal con paredes rectas. Trabajaremos en el plano con coordenadas cartesianas.
Todo el código y las tablas obtenidas se consiguieron utilizando OCTAVE.
2 Mallado
Dibujar un mallado que represente los puntos interiores del rectángulo [0, 8] × [−1, 1] ocupado por un fluido. Fijar los ejes en la región [0, 4] × [−2, 2]. Para ello se utilizó el siguiente código:
x=0:0.1:8;
y=-1:0.1:1;
[xx,yy] = meshgrid(x,y);
figure(1)
mesh(xx,yy,0*xx)
axis([0,4,-2,2])
view(2)
Del cual se obtiene la siguiente gráfica.
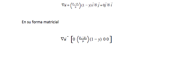
Se da un campo para expresar la velocidad de las particulas en el fluido así como un campo para expresar su presión en cada punto. En donde tenemos un líquido incompresible el cual verifica:
4 Campo de presiones y velocidades
Suponiendo valores para:
p1=2 p2=1 μ=1
Se obtienen las siguientes expresiones de presión y velocidad.
Se utilizó el siguiente código para el campo de presiones
x=0:0.1:8;
y=-1:0.1:1;
[xx,yy] = meshgrid(x,y);
figure(1)
f=3-xx;
surf(xx,yy,f)
axis([0,4,-2,2])
view(2)
colorbar
Del cual obtenemos la siguiente gráfica.
Por otro lado, se utilizó el siguiente código para el campo de velocidades
x=0:0.1:8;
y=-1:0.1:1;
[xx,yy] = meshgrid(x,y);
figure(1)
fx=-0.5*yy.^2+0.5;
fy=0;
quiver(xx,yy,fx,fy)
axis([0,4,-2,2])
view(2)
Del cual obtenemos.
Por lo cual la velocidad del campo es máxima en el eje, es decir en y=0
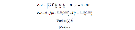
5 Cálculo del rotacional
El siguiente apartado calcula el rotacional de ū y así mismo obtenemos su gráfica, que nos indica los puntos de mayor rotacional.
Dada la expresión se aplica el código:
[X,Y]=meshgrid(x,y)
Z=Y
Figure
pcolor(X,Y,Z)
colorbar
Del cual se obtiene la gráfica.
Los resultados indican que la gráfica lógica porque las velocidades respecto del eje Y=0 son simétricas. El rotacional en este eje es cero y en los extremos tiene un valor máximo de 1, en el caso de inferior al eje tenemos valor negativo y en el caso superior el valor es positivo. Los datos señalan que el sentido de la rotación de partículas cambia si se cruza el eje y=0, sin embargo, su magnitud retoma los mismos valores cuando se alejaba de la pared inferior, conforme se va acercando a la superior y viceversa.
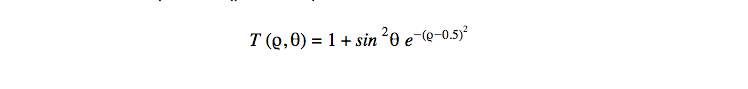
6 Temperatura del fluido
La temperatura del fluido viene dada por el siguiente campo:
x=0:0.1:8;
y=-1:0.1:1;
[xx,yy]=meshgrid(x,y);
Ro=sqrt(xx.^2+yy.^2);
Theta=atan(yy./(xx+10^-9));
T=1+(sin(Theta).^2).*((e.^-(Ro-0.5)).^2);
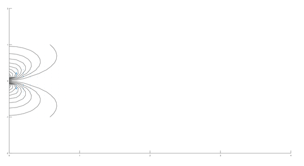
figure
contour(xx,yy,T,'k')
axis([0,4,-2,2])
figure
pcolor(xx,yy,T)
colorbar
axis([0,4,-2,2])
Para obtener la temperatura máxima utilizamos
ma=max(max(T));
fprintf('La temperatura maxima %.2f\n',ma)
La cual nos da como resultado 3,23 grados.
Por consecuencia se obtiene la gráfica de las curvas de nivel y después de usar el comando p color, obtenemos el gráfico del campo de temperaturas.
7 Gradiente de la temperatura
Se dibuja el gradiente la temperatura, el cual es ortogonal al campo de temperaturas de la gráfica anterior. El gradiente de temperatura se obtiene operando:
Después de aplicar el código:
x=0:0.1:8;
y=-1:0.1:1;
[xx,yy]=meshgrid(x,y);
Ro=sqrt(xx.^2+yy.^2);
Theta=atan(yy./(xx+10^-9));
T=1+(sin(Theta).^2).*((e.^-(Ro-0.5)).^2);
G1=(1-2.*Ro).*((sin(Theta)).^2).*(e.^-(Ro-0.5)).^2);
G2=(2.*(sin(Theta)).*(cos(Theta)).*(e.^-(Ro-0.5).^2))./(Ro.^2);
figure
hold on
quiver(xx,yy,G1,G2)
contour(xx,yy,T,'k')
axis([0,4,-2,2])
Se obtiene la gráfica, la cual nos demuestra como el gradiente es ortogonal a las curvas de nivel de la temperatura.
8 Presión media en puntos del fluido
Utilizando la integral de la presión en todo el fluido dividida por su área, nos da como resultado la presión media en los puntos del fluido numéricamente, la cual fue operada de la siguiente manera:
9 Caudal a partir de la velocidad
Se calcula el caudal del fluido a partir de la velocidad dada en m/s y así mismo identificamos el porcentaje de caudal que pasa por la mitad central del canal.









