Trabajo 4. Año 20/21
| Trabajo realizado por estudiantes | |
|---|---|
| Título | Visualización de Campos Escalares y Vectoriales en Elasticidad. Grupo 14-C |
| Asignatura | Teoría de Campos |
| Curso | 2020-21 |
| Autores | Ana Regaliza Rodríguez Laura León de Hoz |
| Este artículo ha sido escrito por estudiantes como parte de su evaluación en la asignatura | |
Consideramos una placa plana que ocupa el semianillo circular centrado en el origen y comprendido entre los radios 1 y 2 en el semiplano y≥0. En esta placa tendremos definidas dos cantidades físicas:
- La temperatura T(x,y), que en nuestro caso solo depende de la variable espacial y.
- Los desplazamientos [math]\overrightarrow { u } (x,y)[/math]. producidos por la acción de una fuerza determinada.
A continuación, estudiaremos el efecto que producen ambas cantidades físicas sobre la placa y las tensiones que éstas generan.
Contenido
1 Visualización de la placa
Comenzamos dibujando el mallado de la placa, definida como un semianillo, el cual representa los puntos interiores del sólido.
Tomaremos h=1/10 como paso de muestreo y observamos que el mallado no completa el semianillo. Esto es debido al muestreo h que hemos tomado, éste será mayor que θ y, por ello, se omite y aparece ese pequeño desfase.
2 Distribución de temperaturas del sólido
La distribución de temperaturas en cada punto del sólido viene dada por el campo escalar:
[math]T(x,y)=log(y²+2)[/math]
Como podemos observar en la gráfica, la temperatura es máxima en el punto (0,1'9991)
3 Estudio del gradiente de temperaturas
Al tener las curvas de nivel en nuestro sólido y la función en la que varía la temperatura podemos obtener el gradiente de la misma ∇T
Aprovechamos para verificar que nuestras ecuaciones y los diagramas están correctos al utilizar una de las propiedades del gradiente. Como podemos observar el ∇T es ortogonal a las curvas de nivel del anillo.
Recordamos la fórmula general del cálculo de ∇T en coordenadas cartesianas
[math]\nabla T=\frac { \partial T(x,y) }{ \partial x } \overrightarrow { i } \quad +\frac { \partial T(x,y) }{ \partial y } \overrightarrow { j } \quad +\frac { \partial T(x,y) }{ \partial z } \overrightarrow { k } [/math].
Particularizándolo a nuestra temperatura:
4 Campo de desplazamientos
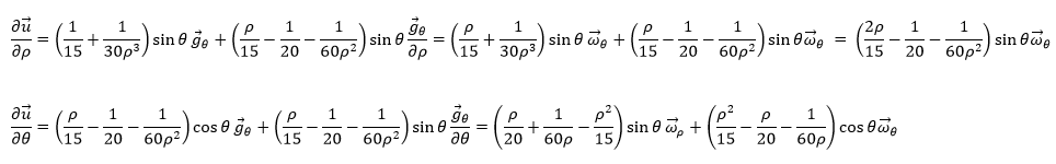
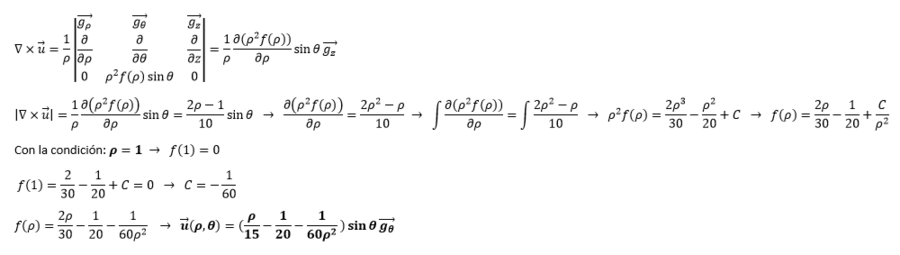
Consideramos un campo de desplazamientos [math]\overrightarrow { u } (\rho ,\theta)= sin(\theta)f(\rho) { \overrightarrow { g } }_{ \theta }[/math] , teniendo en cuenta que:
- Los puntos situados en [math]\rho=1[/math] no sufren desplazamiento
- |[math]∇ × \overrightarrow { u }|= sin(\theta){\frac { (2\rho-1) }{ 10 }}[/math]
Obtenemos [math]f(\rho)[/math] y representamos el campo de desplazamientos:
Este campo de desplazamientos va a producir una deformación en la placa debida a la vibración que ocasiona la fuerza aplicada. Como se aprecia en la siguiente imagen:
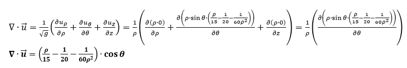
5 Divergencia
Estudio del cambio de volumen local provocado por el campo de desplazamientos. Tomaremos el campo [math]\overrightarrow { u } (\rho ,\theta)= ({\frac {\rho}{ 15} - \frac {1}{20} - \frac{1}{60\rho²}})sin(\theta) { \overrightarrow { g } }_{ \theta }[/math] obtenido anteriormente.
La divergencia (∇·[math]\overrightarrow {u})[/math] nos permite conocer en que puntos la sección se comprime (tonos fríos) y en cuales se expande (tonos cálidos).
Calculamos la divergencia de nuestro campo y a continuación la representamos.
5.1 Comparación
Vamos a observar el efecto que ha producido el campo vectorial sobre la placa:
A partir de la representación podemos observar que la zona expandida es la zona exterior del semianillo en la parte de los extremos, en cambio nuestra placa se comprime en la zona interior del semianillo. El cambio de volumen no es muy notable.
6 Rotacional
El rotacional representa el giro de la superficie cuando aplicamos el campo de desplazamientos [math]\overrightarrow { u }[/math]
- [math]∇ × \overrightarrow { u }= sin(\theta){\frac { (2\rho-1) }{ 10 }}[/math]
6.1 Comparación
Para estudiar como afecta el rotacional a nuestra placa comparamos la distribución de los desplazamientos y la del rotacional en nuestra placa:
Como podemos ver en la gráfica el rotacional es mayor en los puntos exteriores, ya que tiende a rotar en los puntos que han sufrido más desplazamiento.
7 Tensiones
7.1 Tensiones normales
En un medio elástico lineal, isótropo y homogéneo, los desplazamientos permiten definir el tensor de tensiones σij como:
[math]σ(x,y)=λ∇·\overrightarrow { u }1 + 2με[/math]
Donde λ y μ son los coeficientes de Lamé, que dependen de cada material. Tomamos λ = μ = 1 para el cálculo de tensiones.
ε es la parte simétrica del vector gradiente [math]\overrightarrow {u}[/math], es decir, [math]\epsilon (\overrightarrow {u})=\frac {∇\overrightarrow {u} +{∇}\overrightarrow {u} ^{ t } }{ 2 } [/math]
Procedemos a calcular en tensor de tensiones trabajando en la base física:



Representamos estos resultados en nuestra placa:
7.2 Tensiones tangenciales
Las tensiones tangenciales al plano ortogonal respecto de [math]\vec g_{\rho}[/math] vienen dadas por [math]|\sigma \cdot \vec g_\rho-(\vec g_\rho \cdot \sigma \cdot \vec g_\rho) \vec g_\rho|[/math].

Representamos estos resultados en nuestra placa:
8 Tensión de Von Mises
La tensión de Von Mises se define como:
[math]{ \sigma }_{ VM }=\sqrt { \frac { { \left( { \sigma }_{ 1 }-{ \sigma }_{ 2 } \right) }^{ 2 }+{ \left( { \sigma }_{ 2 }-{ \sigma }_{ 3 } \right) }^{ 2 }+{ \left( { \sigma }_{ 3 }-{ \sigma }_{ 1 } \right) }^{ 2 } }{ 2 } } [/math].
Sabemos que [math]{ \sigma }_{ 1 } ,{ \sigma }_{ 2 }, { \sigma }_{ 3 }[/math] son las tensiones principales, conocidas como los autovalores de [math]\sigma[/math].
La tensión de von Mises es una magnitud escalar que nos indica cuando un material inicia un comportamiento plástico.
Como se puede observar el valor de la tensión de Von Mises es mayor en la parte exterior en los extremos de nuestra placa.
9 Masa
La densidad de la placa viene dada en coordenadas cartesianas por la siguiente función: [math]d(x,y)=1 + |x|y log(1+|x|+y²)[/math]
Procedemos a calcular la masa de nuestra placa a través de la siguiente integral:

Utilizaremos métodos numéricos (método del trapecio) para obtener el resultado, ya que se nos complica demasiado la integral.
El programa nos devuelve un valor de la masa de m=9.3267




