Señales aleatorias y filtrado de imágenes
Trabajo realizado por:
- David Cabrero Sañudo
- Ainara Contreras Echebarria
- Roberto Rodríguez Gallego
Contenido
- 1 Procesamiento de imágenes (Oversampling)
- 1.1 Generar un filtro Low pass que contenga 2N + 1 elementos
- 1.2 Aplicar una ventana de Hamming al filtro
- 1.3 Realizar un filtro Low-Pass en dos dimensiones tomando variables separadas para (x) e (y)
- 1.4 Aplicar un factor de ampliación a una imagen
- 1.5 Aplicar un factor de ampliación a una imagen, aplicando un filtro con la ventana de Hamming
- 1.6 Multiplicar el tamaño de la imagen lena por cuatro y aplicar un filtro con 2N + 1 valores siendo N=10
- 1.7 Realizar lo mismo que en el ejercicio anterior pero con N=1
- 1.8 Ahora ampliamos la imagen por ocho y el número de elementos del filtro lo igualamos a diez
- 2 Procesos Aleatorios y Series Temporales
- 3 Modelos autoregresivos y de media móvil
1 Procesamiento de imágenes (Oversampling)
El proceso de Oversampling consiste en aumentar el número de pixeles de la imagen original.
1.1 Generar un filtro Low pass que contenga 2N + 1 elementos
En la imagen de la izquierda vemos 15 puntos ya que el valor de N introducido a sido de 7 (2N + 1 = 15) y en la imagen de la derecha podemos ver el filtro en tres dimensiones.
1.2 Aplicar una ventana de Hamming al filtro
Igual que para el filtro de Low-Pass vemos que en la imagen de la izquierda nos aparecen 15 puntos y en la imagen de la derecha vemos la representación en tres dimensiones. Al aplicarle la ventana de Hamming lo que conseguimos es amortiguar las altas frecuencias y amoldarse mejor a las bajas frecuencias.
1.3 Realizar un filtro Low-Pass en dos dimensiones tomando variables separadas para (x) e (y)
La aplicación de un filtro de frecuencia baja tiene el efecto de eliminar frecuencias altas y medias dando como resultado una imagen que tiene un menor contraste, una apariencia más suave. Es por esto que este proceso es también denominado “suavización de imágenes” (image smoothing) y al filtro de frecuencia baja se le llama filtro de suavizado o de homogeneización (smoothing filter).
%N es el número de elementos del filtro
%M es la proporción de frecuencias que queremos eliminar
Nx=7;
Mx=4;
Ny=7;
My=4;
% Filtros para x e y
h1=filtrolp(Nx,Mx);
h2=filtrolp(Ny,My);
% Filtros para x e y (hamming)
h1m=filtrolph(Nx,Mx);
h2m=filtrolph(Ny,My);
% filtro dos dimensiones low pass
subplot(1,2,1)
h=h1'*h2;
surf(h)
title('low pass')
% filtro dos dimensiones Hamming
subplot(1,2,2)
hm=h1m'*h2m;
surf(hm)
title('Hamming')
% dtft con low pass
DTFTh=fftshift(abs(fft2(h,2^6,2^6)));
n1=2^6; n2=2^6; p1=1/n1; p2=1/n2;
tau1=[-1/2:p1:1/2-p1];
tau2=[-1/2:p2:1/2-p2];
[tt1,tt2]=meshgrid(tau1,tau2)
figure(2)
subplot(1,2,1)
surf(tt1,tt2,DTFTh)
title('DTFT low pass')
%dtft con hamming
DTFThm=fftshift(abs(fft2(hm,2^6,2^6)));
subplot(1,2,2)
surf(tt1,tt2,DTFThm)
title('DTFT Hamming')
1.4 Aplicar un factor de ampliación a una imagen
El primer paso será añadir M-1 ceros entre cada dos valores de la muestra inicial y luego aplicarle el filtro de Low-Pass.
function z = interM(imagen,N,M)
[a,b]=size(imagen);
%matriz de ceros
imagen2=zeros(a*M,b*M);
imagen2(1:M:a*M,1:M:b*M)=imagen(1:a,1:b);
% Filtros para x e y
h1=filtrolp(N,M);
h=h1'*h1;
imagenfil=filter2(h,imagen2);
imagesc(imagenfil);
colormap('gray');
axis('image');
title('filtrada ')
figure(2)
imagesc(imagen2);
colormap('gray');
axis('image');
title('con ceros ')
En la imagen vemos como cada dos pixeles de la imagen original a intercalado un valor nulo, ya que hemos utilizado M=2.
Después de aplicar el filtro de Low Pass el resultado es el siguiente:
Vemos que en los pixeles donde añadió un cero esta más oscuro, pero queda mucho más suavizado que antes de aplicarle el filtro.
1.5 Aplicar un factor de ampliación a una imagen, aplicando un filtro con la ventana de Hamming
function z=interMh(imagen,N,M)
[a,b]=size(imagen);
imagen2=zeros(a*M,b*M);
imagen2(1:M:a*M,1:M:b*M)=imagen(1:a,1:b);
% Filtros para x e y
h1=filtrolph(N,M);
h=h1'*h1;
imagenfil=filter2(h,imagen2);
imagesc(imagenfil);
colormap('gray');
axis('image');
title('filtrada ')
figure(2)
imagesc(imagen2);
colormap('gray');
axis('image');
title('con ceros ')
En la imagen vemos como cada dos pixeles de la imagen original a intercalado un valor nulo, ya que hemos utilizado M=2.
Después de aplicar el filtro de Low Pass con la ventana de Hamming el resultado es el siguiente:
Para comparar los resultados obtenidos mediante la ventana Hamming y sin ella:
Vemos que mediante la ventana Hamming los resultados son peores, se parecen más a la imagen original.
1.6 Multiplicar el tamaño de la imagen lena por cuatro y aplicar un filtro con 2N + 1 valores siendo N=10
%leer la imagen
lena=imread('lena.jpg','jpeg');
%multiplicar por 4 la imagen
N=10;
M=4;
figure (1)
h=1/M;
lena4=lena(1:h:512,1:h:512);
imagesc(lena4);
colormap('gray');
axis('image');
title('imagen x 4')
%aplicar un filtro low pass
theta=pi*[1:N];
h=sin(2*theta/(2*M))./theta;
h=[fliplr(h) 1/M h];
h=h/(sum(h))*M;
hb2=h'*h
lenafil=filter2(hb2,lena4);
%anadir ventana Hamming
theta=pi*[1:N];
h=sin(2*theta/(2*M))./theta;
hh=h.*(0.54+0.46*cos(pi*theta/N));
%simetrizamos
hh=[fliplr(hh) 1/M hh];
hh=hh/(sum(hh))*M; % evitamos que el filtro amplifique la senal
z=hh;
hb3=hh'*hh;
lenafil2=filter2(hb3,lena4);
%dibujar
figure(2)
subplot(1,2,1)
imagesc(lenafil);
colormap('gray');
axis('image');
title('low pass')
subplot(1,2,2)
imagesc(lenafil2);
colormap('gray');
axis('image');
title('hamming')
En la imagen de la izquierda vemos la imagen ampliada, es decir, que paso de tener (512 x 512) pixeles a tener (2048 x 2048) pixeles. En la imagen de la derecha vemos primero la imagen aplicándole el filtro de Low-Pass y en la segunda imagen aplicándole la ventana de Haming.
En la siguiente imagen hemos ampliado una zona para poder apreciar mejor cuales son los resultados del filtro, y vemos que aplicándole el filtro Low-Pass la imagen se ve mejor y al añadirle la ventana de Hamming que lo que hace es suavizar la imagen.
1.7 Realizar lo mismo que en el ejercicio anterior pero con N=1
Vemos que al ser menor el número de elementos del filtro, es decir, el valor de N, la imagen filtrada se parce más a imagen original.
1.8 Ahora ampliamos la imagen por ocho y el número de elementos del filtro lo igualamos a diez
Al aumentar más el tamaño de la imagen, se vera más pixelada pero vemos que manteniendo el número de elementos del filtro el resultado es similar al que obtuvimos al aumentar la imagen por 4.
2 Procesos Aleatorios y Series Temporales
Sea una señal determinista discreta periódica X(n) de periodo 4 definida por ejemplo en {1,1,2,3} y una señal aleatoria y(n)=x(n-D) siendo D una variable aleatoria discreta que puede tomar los valores {0,1,2,3} de manera equiprobable.
2.1 Determinación de Trayectorias
c=floor(4*rand(4,8)); %genero una matriz cuyas columnas
%son números aleatorio comprendidos entre 0 y 3
for k=1:8 %represento cada trayectoria en un subplot
subplot(2,4,k)
plot(c(:,k),'rx-')
axis([1 4 0 3])
end
¿Existe un número finito de trayectorias? No, en realidad existe un número finito de trayectorias distintas. ¿Cuántas? 256 trayectorias distintas, que corresponden a la variación con repetición de 4 elementos
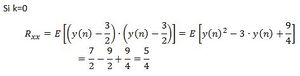
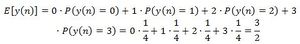
2.2 Proceso Estacionario en Sentido Amplio
Se demuestra que:
2.3 Matriz de correlación y covarianza
xc=xcorr(c)/length(c)]
2.4 PSD de una señal aleatoria
%2do método para aproximar la PSD. Primero hacemos la convolución y luego
%la transformada.
figure(2)
z=xcov(c)/length(c); %xcov hace aprox. una convolución
PSD2=fftshift(abs(fft(z)));
tau1=-1/2:1/length(z):1/2-1/length(z);
plot(tau1,log(PSD2),'x-r')
%3er método para aproximar la PSD. Vamos a hacer primero la transformada y
%luego hago el cuadrado
N=300;
PSD3=fftshift(abs(fft(c)));
x2=PSD3.^2/N;
hold on
tau2=-1/2:1/length(c):1/2-1/length(c);
plot(tau2,log(x2),'g')
title('Aproximación PSD')
legend('2do método','3er método')
3 Modelos autoregresivos y de media móvil
3.1 Proceso MA-4
Un proceso aleatorio MA-q se define por:
donde w es un ruido blanco de varianza δ2 y b1,...,bq son los coeficientes.
En nuestro caso vamos a representar un proceso MA-4 con 4 coeficientes con un valor comprendido entre -2 y 2, con lo que este proceso quedaria definido como:
- x(k)=w(k)+f1*w(k-1)+f2*w(k-2)+f3*w(k-3)+f4*w(k-4)
Vamos a realizar este experimento con un diferentes numero de valores (200,300,500 y 1000)
% Proceso MA-4
clear all
% Parametros aleatorios entre -2 y 2
a1=randn(1);
if a1<0
a1=-1;
else
a1=1;
end
f1=a1*(2*rand(1))
a2=randn(1);
if a2<0
a2=-1;
else
a2=1;
end
f2=a2*(2*rand(1))
a3=randn(1);
if a3<0
a3=-1;
else
a3=1;
end
f3=a3*(2*rand(1))
a4=randn(1);
if a4<0
a4=-1;
else
a4=1;
end
f4=a4*(2*rand(1))
% Ruido blanco
N=300;
a=rand(1,N);
% Proceso MA4
x(1)=randn(1);
x(2)=randn(1);
x(3)=randn(1);
x(4)=randn(1);
for n=5:N
x(n)=a(n)+f1*a(n-1)+f2*a(n-2)+f3*a(n-3)+f4*a(n-4);
end
% Dibujamos el proceso
figure (1)
plot(a)
hold on
plot(x,'x-r')
title('N=300')
% Reproducir el proceso usando filtros
h=[1 f1 f2 f3 f4];
y=filter(h,1,a);
plot(y,'go')
legend('Ruido Blanco','Proceso MA-4','Filtro','Location','South')
% Calculo de la PSD
PSD2=fftshift(abs(fft(y)));
figure (2)
z2=PSD2.^2/N;
tau3=-1/2:1/N:1/2-1/N;
plot(tau3,log(z2),'rx-')
% Segundo metodo
H1=abs(fftshift(fft(h,N))).^2;
tau2=-1/2:1/N:1/2-1/N;
hold on
plot(tau2,log(H1),'b')
title('N=300')
Si nos fijamos en el principio de las gráficas, se puede apreciar como el filtro tarda 4 puntos en empezar a actuar. A partir de ahí coincide exactamente con el proceso MA-4
3.2 Proceso AR-2
Un proceso aleatorio AR-q se define por:
donde w es un ruido blanco de varianza δ2 y a1,...,aq son los coeficientes.
Construiremos un proceso x(t) con parámetros ρ=0.95, θ=π/4 y N=100, 200, 500 y 1000. También dibujaremos el periodograma y la aproximación de la PSD de estos procesos.
% Construir un proceso AR-2
clear all
ro=0.95;
th=pi/4;
phi1=-2*ro*cos(th);
phi2=ro^2;
N=100;
a=randn(1,N);
H=[1 phi1 phi2];
x=filter(1,H,a);
% Dibujo del filtro
figure(1)
plot(x,'x-')
title('N=100')
% Periodograma
figure(2),
title('N=100')
hold on
PSD1=fftshift(abs(fft(x)));
x1=PSD1.^2/N;
tau1=-1/2:1/length(x):1/2-1/length(x);
plot(tau1,log(x1),'xr-')
% Aproximación de la PSD
PSD=fftshift(abs(fft(H,N))).^2;
PSD=1./PSD;
tau2=-1/2:1/N:1/2-1/N;
plot(tau2,log(PSD))
legend('Periodograma','Aproximación PSD',0)
Repetimos el proceso anterior pero variando los valores de ρ y θ pero manteniendo el mismo N









