Modelo para epidemias (Grupo 9C, Trabajo 7)

De MateWiki
Saltar a: navegación, buscar
Trabajo realizado por estudiantes
Título Modelo para epidemias (Grupo 9C, Trabajo 7)
Asignatura Ecuaciones Diferenciales
Curso Curso 2014-15
Autores Nerea González Rivas, José Antonio Murcia Ruiz, Alejandra Pereira Santos, Tania Ruiz Ruiz, Sergio Sánchez García, Rocio Santos Rodrigo
Este artículo ha sido escrito por estudiantes como parte de su evaluación en la asignatura


En este trabajo vamos a estudiar el comportamiento de una enfermedad infecciosa (epidemia) en una población de N habitantes, la cual es inextensible espacialmente (no varía el número de habitantes).

1 ª Parte

En la primera parte del trabajo vamos a emplear un modelo sencillo que implica una ecuación diferencial de primer orden. Como datos tenemos el número total de habitantes (N=500.000 habitantes), el número inicial de infectados (I(0)=200 casos), el número de infectados tras la primera semana (I(1)=500 casos).

1.1 Número de contactos 'aproximados'

Para calcular los contactos 'aproximados', hemos empleado el método de Euler. Sabiendo que C tiene valores entre 0.01 y 0.99, hemos creado un bucle que ha pasado por cada uno de esos valores, guardando en un vector la condición de |I(primera semana) - 500| y dibujándolo en comparación con todas las C posibles para ver gráficamente, además de numéricamente, la variación de la condición. El problema que tenemos que resolver es:

Formula apartado 1 parte 1.png

Y el código empleado para estos cálculos es el siguiente:

clear all, clc, clf
% Parte 1 Apartado 1----------------------------------------------------------------------------------------------
y0=200;
h=0.01;
t=0:0.01:1;                          % Vector en el que se estudia la epidemia
n=length(t);                         % Número de puntos
c=0.01:0.01:0.99;                    % Vector de posibles C
m=length(c);                         % Número de posibles C
Y=zeros(m,n);                        % Matriz donde guardamos, por filas, las soluciones de los infectados según C
y(1)=y0;
% Método de Euler-------------------------------------------------------------------------------------------------
for k=1:m
  Y(k,1)=y0;
  for i=1:n-1
    y(i+1)=y(i)+h*(c(k)/500000*(500000-y(i))*y(i));
    Y(k,i+1)=y(i+1);
  end
end
I=abs(Y(:,n)-500*(ones(1,m)'));      % Condición de abs(I(primera semana)-500) 
minimo=min(I);                       % Mínimo de la condición
[u,v]=find(I==minimo);               % Posición del mínimo
C=u/100                              % C obtenida
plot(c,I)                            % Gráfica comparativa de C con la condición

Y la gráfica obtenida de la comparación de la condición en función de cada valor posible de C es:

Error absoluto en I(1) para cada c


SOLUCIÓN:

El número de contactos obtenido que cumple que |I(1) - 500| es mínimo es C = 0.92

1.2 Evolución de los infectados

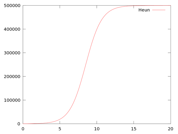
Utilizando el método de Heun y Runge Kutta de orden 4, con un paso de h=0.01, la gráfica de evolución de afectados frente al tiempo (I(t),t) en un tiempo t=20 semanas, que hemos escogido para ver la curva completa, y el programa son los siguientes:

clc, clear all, clf
% Parte 1 Apartado 2-----------------------------------------------
t0=0;
tN=input('Introduce las semanas de estudio: ');
y0=200;
h=0.01;
N=round(tN-t0)/h;
% Vectores---------------------------------------------------------
t=t0:h:tN;          % Tiempo
y=zeros(1,N+1);     % Infectados para Runge Kutta
y(1)=y0;
z=zeros(1,N+1);     % Infectados para Heun
z(1)=y0;
c=0.92;             % Contactos
% Bucle------------------------------------------------------------
for i=1:N
  K1RK=c/500000*(500000-y(i))*y(i);
  K2RK=c/500000*(500000-(y(i)+h/2*K1RK))*(y(i)+h/2*K1RK);
  K3RK=c/500000*(500000-(y(i)+h/2*K2RK))*(y(i)+h/2*K2RK);
  K4RK=c/500000*(500000-(y(i)+h*K3RK))*(y(i)+h*K3RK);
  y(i+1)=y(i)+h/6*(K1RK+2*K2RK+2*K3RK+K4RK);
  K1H=c/500000*(500000-z(i))*z(i);
  K2H=c/500000*(500000-(z(i)+h*K1H))*(z(i)+h*K1H);
  z(i+1)=z(i)+h/2*(K1H+K2H);
end
% Gráficas de RK4 y Heun-------------------------------------------
figure(1)
plot(t,y)
legend('Runge Kutta orden 4')
figure(2)
plot(t,z,'r')
legend('Heun')


Gráfica de la variación de I en 20 semanas según Heun
Gráfica de la variación de I en 20 semanas según RK4

1.3 Infectados al terminar la sexta semana

Tras la sexta semana, los infectados se muestran con el siguiente programa, siendo: I(6)=4.5032e+004.

clc, clear all, clf
% Parte 1 Apartado 3-------------------------------------
t0=0;
tN=6;
y0=200;
h=0.01;
t=t0:h:tN;                % Vector tiempo
N=length(t);
y=zeros(1,N);             % Vector de infectados
y(1)=y0;
c=0.92;                   % Contactos
% Bucle de Euler-----------------------------------------
for i=1:N-1
  K1=c/500000*(500000-y(i))*y(i);
  K2=c/500000*(500000-(y(i)+h/2*K1))*(y(i)+h/2*K1);
  K3=c/500000*(500000-(y(i)+h/2*K2))*(y(i)+h/2*K2);
  K4=c/500000*(500000-(y(i)+h*K3))*(y(i)+h*K3);
  y(i+1)=y(i)+h/6*(K1+2*K2+2*K3+K4);
end
InfectadosSemana6=y(600)  % El I(6) es el punto 6/h=600


1.4 Semana a partir de la cuál hay más de 400 000 infectados

Estudiando las 20 primeras semanas de la epidemia, la semana a partir de la cual los infectados superan la cifra de 400 000 es la semana 10 (con mayor exactitud, a partir de las 10.3 primeras semanas). El código empleado para su cálculo ha sido el siguiente:

clc, clear all, clf
% Parte 1 Apartado 4--------------------------------------------
t0=0;
tN=input('Introduce las semanas de estudio: ');
y0=200;
h=input('Introduce el paso:');
t=t0:h:tN;               % Vector tiempo
N=length(t);
y=zeros(1,N);            % Vector de infectados
y(1)=y0;
c=0.92;                  % Contactos
% Bucle de Euler------------------------------------------------
for i=1:N-1
  K1=c/500000*(500000-y(i))*y(i);
  K2=c/500000*(500000-(y(i)+h/2*K1))*(y(i)+h/2*K1);
  K3=c/500000*(500000-(y(i)+h/2*K2))*(y(i)+h/2*K2);
  K4=c/500000*(500000-(y(i)+h*K3))*(y(i)+h*K3);
  y(i+1)=y(i)+h/6*(K1+2*K2+2*K3+K4);
  if y(i)<=400000
    Sem=i+1;
  end
end
plot(t,y)
Semana=Sem*0.01          % La posición de la semana será (i+1)*h


1.5 Infectados con dos umbrales

Manteniendo la población en 500 000 habitantes, utilizando el método de Heun, una longitud de paso h = 0.01 y un umbral M = 10 000, el código y las gráficas de evolución de infectados para los infectados iniciales 9 700, 10 200 y 30 000 habitantes son las siguientes:

clear all, clc, clf
% Parte 1 Apartado 5--------------------------------------------------------
t0=0;
tN=input('Introduce el numero de semanas: ');         % Semanas
y0=input('Inserte valor de Infectados iniciales: ');  % Infectados iniciales
h=0.01;                                               % Paso
P=500000;                                             % Población
M=10000;                                              % Umbral
t=t0:h:tN;                                            % Tiempo
N=length(t);
c=0.92;                                               % Contactos
y=zeros(1,N);
y(1)=y0;
% Método de Heun------------------------------------------------------------
for i=1:N-1
  K1=c*y(i)*(1-(y(i)/P))*(y(i)/M-1);
  K2=c*(y(i)+K1*h)*(1-1/P*(y(i)+K1*h))*(1/M*(y(i)+K1*h)-1);
  y(i+1)=y(i)+h/2*(K1+K2);
end
% Gráfica-------------------------------------------------------------------
plot(t,y)


Gráfica de la variación de I en 20 semanas según Heun para I(0) de 9700
Gráfica de la variación de I en 20 semanas según Heun para un I(0) de 10200
Gráfica de la variación de I en 20 semanas según Heun para un I(0) de 30000


CONCLUSIÓN:

Se puede ver que tenderán a desaparecer los infectados únicamente en el primero de los casos (para un número inicial de infectados de 9700), esto es debido a que no se supera el umbral de 10000 (M) infectados. Cuando se supera este umbral M, el número de infectados tiende al umbral de población máxima (N=500000) en el infinito.

2 ª Parte

Vamos a considerar ahora un método más general, empleando un sistema de ecuaciones que es el siguiente:

Formula apartado 1 parte 2.png

Llamado método SIR, donde S(t) es el número de personas susceptibles de infectarse, I(t) es el número de infectados y R(t) es el número de recuperados e inmunes (al curarse de la enfermedad no se pueden volver a contagiar) y de habitantes aislados, y S(0), I(0) y R(0) son los datos iniciales de esos grupos.

2.1 Demostrar que S(t) + I(t) + R(t) = S0 + I0 = N

Si sumamos S' + I' + R' definidas en el sistema, tenemos que S' + I' + R' = (-rSI) + (rSI - aI) + (aI) = 0, lo que indica que la suma de S + I + R es constante y además S(t) + I(t) + R(t) = S(0) + I(0) + R(0) = S0 + I0 = N, es decir, la población total.

2.2 Demostración analítica de la epidemia en función de S0 y a/r

Demostración analítica, caso (1)y (2):

(1) En el primero de los caso si el número de susceptibles iniciales es menor o igual que la tasa de remoción relativa, no habrá epidemia, el número de infectados no aumenta y tienden a desaparecer en poco tiempo.

(2) En el segundo de los casos si el número de susceptibles iniciales es mayor que la tasa de remoción relativa, entonces hay epidemia en el sentido que los infectados empiezan a aumentar.

DEMOSTRACIÓN ANALÍTICA

2.3 Resolucióin numérica del sistema SIR

Para resolver numéricamente el sistema utilizamos el método de Euler y Runge-Kutta de orden 4 para los distintos valores iniciales de [S0,I0] ([159 985,15],[140 000,20 000],[159 999,1]) y para los distintos intervalos de tiempo ([0,4] y [0,20]), con r=0.0000218 y a=0.341. El código empleado para su cálculo ha sido el siguiente:

clear all;clf;clc
% Introducimos las condiciones iniciales
t0=0;
tN=input('introduce la semana: ');
h=input('introduce el paso: ');
t=t0:h:tN;
S0=input('introduce los susceptibles iniciales: ');
R0=0;
I0=input('introduce el numero de infectados iniciales: ');
% Variables de RK4
I=zeros(1,length(t));
R=zeros(1,length(t));
S=zeros(1,length(t));
I(1)=I0;
S(1)=S0;
R(1)=R0;
% Variables de Euler
Ie=zeros(1,length(t));
Re=zeros(1,length(t));
Se=zeros(1,length(t));
Ie(1)=I0;
Se(1)=S0;
Re(1)=R0;

%datos
a=0.341;
r=0.0000218;
% Runge-Kutta de orden 4
for n=1:length(t)-1
  %primer término
  K1s=-r*S(n)*I(n);
  K1i=r*S(n)*I(n)-a*I(n);
  K1r=a*I(n);
  
  %segundo término
  K2s=-r*(S(n)+h/2*K1s)*(I(n)+h/2*K1i);
  K2i=r*(S(n)+h/2*K1s)*(I(n)+h/2*K1i)-a*(I(n)+h/2*K1i);
  K2r=a*(I(n)+h/2*K1i);
  
  %tercer término
  K3s=-r*(S(n)+h/2*K2s)*(I(n)+h/2*K2i);
  K3i=r*(S(n)+h/2*K2s)*(I(n)+h/2*K2i)-a*(I(n)+h/2*K2i);
  K3r=a*(I(n)+h/2*K2i);
  
  %cuarto término
  K4s=-r*(S(n)+h/2*K3s)*(I(n)+h/2*K3i);
  K4i=r*(S(n)+h/2*K3s)*(I(n)+h/2*K3i)-a*(I(n)+h/2*K3i);
  K4r=a*(I(n)+h/2*K3i);
  
  S(n+1)=S(n)+h/6*(K1s+2*K2s+2*K3s+K4s);
  I(n+1)=I(n)+h/6*(K1i+2*K2i+2*K3i+K4i);
  R(n+1)=R(n)+h/6*(K1r+2*K2r+2*K3r+K4r);
end
% Euler
for i=1:length(t)-1
  Se(i+1)=Se(i)+h*(Se(i)*(-0.0000218)*Ie(i)); %Euler primera ecuación
  Ie(i+1)=Ie(i)+h*(0.0000218*Se(i)*Ie(i)-0.341*Ie(i)); %Euler segunda ecuación
  Re(i+1)=Re(i)+h*(0.341*Ie(i)); %Euler tercera ecuación
end

hold on 
plot(t,S,'g','linewidth',2,t,I,'b','linewidth',2,t,R,'r','linewidth',2)
plot(t,Se,'m','linewidth',2,t,Ie,'c','linewidth',2,t,Re,'k','linewidth',2)
legend('S con RK4','I con RK4', 'R con RK4','S con Euler','I con Euler', 'R con Euler','location','best')
hold off


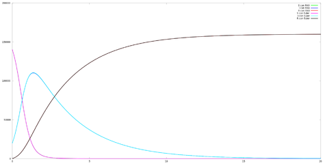
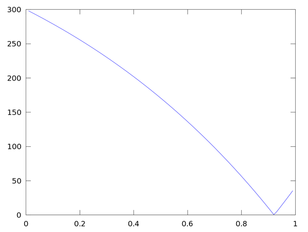
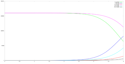
CONDICIONES 1: S0=159 985, I0=15.

Condiciones iniciales 1 hasta la semana 4, con un paso de 0.1
Condiciones iniciales 1 hasta la semana 4, con un paso de 0.01
Condiciones iniciales 1 hasta la semana 4, con un paso de 0.001
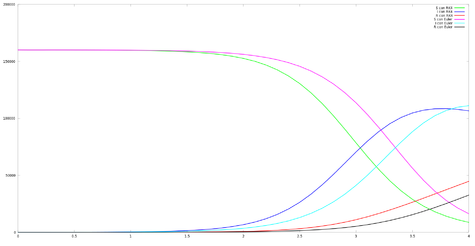
Condiciones iniciales 1 hasta la semana 20, con un paso de 0.1
Condiciones iniciales 1 hasta la semana 20, con un paso de 0.01
Condiciones iniciales 1 hasta la semana 20, con un paso de 0.001


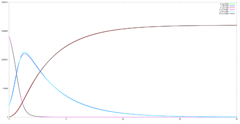
CONDICIONES 2: S0=140 000, I0=20 000.

Condiciones iniciales 2 hasta la semana 4, con un paso de 0.1
Condiciones iniciales 2 hasta la semana 4, con un paso de 0.01
Condiciones iniciales 2 hasta la semana 4, con un paso de 0.001
Condiciones iniciales 2 hasta la semana 20, con un paso de 0.1
Condiciones iniciales 2 hasta la semana 20, con un paso de 0.01
Condiciones iniciales 2 hasta la semana 20, con un paso de 0.001


CONDICIONES 3: S0=159 999, I0=1.

Condiciones iniciales 3 hasta la semana 4, con un paso de 0.1
Condiciones iniciales 3 hasta la semana 4, con un paso de 0.01
Condiciones iniciales 3 hasta la semana 4, con un paso de 0.001
Condiciones iniciales 3 hasta la semana 20, con un paso de 0.1
Condiciones iniciales 3 hasta la semana 20, con un paso de 0.01
Condiciones iniciales 3 hasta la semana 20, con un paso de 0.001


CONCLUSIÓN:

Viendo las gráficas obtenidas con los diferentes pasos, se puede observar que el método de Runge-Kutta es mucho más preciso que el de Euler. Ésto se debe a que el RK tiene un orden 4, y el método de Euler solo es de orden 1. A pesar de esto, el método de Euler tiene un error menor cuanto menor sea el paso. Como conclusión se puede sacar que RK tiene mayor precisión independientemente del paso y Euler tiene una dispersión grande de datos si el paso no es lo suficientemente pequeño.

2.4 Interpretación de la epidemia

En los datos del caso 1, la población sana se contagia de la enfermedad prácticamente al completo antes de la quinta semana, aumentando a su vez, y como es lógico (R + I + S = N), los infectados y los curados, en menor medida estos últimos. Los infectados tienen un máximo entre la semana 3 y 4, a partir del cual empiezan a disminuir porque la población se recupera hasta casi su totalidad.

En el caso 2, la población sana se infecta casi en su totalidad antes de la segunda semana, con un aumento mucho mayor que el caso anterior. Esto se debe a que el número de infectados en el primer caso eran 15 y en el segundo 20 000. Las curvas de curados e infectados tienen la misma forma que en el caso 1 pero con unas variaciones más suaves, teniendo que pasar más de 20 semanas para que los curados tiendan a ser la población total.

En el caso 3, al haber inicialmente un único infectado, la población comienza a desarrollar la enfermedad en torno a la segunda semana, estando infectada casi en su mayoría al comienzo de la quinta semana. La variación de las curvas de infectados y sanos tienen una gran pendiente. Los curados tienen a aumentar con una pendiente más suave, hasta estabilizarse y llegar estar curada toda la población.

Realmente y como se ha dicho en el apartado anterior, las curvas S e I tienden a cero y la curva R tiende a N en el infinito, aunque es válido decir que son cero y N respectivamente cuando ha pasado un tiempo t lo suficientemente grande como para que el error del método sea pequeño.

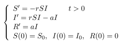
2.5 Trayectorias de los casos del apartado 2.3

A partir de la siguiente ecuación diferencial:: [math] \frac {dI}{dS} =-1+\frac {\rho}{S} [/math]
Si integramos la función obtenemos las trayectorias:: [math] I+S-\rho \cdot log S = K , siendo K\in\mathbb{R} [/math]


Para los casos estudiados en

clear all, clf, clc
% Introducimos las condiciones iniciales----------------------------------------------------
t0=0;
tN=input('Introduce la semana: ');
h=input('Introduce el paso: ');
t=t0:h:tN;
% Primer caso---------------------------------
S10=159985;
I10=15;
I1=zeros(1,length(t));
S1=zeros(1,length(t));
I1(1)=I10;
S1(1)=S10;
% Segundo caso--------------------------------
S20=140000;
I20=20000;
I2=zeros(1,length(t));
S2=zeros(1,length(t));
I2(1)=I20;
S2(1)=S20;
% Tercer caso---------------------------------
S30=159999;
I30=1;
I3=zeros(1,length(t));
S3=zeros(1,length(t));
I3(1)=I30;
S3(1)=S30;
%datos
a=0.341;
r=0.0000218;
% Runge-Kutta de orden 4 Primer caso--------------------------------------------------------
for n=1:length(t)-1
  %primer término del runge-kutta del sistema
  K1s=-r*S1(n)*I1(n);
  K1i=r*S1(n)*I1(n)-a*I1(n);
  %segundo término del runge-kutta del sistema
  K2s=-r*(S1(n)+h/2*K1s)*(I1(n)+h/2*K1i);
  K2i=r*(S1(n)+h/2*K1s)*(I1(n)+h/2*K1i)-a*(I1(n)+h/2*K1i);
  %tercer término del runge-kutta del sistema
  K3s=-r*(S1(n)+h/2*K2s)*(I1(n)+h/2*K2i);
  K3i=r*(S1(n)+h/2*K2s)*(I1(n)+h/2*K2i)-a*(I1(n)+h/2*K2i);
  %cuarto término del runge-kutta del sistema
  K4s=-r*(S1(n)+h/2*K3s)*(I1(n)+h/2*K3i);
  K4i=r*(S1(n)+h/2*K3s)*(I1(n)+h/2*K3i)-a*(I1(n)+h/2*K3i);
  S1(n+1)=S1(n)+h/6*(K1s+2*K2s+2*K3s+K4s);
  I1(n+1)=I1(n)+h/6*(K1i+2*K2i+2*K3i+K4i);
end
% Runge-Kutta de orden 4 Segundo caso-------------------------------------------------------
for n=1:length(t)-1
  %primer término del runge-kutta del sistema
  K1s=-r*S2(n)*I2(n);
  K1i=r*S2(n)*I2(n)-a*I2(n);
  %segundo término del runge-kutta del sistema
  K2s=-r*(S2(n)+h/2*K1s)*(I2(n)+h/2*K1i);
  K2i=r*(S2(n)+h/2*K1s)*(I2(n)+h/2*K1i)-a*(I2(n)+h/2*K1i);
  %tercer término del runge-kutta del sistema
  K3s=-r*(S2(n)+h/2*K2s)*(I2(n)+h/2*K2i);
  K3i=r*(S2(n)+h/2*K2s)*(I2(n)+h/2*K2i)-a*(I2(n)+h/2*K2i);
  %cuarto término del runge-kutta del sistema
  K4s=-r*(S2(n)+h/2*K3s)*(I2(n)+h/2*K3i);
  K4i=r*(S2(n)+h/2*K3s)*(I2(n)+h/2*K3i)-a*(I2(n)+h/2*K3i);
  S2(n+1)=S2(n)+h/6*(K1s+2*K2s+2*K3s+K4s);
  I2(n+1)=I2(n)+h/6*(K1i+2*K2i+2*K3i+K4i);
end
% Runge-Kutta de orden 4 Tercer caso--------------------------------------------------------
for n=1:length(t)-1
  %primer término del runge-kutta del sistema
  K1s=-r*S3(n)*I3(n);
  K1i=r*S3(n)*I3(n)-a*I3(n);
  %segundo término del runge-kutta del sistema
  K2s=-r*(S3(n)+h/2*K1s)*(I3(n)+h/2*K1i);
  K2i=r*(S3(n)+h/2*K1s)*(I3(n)+h/2*K1i)-a*(I3(n)+h/2*K1i);
  %tercer término del runge-kutta del sistema
  K3s=-r*(S3(n)+h/2*K2s)*(I3(n)+h/2*K2i);
  K3i=r*(S3(n)+h/2*K2s)*(I3(n)+h/2*K2i)-a*(I3(n)+h/2*K2i);
  %cuarto término del runge-kutta del sistema
  K4s=-r*(S3(n)+h/2*K3s)*(I3(n)+h/2*K3i);
  K4i=r*(S3(n)+h/2*K3s)*(I3(n)+h/2*K3i)-a*(I3(n)+h/2*K3i);
  S3(n+1)=S3(n)+h/6*(K1s+2*K2s+2*K3s+K4s);
  I3(n+1)=I3(n)+h/6*(K1i+2*K2i+2*K3i+K4i);
end
N=S10+I10;
h1=10000;
J=0:h1:N;
D=zeros(1,length(J));
P=N*ones(1,length(J));
for i=1:length(J)
D(i)=P(i)-J(i);
end
RO=a/r;
%Para k=0
L1=RO*log(S1)-S1;
L2=RO*log(S2)-S2;
L3=RO*log(S3)-S3;
% Trayectorias
figure(1)
clf
hold on
plot(t,L1,'g','linewidth',2)
plot(t,L2,'linewidth',2)
plot(t,L3,'r','linewidth',2)
legend('Caso 1','Caso 2','Caso 3','location','best')
hold off
% S-I
figure(2)
clf
hold on
plot(S1,I1,'g','linewidth',2)
plot(S2,I2,'linewidth',2)
plot(S3,I3,'r','linewidth',2)
plot(D,J,'k')
legend('Caso 1','Caso 2','Caso 3','location','best')
hold off


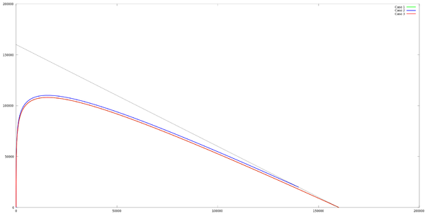
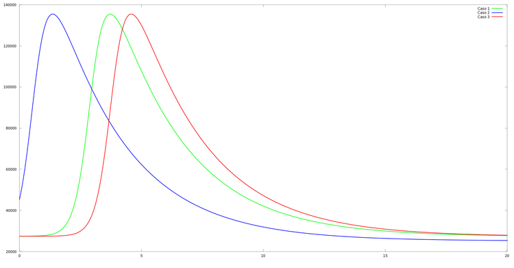
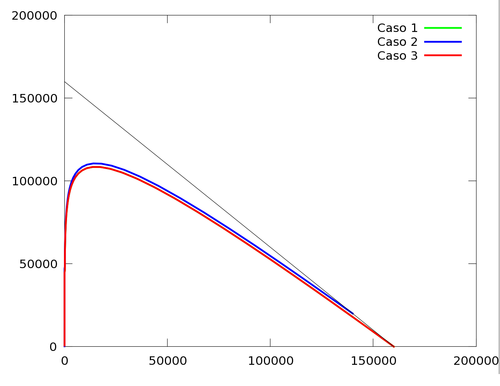
Gráfica del triángulo de trayectorias en función de (S,I) hasta la semana 20
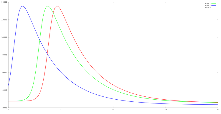
Gráfica de las trayectorias obtenidas a partir de la solución de la ecuación diferencial hasta la semana 20 con paso de 0.1
Gráfica del triángulo de trayectorias en función de (S,I) hasta la semana 20
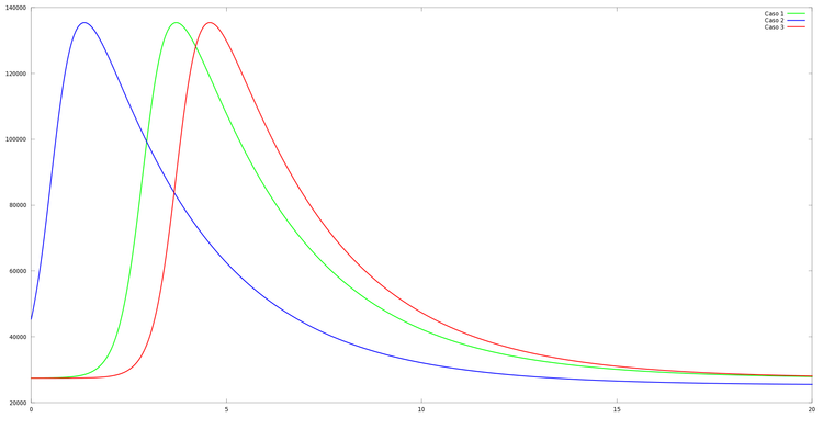
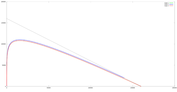
Gráfica de las trayectorias obtenidas a partir de la solución de la ecuación diferencial hasta la semana 20 con paso de 0.01
Gráfica del triángulo de trayectorias en función de (S,I) hasta la semana 20
Gráfica de la trayectoria obtenida a partir de la solución de la ecuación diferencial hasta la semana 20 con paso de 0.001

Las trayectorias obtenidas en el plano de fases (I,S), están necesariamente acotadas por el triángulo de vértices (S,I)=(0,0); (S,I)=(0,N); (S,I)=(N,0). Esto ocurre porque las variables son positivas y dado que el sistema tiene tamaño fijo.

2.6 Número máximo de infectados en el primer caso del apartado 3

Para el primer caso del apartado 2.3 (S0=159 985, I0=15, r=0.0000218, a=0.341), si calculamos analíticamente el número de infectados máximos, tanto para 4 semanas de estudio como para 20, resulta ser:

I(máx) = N - rho + rho * ln (rho / S0) = S0 - a/r + a/r * ln (a / (S0*r)) = 159 985 - 15 642'2 + 15 642'2 * ln (15 642'2 / 159 985) = 107 988'0008 infectados

Y para calcularlo numéricamente, hemos empleado el programa usado en el apartado 2.3 añadiendo solamente:

format long e
Imax=max(I)


Y nos da un valor de Imax para los pasos h = 0.1, 0.01 y 0.001 siguientes:

Imax = 1.08520960052860e+005 = 108 521 infectados para h = 0.1

Imax = 1.08041178514538e+005 = 108 041 infectados para h = 0.01

Imax = 1.07993269666941e+005 = 107 993 infectados para h = 0.001

Como se puede comprobar, cuanto menor es el paso usado menor es el error del método numérico frente al analítico.