La espiral de Ekman(Grupo35)
| Trabajo realizado por estudiantes | |
|---|---|
| Título | La espiral de Ekman. Grupo 35 |
| Asignatura | Teoría de Campos |
| Curso | 2024-25 |
| Autores | Andrés Ruiz, Miguel Alvarez, Javier Jimeno, Mario Pastor, Pablo Alcaide |
| Este artículo ha sido escrito por estudiantes como parte de su evaluación en la asignatura | |
Contenido
- 1 Introducción
- 2 Parámetro de Coriolis f y el valor de ϕ en su fórmula
- 3 Valor de ϑ
- 4 u(z) y v(z) como soluciones de la ecuaciones diferenciales de Ekman
- 5 Campo vectorial v en varios planos paralelos a la superficie del mar
- 6 Campo vectorial v
- 7 Divergencia de v
- 8 Rotacional de v
- 9 Flujo neto de v a través de la pared
- 10 La espiral de Ekman en coordenadas cilíndricas
- 11 Curvatura y la torsión de la espiral de Ekman
- 12 Triedro de Frenet a lo largo de la espiral
- 13 Aplicaciones de esta curva en ingeniería
- 14 Bibliografia
1 Introducción
La redacción de este artículo tiene por objetivo el estudio de la espiral de Ekman, que se trata de un fenómeno físico que describe cómo la interacción entre el viento, la rotación terrestre (efecto Coriolis) y la fricción afectan al movimiento de los fluidos en el océano y la atmósfera. Este efecto, debe su nombre a su desarrollador, el oceanógrafo sueco Vagn Walfrid Ekman (1874-1954), quién explicó cómo una corriente superficial generada por un viento constante, no fluye directamente en la dirección del viento, sino que se desvía gradualmente (hacia la derecha en el hemisferio norte y hacia la izquierda en el hemisferio sur), produciendo una estructura en forma de espiral en la columna de agua, la espiral de Ekman.
Cada capa de agua en la columna se mueve en una dirección ligeramente distinta, con una velocidad que decrece exponencialmente con la profundidad, debido a la fricción interna entre las capas. El resultado neto de este fenómeno, es el transporte de Ekman, un desplazamiento total del agua en una dirección perpendicular al viento de superficie (90° a la derecha en el hemisferio norte y 90° a la izquierda en el hemisferio sur). Este proceso es fundamental en la circulación oceánica, ya que contribuye a la redistribución de calor y nutrientes, además de influir en fenómenos como la surgencia costera y la productividad marina.
La espiral de Ekman, se describe matemáticamente mediante ecuaciones diferenciales que relacionan la fuerza de Coriolis, la viscosidad turbulenta y la acción del viento superficial. Estas ecuaciones tienen soluciones que muestran una rotación y una disminución exponencial de la velocidad del agua conforme aumenta la profundidad. Este concepto tiene aplicaciones clave en la comprensión de los patrones de circulación oceánica, el clima global y los ecosistemas marinos.
2 Parámetro de Coriolis f y el valor de ϕ en su fórmula
El parámetro de coriolis en la espiral de Ekman (f), representa el efecto de rotación de la Tierra sobre el movimiento de los fluidos. El parámetro de coriolis (f) se define como:
[math]\color{white} ‘f= 2 Ω \sin ( \phi ) [/math]
Donde Ω es la velocidad angular de rotación de la Tierra (7.2921*10^-5 rad/(sg)^2) , y [math]\color{white} ( \phi [/math] es la latitud expresada en radianes.
Dada una latitud [math]\color{white} ( \phi [/math] de 45 N, que en radianes serían de [math]\color{white} ( \phi = \pi/4 rad [/math] sustituyendo en la ecuación anterior nos queda que:
[math] \color{white} “f = 2 \cdot 7.2921 \cdot 10 ^ { - 5 } \cdot \sin ( \pi / 4 ) = 1.031258 \cdot 10 ^ { - 4 } [/math]
Dependiendo del valor de [math]\color{white} ( \phi [/math], es decir , la latitud , el valor de [math]f [/math] será positivo , negativo o nulo según estemos en el hemisferio norte, el hemisferio sur o el ecuador.
- Para el hemisferio norte [math] (0^{\circ}\lt \phi \lt 90^{\circ}) [/math], el parámetro [math] f\gt0 [/math]
- Para el Ecuador [math] (\phi = 0^{\circ}) [/math], el parámetro [math] f=0 [/math]
- Para el hemisferio sur [math] (-90^{\circ}\lt \phi \lt 0^{\circ}) [/math], el parámetro [math] f\lt0 [/math]
Tal y como muestra la anterior imagen, en el hemisferio norte el efecto de coriolis va hacia la derecha del sentido de la dirección, mientras que en el hemisferio sur el efecto se produce hacia la izquierda de dicho sentido.
3 Valor de ϑ
θ es una fase inicial que depende de la dirección del viento, que a su vez está relacionada con la fuerza de coriolis. En la superficie, la dirección del flujo de agua se desvía θ Con respecto la dirección del viento.
[math]\color{white} ‘f= 2 Ω \sin ( \phi ) [/math]
[math] \color{white} “f = 2 \cdot 7.2921 \cdot 10 ^ { - 5 } \cdot \sin ( \pi / 4 ) = 1.031258 \cdot 10 ^ { - 4 } \gt 0 \rightarrow sgn(f) = 1 [/math]
[math] u ( z ) = s g n ( f ) \cdot v _ { 0 } e ^ { z / d _ { E } } . \cos ( \frac { z } { d _ { E } } + ϑ)[/math]
[math]v ( z ) = v _ { 0 } e ^ { \frac { z } {d _ { E }} } s e n ( \frac { z } { d _ { E } } + ϑ )[/math]
[math] \rightarrow z = 0 \rightarrow [/math][math] u( 0 ) = v _ { 0 } . \cos ( ϑ )[/math][math] \color{white} "v( 0 ) = v _ { 0 } . \sin ( ϑ )[/math]
Como el viento va de norte a sur, la fuerza de coriolis genera una corriente hacia el este entonces el flujo en la superficie se desviará π/4 rad en esa dirección .
Por lo tanto, [math] ϑ = \frac { 3 \pi} { 4 } [/math]
4 u(z) y v(z) como soluciones de la ecuaciones diferenciales de Ekman
En este apartado vamos a realizar la demostración analítica de que la ecuación de Ekman, admite como soluciones a u(z) y a v(z)
Partimos de los datos ya conocidos:
[math] u ( z ) =V _ { 0 } e ^ { z / d _ { E } } . \cos ( \frac { z } { d _ { E } } + ϑ ) [/math]
[math] v ( z ) = V_ { 0 } e ^ { \frac { z } {d _ { E }} } s e n ( \frac { z } { d _ { E } } + ϑ) [/math]
[math] \frac { d ^ { 2 } u } { d z ^ { 2 } } = - \frac { f } { v _ { e } } v [/math]
[math] \frac { d ^ { 2 } v } { d z ^ { 2 } } = \frac { f } { v _ { e } } u [/math]
En primer lugar, se calculan las primeras derivadas:
[math] \frac { d u } { d z } = V _ { 0 } \frac { 1 } { d_{E} } e ^ { \frac { z } { d_{E} } }( \cos ( \frac { z} { d_{E}} + ϑ ) - \sin ( \frac { z } { d_{E} } + ϑ ) ) [/math]
[math] \frac { d v} { d z } = V _ { 0 } \frac { 1 } { d_{E} } e ^ { \frac { z } { d_{E} } }( \sin ( \frac { z } { d_{E} } + ϑ ) + \cos ( \frac { z} { d_{E}} +ϑ )) [/math]
Para ahora calcular las segundas derivadas:
[math] \frac { d ^ { 2 } u } { d z ^ { 2 } } = \frac { -2 } { d {E}^ { 2 } } V _ { 0 } e ^ { \frac { z } { d{E} } } \sin ( \frac { z } { d _{E}} + ϑ) [/math]
[math] \frac { d ^ { 2 } v } { d z ^ { 2 } } = v _ { 0} \frac { 1 } { d_{E} }( \frac { 1 } { d_{E} } e ^ { \frac { z} { d_{E}} } ( 2 \cos ( \frac { z} { d_{E}} + ϑ ) )) = V_ { 0} \frac { 2 } { d_{E}^2 }e ^ { \frac { z} { d_{E}} } ( \cos ( \frac { z} { d_{E}} + ϑ )) [/math]
Aparte tenemos que [math] : d _ { E} = \sqrt { \frac { 2 v_ { e } } { | f | }} \rightarrow \frac { 2 } { d _ { E } ^ { 2 } } = \frac { | f| } { v _ { e } } [/math]
Igualamos cada derivada a su derivada de Ekman:
[math] \frac { d ^ { 2 } v } { d z ^ { 2 } } = v _ { 0} \frac { 1 } { d_{E} }( \frac { 1 } { d_{E} } e ^ { \frac { z} { d_{E}} } ( 2 \cos ( \frac { z} { d_{E}} + ϑ) ) = V_ { 0} \frac { 2 } { d_{E}^2 }e ^ { \frac { z} { d_{E}} } ( \cos ( \frac { z} { d_{E}} + ϑ ) )[/math], y sustituimos [math] d_{E} [/math] en la ecuación, quedándonos:
[math] \frac { d ^ { 2 } u } { d z ^ { 2 } } = - \frac { f } { v e } v \rightarrow \frac { f } { v e } = \frac { 2 } { d_ { E } ^ { 2 } } [/math] ahora se sustituye d_{E} confirmamos que se verifica [math]f = |f |[/math]
En la otra derivada pasará lo mismo:
[math] \frac { d ^ { 2 } v } { d z ^ { 2 } } = \frac { 2 } { d_{E}^2 } V_ { 0} e ^ { \frac { z} { d_{E}} } ( \cos ( \frac { z} { d_{E}} + ϑ )) =\frac { f } { v _ { e } }u [/math],
verificandose asi que u(z) y v(z)son soluciones validas de las derivadas parciales de Ekman [math] [/math] [math] [/math] [math] [/math]
5 Campo vectorial v en varios planos paralelos a la superficie del mar
En este ejercicio, se tiene como objetivo crear una animación en MATLAB que ilustre el comportamiento del campo vectorial v, en diversos planos paralelos a la superficie del mar. La animación abarca desde la superficie hasta la profundidad de Ekman. Al representar el campo vectorial en varios planos a diferentes profundidades, se busca visualizar cómo las corrientes oceánicas cambian en dirección y magnitud conforme se desciende desde la superficie hacia las profundidades. A lo largo de la animación, se mostrarán los vectores que describen el flujo en cada uno de los planos, pudiéndose observar la formación de la espiral de Ekman y la variación en la estructura de las corrientes a diferentes profundidades en el océano.
%% Apartado 5
clc;close all;clear;
omega = 7.2921e-5; % Velocidad angular de la Tierra (rad/s)
phi = 45; % Latitud en grados
V0 = 0.2; % Velocidad superficial inducida por el viento (m/s)
nu = 0.1; % Viscosidad turbulenta (m^2/s)
theta0 = 3*pi/4; % Ángulo inicial en radianes
% Calcular el parámetro de Coriolis f
f = 2 * omega * sind(phi);
% Calcular la profundidad de Ekman
delta = sqrt(2 * nu / abs(f));
z_max = 2 * delta; % Profundidad máxima para la animación
n_frames = 100; % Número de frames de la animación
z_vals = linspace(0, z_max, n_frames); % Valores de profundidad
[X, Y] = meshgrid(linspace(-1, 1, 7), linspace(-1, 1, 7)); % Malla para visualizar el campo vectorial
figure(1);
view(3)
%axis equal;
% Calcular las componentes de la velocidad
u_m = (f/abs(f))*V0 * exp(-z_vals / delta) .* cos(-z_vals / delta+theta0); % Componente u(z)
v_m = V0 * exp(-z_vals / delta) .* sin(-z_vals / delta+theta0); % Componente v(z)
plot3(u_m,v_m,-z_vals,'Color','r')
hold on
% Inicializar la animación
for k = 1:n_frames
z = z_vals(k); % Profundidad actual
u = u_m(k); % Componente u(z)
v = v_m(k); % Componente v(z)
% Calcular los campos vectoriales para este valor de z
quiver3(X, Y,-z*ones(size(X)), u * ones(size(X)), v * ones(size(Y)),zeros(size(X)), 'AutoScale', 'off', 'LineWidth', 1.5,'Color','b');
title(sprintf('Campo Vectorial de Ekman en z/d_E = %.2f', -z / delta));
xlim([-1.2 1.2]);
ylim([-1.2 1.2]);
zlim([-z_max 0])
% Pausa para actualizar la animación
pause(0.1);
%Reinicio grafica
cla
plot3(u_m,v_m,-z_vals,'Color','r')
xlabel('Oeste - Este (m)');
ylabel('Norte - Sur (m)');
zlabel('Profundidad (m)');
grid on
end
hold off
%%
figure(2);
view(3)
plot3(u_m,v_m,-z_vals,'Color','r')
hold on
% Inicializar la animación
for k = 1:n_frames
z = z_vals(k); % Profundidad actual
u = u_m(k); % Componente u(z)
v = v_m(k); % Componente v(z)
% Calcular los campos vectoriales para este valor de z
quiver3(X, Y,-z*ones(size(X)), u * ones(size(X)), v * ones(size(Y)),zeros(size(X)), 'AutoScale', 'off', 'LineWidth', 1.5,'Color','b');
title(sprintf('Campo Vectorial de Ekman en z/d_E = %.2f', -z / delta));
xlim([-1.2 1.2]);
ylim([-1.2 1.2]);
zlim([-z_max 0])
% Pausa para actualizar la animación
pause(0.1);
%Reinicio grafica
cla
plot3(u_m,v_m,-z_vals,'Color','r')
xlabel('Oeste - Este (m)');
ylabel('Norte - Sur (m)');
grid on
view([0 90])
end
hold off
6 Campo vectorial v
Este apartado, analiza la representación de un campo vectorial v evaluado en puntos de coordenadas cartesianas (0,0,𝑧)(a lo largo del eje vertical z), desde la superficie del mar hasta la profundidad de Ekman. La finalidad es visualizar la formación de la espiral de Ekman, que describe el patrón de circulación de las corrientes oceánicas debido a la acción del viento. A medida que se desciende en la columna de agua, el campo de velocidad cambia de dirección y magnitud, creando un perfil espiral en el cual los vectores de velocidad se representan en distintas capas de agua a lo largo del eje 𝑧. En este contexto, cada vector mostrado representa la dirección y la intensidad del flujo en una capa particular, permitiendo observar la transición desde las corrientes superficiales hasta las más profundas que componen la espiral de Ekman.
%% Apartado 6
clc;close all;clear;
omega = 7.2921e-5; % Velocidad angular de la Tierra (rad/s)
phi = 45; % Latitud en grados
V0 = 0.2; % Velocidad superficial inducida por el viento (m/s)
nu = 0.1; % Viscosidad turbulenta (m^2/s)
theta0 = 3*pi/4; % Ángulo inicial en radianes
% Calcular el parámetro de Coriolis f
f = 2 * omega * sind(phi);
% Calcular la profundidad de Ekman
delta = sqrt(2 * nu / abs(f));
% Parámetros de la simulación
z_max = 5 * delta; % Profundidad máxima para la animación (2 veces la profundidad de Ekman)
n_frames = 100; % Número de valores de profundidad
z_vals = linspace(0, z_max, n_frames); % Valores de profundidad
figure(1);
hold on;
view(3)
xlim([-0.3, 0.3]);
ylim([-0.3, 0.3]);
zlim([-z_max 0]);
xlabel('Este - Oeste (m)');
ylabel('Norte - Sur (m)');
u_m = (f/abs(f))*V0 * exp(-z_vals / delta) .* cos(-z_vals / delta+theta0); % Componente u(z)
v_m = V0 * exp(-z_vals / delta) .* sin(-z_vals / delta+theta0); % Componente v(z)
plot3(u_m,v_m,-z_vals,'Color','r')
hold on
% Inicializar la animación
for k = 1:n_frames
z = z_vals(k); % Profundidad actual
% Calcular las componentes de la velocidad
u = u_m(k); % Componente u(z)
v = v_m(k);% Componente v(z)
quiver3(u, v,-z, u, v,0, 'AutoScale', 'off', 'LineWidth', 0.5, 'Color', "b",'HandleVisibility', 'off');
title(sprintf('Campo Vectorial de Ekman'))
grid on
view([45 45])
end
7 Divergencia de v
El campo está definido por: [math]\overrightarrow {V} = u(z) \overrightarrow { i } + v(z) \overrightarrow { j }[/math]
Cuyas componentes son:
[math] u ( z ) = s g n ( f ) \cdot v _ { 0 } e ^ { z / d _ { E } } . \cos ( \frac { z } { d _ { E } } + ϑ)[/math]
[math]v ( z ) = v _ { 0 } e ^ { \frac { z } {d _ { E }} } s e n ( \frac { z } { d _ { E } } + ϑ )[/math]
Sustityendo [math] u [/math] y [math] v [/math] en la ecuación:
[math]{\overrightarrow{V}} =V _ { 0 } e ^ { \frac { z } { d_{E} } } \cos ( \frac { z } { d _{E} } + ϑ ) {\overrightarrow {i}} + V _ { 0 } e ^ { \frac { z } { d_ {E} }} \sin ( \frac { z } { d_{E} } + ϑ ) {\overrightarrow{ j}}[/math].
A continuación, calculamos las derivadas, que solo dependen de la profundidad, entonces la divergencia queda:
[math]\nabla\overline { V } = \frac { d u } { d x } + \frac { d v } { d y } = 0[/math]
Que la divergencia sea nula significa que el flujo horizontal de Ekman es incompresible y continuo.
8 Rotacional de v
El rotacional de la espiral de Ekman, describe el giro del flujo dentro de la capa de Ekman, debido a la combinación de la fricción y la fuerza de Coriolis. El rotacional mide la circulación del flujo por unidad de área, es importante para entender cómo el transporte dentro de la capa de Ekman influye en procesos más grandes, como la formación de vórtices o las corrientes oceánicas. En la espiral de Ekman, el flujo horizontal tiene componentes en las direcciones [math] x [/math] e [math] y [/math]:
[math]\overrightarrow { U} = u(z) \overrightarrow { i } + v(z) \overrightarrow { j }[/math],
El transporte neto de masa en la capa de Ekman, se orienta perpendicularmente al viento en la superficie, debido al equilibrio entre la fuerza de Coriolis y la fricción.
El rotacional de un campo de velocidad en tres dimensiones es:
En el caso de la espiral de Ekman, donde asumimos un flujo horizontal [math](\vec u_z = 0)[/math] y homogéneo en las direcciones horizontales. Esto significa que:
1. La variación del componente [math] v [/math] con la profundidad genera una rotación en la dirección x.
2. La variación del componente [math] u [/math] con la profundidad genera una rotación en la dirección y.
El rotacional global será tridimensional, pero su componente dominante estará vinculado al gradiente de velocidad en la profundidad.
"C:\Users\Home\OneDrive\Documentos\Caminos 2\teoria de campos\rotacionalbajada.fig"
A continuación, se adjunta un programa de Matlab que representa el rotacional en varios planos paralelos, desde la superficie del mar hasta la profundidad de Ekman:
%% Apartado 8
clc;close all;clear;
omega = 7.2921e-5; % Velocidad angular de la Tierra (rad/s)
phi = 45; % Latitud en grados
V0 = 0.2; % Velocidad superficial inducida por el viento (m/s)
nu = 0.1; % Viscosidad turbulenta (m^2/s)
theta0 = 3*pi/4; % Ángulo inicial en radianes
% Calcular el parámetro de Coriolis f
f = 2 * omega * sind(phi);
% Calcular la profundidad de Ekman
delta = sqrt(2 * nu / abs(f));
z_max = 2 * delta; % Profundidad máxima para la animación
n_frames = 100; % Número de frames de la animación
z_vals = linspace(0, z_max, n_frames); % Valores de profundidad
[X, Y] = meshgrid(linspace(-0.1, 0.1, 15), linspace(-0.1, 0.1, 15)); % Malla para visualizar el campo vectorial
figure(1);
view(3)
% Inicializar la animación
for k = 1:n_frames
z = z_vals(k); % Profundidad actual
% Derivadas de u(z) y v(z) con respecto a z
du_dz = (f/abs(f)) * V0 * exp(-z / delta) * ...
(-1 / delta * cos(theta0 - z / delta) + 1 / delta * sin(theta0 - z / delta));
dv_dz = V0 * exp(-z / delta) * ...
(-1 / delta * cos(theta0 - z / delta) + 1 / delta * sin(theta0 - z / delta));
% Calcular los campos vectoriales para este valor de z
quiver3(X, Y,-z*ones(size(X)), -dv_dz * ones(size(X)), du_dz * ones(size(Y)),zeros(size(X)), 'AutoScale', 'off', 'LineWidth', 1.5,'Color','b');
title(sprintf('Rotacional de la velocidad en z/d_E = %.2f', -z / delta));
xlabel('Este (m)');
ylabel('Norte (m)');
xlim([-0.12 0.12]);
ylim([-0.12 0.12]);
zlim([-z_max 0])
% Pausa para actualizar la animación
pause(0.1);
end
%%
figure(2);
grid on
% Inicializar la animación
for k = 1:n_frames
z = z_vals(k); % Profundidad actual
% Derivadas de u(z) y v(z) con respecto a z
du_dz = (f/abs(f)) * V0 * exp(-z / delta) * ...
(-1 / delta * cos(theta0 - z / delta) + 1 / delta * sin(theta0 - z / delta));
dv_dz = V0 * exp(-z / delta) * ...
(-1 / delta * cos(theta0 - z / delta) + 1 / delta * sin(theta0 - z / delta));
% Calcular los campos vectoriales para este valor de z
quiver3(X, Y,-z*ones(size(X)), -dv_dz * ones(size(X)), du_dz * ones(size(Y)),zeros(size(X)), 'AutoScale', 'off', 'LineWidth', 1.5,'Color','b');
view([0 90])
title(sprintf('Rotacional de la velocidad en z/d_E = %.2f', -z / delta));
xlabel('Este (m)');
ylabel('Norte (m)');
xlim([-0.12 0.12]);
ylim([-0.12 0.12]);
zlim([-z_max 0])
% Pausa para actualizar la animación
pause(0.1);
end
9 Flujo neto de v a través de la pared
En este contexto, se analiza una pared de agua orientada perpendicular a un vector genérico [math] \overrightarrow{n}= cos(α)i+ sen(α)j [/math], con orientación dependiente de α, donde: [math] \alpha \in [0, 2\pi) [/math]. La pared se extiende desde la superficie del océano [math] (z = 0) [/math], hasta una profundidad teóricamente infinita [math](z = -\infty)[/math].
El objetivo, es calcular analíticamente el flujo neto del campo de velocidad [math] \overrightarrow{v} [/math] a través de esta pared y demostrar que dicho flujo se dirige hacia el oeste, perpendicular al viento predominante. Este resultado es una confirmación teórica del transporte de Ekman, que predice que el movimiento neto en la capa superficial tiene una orientación perpendicular a la dirección del viento. Utilizamos para ello la fórmula del flujo conociendo el campo vectorial y un vector perpendicular a la superficie, que se denota como: [math]\Phi = \int_{-\infty}^0 \int_0^L ({v}\cdot n) \, dx \, dz,[/math]
Donde: [math] {v} = u(z) \overrightarrow{i} + \overrightarrow v(z) j [/math] [math] {n} = \cos\alpha \overrightarrow{i} + \sin\alpha \overrightarrow{j} . [/math]
Entonces el producto escalar sería:
[math] \overrightarrow{v} \cdot \overrightarrow{n}= u(z) \cos\alpha + v(z) \sin\alpha. [/math]
[math] \overrightarrow{v} \cdot \overrightarrow{n}= V_0 e^{z/d_E} \left[ \cos\alpha \cos\left(\frac{z}{d_E} + \vartheta\right) + \sin\alpha \sin\left(\frac{z}{d_E} + \vartheta\right) \right].[/math]
Usando la siguiente intentidad trigonométrica para simplificar: [math] \cos(A - B) = \cos A \cos B + \sin A \sin B \implies \quad \implies \quad \overrightarrow{v} \cdot \overrightarrow{n}= V_0 e^{z/d_E} \cos\left(\frac{z}{d_E} + \vartheta - \alpha \right). [/math] Ahora la integral a resolver para hallar el flujo sería: [math] \Phi = \int_{0}^L \int_{-\infty}^0 V_0 e^{\frac{z}{d_E}} \cos\left(\frac{z}{d_E} + ϑ - \alpha\right) dz dx [/math]
Resolvemos la parte [math] dx [/math]: [math] \Phi = L \int_{-\infty}^0 V_0 e^{\frac{z}{d_E}} \cos\left(\frac{z}{d_E} + ϑ - \alpha\right) dz [/math]
Para resolver lo que queda de integral usaremos la integración por partes:
[math] \int u \, dv = uv - \int v \, du [/math]
[math] u = \cos\left(\frac{z}{d_E} + ϑ - \alpha\right), \quad \implies \quad du = -\frac{1}{d_E} \sin\left(\frac{z}{d_E} + ϑ - \alpha\right) dz [/math]
[math]dv = e^{\frac{z}{d_E}} dz \implies \quad v = d_E e^{\frac{z}{d_E}} [/math]
Aplicamos la integración por partes: [math] \Phi = L V_0 \left[ d_E e^{\frac{z}{d_E}} \cos\left(\frac{z}{d_E} + ϑ - \alpha\right) - \int d_E e^{\frac{z}{d_E}} \left(-\frac{1}{d_E} \sin\left(\frac{z}{d_E} + ϑ -\alpha\right)\right) dz \right] [/math]
Si simplificamos: [math]\implies \quad \Phi = L V_0 \left[ d_E e^{\frac{z}{d_E}} \cos\left(\frac{z}{d_E} + ϑ - \alpha\right) + \int e^{\frac{z}{d_E}} \sin\left(\frac{z}{d_E} + ϑ - \alpha\right) dz \right] [/math]
Ahora nos queda otra integral, [math] I_2 = \int e^{\frac{z}{d_E}} \sin\left(\frac{z}{d_E} + ϑ - \alpha\right) dz [/math]
Utilizando integral por partes otra vez [math] I_2 = d_E e^{\frac{z}{d_E}} \sin\left(\frac{z}{d_E} + ϑ - \alpha\right) - \int d_E e^{\frac{z}{d_E}} \frac{1}{d_E} \cos\left(\frac{z}{d_E} + ϑ - \alpha\right) dz[/math]
[math] I_2 = d_E e^{\frac{z}{d_E}} \sin\left(\frac{z}{d_E} + ϑ - \alpha\right) - \int e^{\frac{z}{d_E}} \cos\left(\frac{z}{d_E} + ϑ - \alpha\right) dz [/math]
Observamos que Ia última integral es el término original. Solo queda resolver el sistema:
[math] I_2 = d_E e^{\frac{z}{d_E}} \sin\left(\frac{z}{d_E} + ϑ - \alpha\right) - I \implies \quad [/math] Esta la sustituimos en [math]\implies \quad \Phi [/math]
[math] \Phi = L V_0 \left[ d_E e^{\frac{z}{d_E}} \cos\left(\frac{z}{d_E} + ϑ - \alpha\right) + d_E e^{\frac{z}{d_E}} \sin\left(\frac{z}{d_E} + ϑ - \alpha\right) - I \right] [/math]
Como [math] \Phi=I = \int_{-\infty}^0 e^{\frac{z}{d_E}} \cos\left(\frac{z}{d_E} + ϑ - \alpha\right) dz [/math]
Entonces [math] 2I =V_{0} d_E e^{\frac{z}{d_E}} \cos\left(\frac{z}{d_E} + ϑ - \alpha\right) + d_E e^{\frac{z}{d_E}} \sin\left(\frac{z}{d_E} + ϑ - \alpha\right)[/math]
Solo nos queda evaluar la integral entre [math] z=-\infty [/math] y [math] z=0 [/math] Al evaluar,para [math] z =0 \implies \quad e^{\frac{z}{d_E}} = 1, \quad \cos\left(\frac{z}{d_E} + ϑ - \alpha\right) = \cos(ϑ - \alpha), \quad \sin\left(\frac{z}{d_E} + ϑ - \alpha\right) = \sin(ϑ - \alpha) [/math]
Y para [math] z =-\infty [/math] todos los [math] e^{\frac{z}{d_E}} \to 0 [/math] entonces se anulan
Entonces el flujo nos quedaría:
[math] \Phi = L V_0 d_E \left[ \cos(ϑ - \alpha) + \sin(ϑ - \alpha) - \frac{1}{2} \left(\cos(ϑ - \alpha) + \sin(ϑ - \alpha)\right) \right] [/math]
[math] \Phi = \frac{L V_0 d_E}{2} \left[\cos(ϑ - \alpha) + \sin(ϑ - \alpha)\right] [/math]
El flujo de Ekman se dirige hacia el oeste debido a la interacción del viento la fuerza de Coriolis, perpendicular al viento, confirmando el transporte de Ekman
10 La espiral de Ekman en coordenadas cilíndricas
la parametrización de la curva en cartesianas es [math]\gamma ( t ) = ( u ( z ) , v ( z ) , z )[/math]
Primero pasaremos esta parametrizacion en cartesianas a cilindricas, para ello tenemos que:
[math] \rho= \sqrt { u ( z ) ^ { 2 } + v ( z ) ^ { 2 } }[/math];
[math]\theta= a r c t g ( \frac { v ( z ) } { u( z ) } ) \rightarrow \theta = arctan ( tan ( \frac { z } { d _{E} } + ϑ))[/math]
[math]\ z = z[/math]
ahora sustituimos, [math] u ( z ) = s g n ( f ) \cdot v _ { 0 } e ^ { z / d _ { E } } . \cos ( \frac { z } { d _ { E } } + ϑ )[/math] y [math]v ( z ) = v _ { 0 } e ^ { \frac { z } {d _ { E }} } s e n ( \frac { z } { d _ { E } } + ϑ )[/math] , de tal manera que
[math] \rho = \sqrt { ( v_{0} e ^ {z / d_{E} }) ^ { 2 } [ c o s ^ { 2 } ( \frac { z } { d _{E} } + ϑ ) + s e n ^ { 2 } ( \frac { z } { d _{E}} + ϑ ) ] } = v_{0} e ^ {z / d_{E} } [/math]
[math]\ \theta = a r c t g ( \frac { s e n ( \frac { z } { d _{E} } + ϑ ) } { \cos ( \frac { z } { d _{E} } + ϑ ) } ) = \frac { z } { d _{E} } + ϑ[/math]
asi pues la parametrización en cilindricas queda como: [math] \gamma( z ) = ( V _ { 0 } e ^ { z / d _{E} } , \frac { z } { d_{E} } + v , z ) , z \leq 0[/math]
% Parámetros
V0=0.2;
visc=0.1;
phi=pi/4;
omega=7.2921e-5;
f=2*omega*sin(phi);
dE=sqrt(2*visc/abs(f));
theta=-3*pi/4;
% Profundidades hasta tres veces la profundidad de Ekman
zvals=linspace(0,-3*dE,34);
figure;
hold on;
% Matrices inciales
uvals=zeros(size(zvals));
vvals=zeros(size(zvals));
% Calcular valores y graficar
for i=1:length(zvals)
z=zvals(i);
% Calcular valores
uvals(i)=sign(f)*V0*exp(z/dE)*cos((z/dE)+theta);
vvals(i)=V0*exp(z/dE)*sin((z/dE)+theta);
end
% Espiral de Ekman
plot3(uvals,vvals,zvals,'r-','LineWidth',2);
title('espiral de Ekman');
view(3); % Vista 3D
axis([-0.20, 0.15, -0.20, 0.15, -3*dE, 0]);
xlabel('Componente Este (u)');
ylabel('Componente Norte (v)');
zlabel('Profundidad (z)');
grid on;
hold off;
[math][/math]
[math][/math]
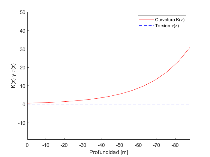
11 Curvatura y la torsión de la espiral de Ekman
La curvatura y la torsión son conceptos muy útiles para entender el comportamiento de la espiral de Ekman. La curvatura mide cuanto cambia la dirección de la trayectoria en cada punto. La torsión mide cuanto cambia el plano de curvatura a lo largo que nos movemos sobre esta, refleja la tridimensionalidad de la espiral.
Matemáticamente la curvatura [math] (\kappa (z))[/math]
y la torsión[math] \tau (z)[/math]
se definen como:
[math] \tau (z)=\frac{\left [ \vec{v}(z),\vec{a}(z),{\vec{a}}'(z) \right ]}{\left|\vec{v}(z)\times \vec{a}(z) \right|^{2}} [/math]
[math] \kappa (z)=\frac{\left|\vec{v}(z)\times \vec{a}(z) \right|}{\left|\vec{v}(z) \right|^{3}} [/math]
%% Apartado 10
clc;close all;clear;
omega = 7.2921e-5; % Velocidad angular de la Tierra (rad/s)
phi = 45; % Latitud en grados
V0 = 0.2; % Velocidad superficial inducida por el viento (m/s)
nu = 0.1; % Viscosidad turbulenta (m^2/s)
theta0 = 3*pi/4; % Ángulo inicial en radianes
% Calcular el parámetro de Coriolis f
f = 2 * omega * sind(phi);
% Calcular la profundidad de Ekman
delta = sqrt(2 * nu / abs(f));
% Parámetros de la simulación
z_max = 2 * delta; % Profundidad máxima para la animación (2 veces la profundidad de Ekman)
n_frames = 15; % Número de valores de profundidad
z_vals = linspace(0, z_max, n_frames); % Valores de profundidad
figure(1);
hold on;
axis equal;
% xlim([-0.5, 0.5]);
% ylim([-0.5, 0.5]);
K = zeros(1,n_frames);
Tau = zeros(1,n_frames);
% Inicializar la animación
for k = 1:n_frames
z = z_vals(k); % Profundidad actual
% Calcular las componentes de la velocidad
u = (f/abs(f)) * V0 * exp(-z / delta) * cos(-z / delta+theta0); % Componente u(z)
v= V0 * exp(-z / delta) * sin(-z / delta+theta0); % Componente v(z)
K(k) = (1/delta)*1/(V0*exp(-z/delta))^2;
Tau(k) = 0;
end
plot(-z_vals,K,'Color','r','DisplayName','Curvatura K(z)')
plot(-z_vals,Tau, 'LineStyle','--','Color','b','DisplayName','Torsion \tau(z)')
xlabel('Profundidad [m]');
ylabel('K(z) y \tau(z)');
set(gca, 'XDir', 'reverse')
legend()
12 Triedro de Frenet a lo largo de la espiral
El triédro de Frenet es un concepto utilizado en geometría diferencial para describir el movimiento de una curva en el espacio tridimensional. Se compone de tres vectores: el vector tangente, el vector normal y el vector binormal. En el estudio de la espiral de Ekman, que describe el movimiento del agua en la capa superficial del océano debido a la acción del viento y la rotación de la Tierra, el triédro de Frenet puede ser útil para analizar la trayectoria de las partículas de agua.
1. Vector Tangente (T): Este vector indica la dirección de la curva en un punto dado. En la espiral de Ekman, el vector tangente representaría la dirección del flujo del agua en un punto específico de la espiral.
2. Vector Normal (N): Este vector es perpendicular al vector tangente y apunta hacia la dirección en la que la curva está "girando". En la espiral de Ekman, el vector normal podría ayudar a entender cómo cambia la dirección del flujo a medida que se avanza en la espiral.
3. Vector Binormal (B): Este vector es perpendicular tanto al vector tangente como al vector normal. En el caso de la espiral de Ekman, el vector binormal puede no tener un significado físico directo, pero es parte de la estructura del triédro de Frenet.
%% Apartado 12
clc;close all;clear;
omega = 7.2921e-5; % Velocidad angular de la Tierra (rad/s)
phi = 45; % Latitud en grados
V0 = 0.2; % Velocidad superficial inducida por el viento (m/s)
nu = 0.1; % Viscosidad turbulenta (m^2/s)
theta0 = 3*pi/4; % Ángulo inicial en radianes
% Calcular el parámetro de Coriolis f
f = 2 * omega * sind(phi);
% Calcular la profundidad de Ekman
delta = sqrt(2 * nu / abs(f));
% Parámetros de la simulación
z_max = 15 * delta; % Profundidad máxima para la animación
n_frames = 100; % Número de frames de la animación
z_vals = linspace(0,z_max, n_frames); % Valores de profundidad (z < 0)
u_m = (f/abs(f))*V0 * exp(-z_vals / delta) .* cos(-z_vals / delta+theta0); % Componente u(z)
v_m = V0 * exp(-z_vals / delta) .* sin(-z_vals / delta+theta0); % Componente v(z)
% Calcular las componentes de la velocidad
r = u_m.^2+v_m.^2; % Componente radial de la velocidad
theta = atan2(v_m,u_m); % Componente angular de la velocidad
% Convertir de coordenadas cilíndricas a cartesianas para graficar
x = r .* cos(theta);
y = r .* sin(theta);
% Graficar el campo vectorial en coordenadas cilíndricas
figure(1);
plot3(x,y,-z_vals,'LineWidth',1.5)
xlabel('r (m)');
ylabel('θ (radianes)');
zlabel('Profundidad (m)');
title('Campo Vectorial de Ekman en Coordenadas Cilíndricas con el triedro de Frenet');
set(gca,'XDir','reverse')
grid on
view(3)
hold on
for i =1:size(z_vals,2)
%Vectores Frenet
%T: tangente
T = [cos(theta(i)),sin(theta(i)),0];
%N: Normal
N = [-sin(theta(i)), cos(theta(i)), 0]; %Perpendicular a T
%B: Binormal
B = [0, 0, 1]; % Binormal apunta hacia el eje z
% Punto espiral
plot3(x(i), y(i), -z_vals(i), 'ko', 'MarkerSize', 5, 'MarkerFaceColor', 'k');
% Vectores del triedro
quiver3(x(i), y(i), -z_vals(i), T(1), T(2), T(3),0.01 , 'r', 'LineWidth', 1.5, 'MaxHeadSize', 0.5); % Tangente
quiver3(x(i), y(i),-z_vals(i), N(1), N(2), N(3),0.01 , 'g', 'LineWidth', 1.5, 'MaxHeadSize', 0.5); % Normal
quiver3(x(i), y(i), -z_vals(i), B(1), B(2), B(3),0.01,'y', 'LineWidth', 1.5, 'MaxHeadSize', 0.5); % Binormal
pause(0.1)
%Actualizar figura
cla
plot3(x,y,-z_vals,'LineWidth',1.5)
xlabel('r (m)');
ylabel('θ (radianes)');
zlabel('Profundidad (m)');
title('Campo Vectorial de Ekman en Coordenadas Cilíndricas con el triedro de Frenet');
set(gca,'XDir','reverse')
grid on
view(3)
hold on
%xlim([-0.5 0.5])
%ylim([-0.1 0.1])
zlim([-z_max 0])
end
13 Aplicaciones de esta curva en ingeniería
El conocimiento de la espiral de Ekman, y en general de las curvas logarítmicas producidas por fenómenos naturales, han supuesto un gran avance, en el diseño y la optimización, en infinidad de proyectos ingeniería, de ámbitos muy diversos. Algunas de estas aplicaciones, las podemos ver en:
Ingeniería Oceánica y Marítima
-Rutas de navegación: Permite optimizar rutas marítimas considerando las corrientes superficiales y subsuperficiales que afectan el movimiento de embarcaciones.
-Predicción de derivas: Ayuda a modelar el movimiento de derrames de petróleo, plásticos y otros contaminantes en el océano.
-Turbinas eólicas y acuáticas: El diseño de las palas de turbinas se basa en perfiles aerodinámicos que, en algunos casos, adoptan configuraciones espirales logarítmicas para maximizar la eficiencia energética y reducir las turbulencias.
-Hélices marinas: En ingeniería naval, se utiliza la espiral logarítmica para diseñar hélices optimizadas que reducen el consumo de energía y mejoran la eficiencia propulsiva.
Ingeniería Hidráulica
-Diseño de obras costeras: Ayuda a prever cómo las corrientes afectan la sedimentación y erosión en costas y estructuras como espigones o rompeolas.
-Gestión de puertos y canales: Permite evaluar el transporte de sedimentos y cómo las corrientes influyen en la navegación en puertos y canales.
-Desvío de flujos: Las estructuras inspiradas en la espiral logarítmica se implementan para desviar flujos de agua o aire, como en las entradas de aire de motores a reacción o en los sistemas de ventilación eficientes.
-Diseño de canales y turbinas hidráulicas: En canales curvados y turbinas hidráulicas, las geometrías espirales logarítmicas contribuyen a una distribución uniforme del flujo y minimizan las pérdidas por fricción.
Arquitectura y estructuras
-En ingeniería civil y arquitectura, la espiral logarítmica se utiliza en el diseño de rampas helicoidales, escaleras y estructuras en espiral, ya que ofrecen un equilibrio entre estética, estabilidad y funcionalidad. Ejemplo: Rampas en estacionamientos o accesos para personas con movilidad reducida.
-Cúpulas y techos: Los patrones espirales se utilizan para mejorar la distribución de cargas en estructuras como cúpulas o techos arquitectónicos.
Energía renovable: Generación en sistemas solares
-Diseño de paneles solares: La disposición en espiral logarítmica de paneles solares en campos fotovoltaicos permite una captación eficiente de luz, maximizando la exposición en diferentes momentos del día.
-Sistemas de concentración solar: Los espejos concentradores en espiral logarítmica optimizan el enfoque de la luz solar hacia los receptores térmicos.
Aeroespacial y astrofísica
-Diseño de sistemas de transporte aéreo: Aunque originalmente la espiral de Ekman se aplica a fluidos líquidos, conceptos similares son relevantes en la atmósfera para entender patrones de vientos y turbulencias.
-Estudio de la dispersión atmosférica: Permite modelar cómo se dispersan contaminantes en la atmósfera, apoyando en el diseño de sistemas de mitigación.
-Trayectorias orbitales y lanzamiento de cohetes: En ingeniería aeroespacial, las trayectorias de ciertos cohetes o sondas pueden planificarse siguiendo curvas logarítmicas para optimizar el consumo de combustible y minimizar tensiones estructurales.
-Diseño de satélites: Algunas antenas de los satélites adoptan configuraciones en espiral logarítmica para una mejor cobertura direccional.
Sistemas de evacuación y seguridad
-Diseño de túneles: Los túneles de evacuación o de transporte en espiral aseguran un flujo controlado de personas o vehículos, evitando aglomeraciones y manteniendo la eficiencia en emergencias.
14 Bibliografia
- https://oceanservice.noaa.gov/education/tutorial_currents/media/supp_cur04e.html
- https://www.divulgameteo.es/fotos/meteoroteca/Din%C3%A1mica-espiral-Ekman.pdf
- https://es.wikipedia.org/wiki/Espiral_de_Ekman
- https://espanol.libretexts.org/Geociencias/Sedimentolog%C3%ADa/Libro%3A_Introducci%C3%B3n_a_los_Movimientos_de_Fluidos_y_Transporte_de_Sedimentos_(Southard)/07%3A_Flujo_en_Entornos_Rotativos/7.04%3A_La_Espiral_de_Ekman





