Lógistica con umbral (Grupo 18)
| Trabajo realizado por estudiantes | |
|---|---|
| Título | Logistica con umbral. Grupo 18-C/D |
| Asignatura | Ecuaciones Diferenciales |
| Curso | Curso 2014-15 |
| Autores | Gonzalo Ucar Lopez-Monis 1638
Alvaro Solís Gonzalez 1628 Luis Moreno Fernandez de Soria 1348 Fabio Torres Salas 1635 Eduardo Rodríguez Ubeda 1620 |
| Este artículo ha sido escrito por estudiantes como parte de su evaluación en la asignatura | |
1 Introducción
En este trabajo se estudiarán dos problemas, el primero de ellos sobre dinámica de poblaciones y en el segundo se estudiará los diferentes modelos de competencia entre dos especies que cohabitan en un mismo ecosistema.
Para llevar acabo esta labor nos hemos usado como herramientas las ecuaciones difenciales, así como del programa de matemática computacional Matlab, para obtener una representación gráfica de las soluciones.
2 Problema de valor inicial
Esta es la ecuación que se estudia en este problema:
2.1 Resolución numérica
Para la resolución numérica de este problema vamos a implementar con Matlab los métodos de Euler, Heun y Runge-Kutta de grado cuatro, ambos tres con diferente tamaño de paso: 1; 0.1; 0.01 de tal modo que podremos observar tanto las diferencias entre los diferentes métodos, como de la precisión conseguida con los diferentes tamaños de paso y ver cual seria el método óptimo.
clear all
%DATOS DEL PROBLEMA
%Intervalo de tiempo [0,100].
t0=0;tN=100;
%Población inicial
y0=input('introduzca poblacion inicial');
%Se ejecutarán los 3 métodos con tres tamaños de paso: h=1,0.1,0.01 viendo asi como cambia la precisión
%Tamaño de paso
h=input('Introduce tamaño de paso:');
%Nodos
N=(tN-t0)/h;
%Constantes de la ecuación logística.
%r:constante de crecimiento
%M1:umbral
%M2: población cuando el tiempo tiende a infinito
r=0.04;M1=30;M2=100;
%Discretizacion del tiempo.
t=t0:h:tN;
%Condición inicial.
E=zeros(1,N+1);E(1)=y0; %Euler
HE=zeros(1,N+1);HE(1)=y0; %Heun
R=zeros(1,N+1); R(1)=y0; %Runge-Kutta
for i=1:N
%Método Euler:
E(i+1)=E(i)+h*((-r*R(i))*(1-R(i)/M1)*(1-R(i)/M2));
%Método de Heun:
Kh1=-r*HE(i)*(1-HE(i)/M1)*(1-HE(i)/M2);
Kh2=-r*(HE(i)+Kh1*h)*(1-((HE(i)+Kh1*h)/M1))*(1-((HE(i)+Kh1*h)/M2));
HE(i+1)= HE(i)+h/2*(Kh1+Kh2);
%Método Runge-Kutta:
K1=-r*R(i)*(1-R(i)/M1)*(1-R(i)/M2);
K2=-r*(R(i)+1/2*K1*h)*(1-((R(i)+1/2*K1*h)/M1))*(1-((R(i)+1/2*K1*h)/M2));
K3=-r*(R(i)+1/2*K2*h)*(1-((R(i)+1/2*K2*h)/M1))*(1-((R(i)+1/2*K2*h)/M2));
K4=-r*(R(i)+K3*h)*(1-((R(i)+K3*h)/M1))*(1-((R(i)+K3*h)/M2));
R(i+1)= R(i)+h/6*(K1+2*K2+2*K3+K4);
end
%Ahora dibujamos las gráficas resultantes:
hold on %Para mostrar todas las gráfcas a la vez
plot(t,E,'k')
plot(t,HE,'r')
plot(t,R,'g')
hold off
legend('EULER','HEUN','RUNGE-KUTTA','location','best')
format long
%Máximo error entre métodos (2 a 2)
C1=max(abs(R-E)) %Runge-Kutta y Euler
C2=max(abs(E-HE)) %Euler y Heun
C3=max(abs(HE-R)) %Heun y Runge-Kutta
2.2 Interpretación Numérica
Se aprecia que con tamaño de paso h=1 existe una leve diferencia entre los métodos de Runge-kutta y Heun frente al método de Euler, mientras que según vamos disminuyendo el tamaño de paso las diferencias entre los diferentes métodos disminuyen de manera sustancial, aún así se percibe que los métodos de Runge-Kutta y Heun siguen siendo mas precisos que el de Euler ya que los dos primeros son de orden 4 y 2 respectivamente y Euler de orden 1, por lo tanto se deduce que a mayor orden mayor precisión .
2.3 Interpretación según la dinámica de poblaciones
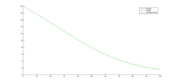
Analizando el problema de valor inicial desde el punto de vista de la dinámica de poblaciones podemos observar que con una población inicial de 60 millones de individuos, el ecosistema (el planeta Tierra por ejemplo) es capaz de aceptar una mayor población, por lo que la especie empieza a crecer de manera exponencial pues no encuentra ningún tipo de obstáculo tales como una guerra, una enfermedad o una época de sequía y escasez que impidan un óptimo desarrollo, este crecimiento continúa teniendo un carácter exponencial hasta que la población se aproxima a los 100 millones de individuos, nivel sobre el cual la población se estabiliza, esto se debe a que todo ecosistema tiene un número limitado de recursos naturales necesarios para la supervivencia de los individuos ya existente; al ser este numero de recursos naturales una cantidad finita, la población (numero de individuos) que este puede sostener también lo va a ser; por lo tanto por mucho que avancemos en el tiempo la población nunca va a superar el umbral de los 100 millones de individuos , exisistiendo por tanto una asíntota en 100 millones.
Paso 0,1 ; y0 = 60
Paso 0,1 ; y0 = 60; ampliacion1
Paso 0,1 ; y0 = 60; ampliacion2 (Heun vs Runge-Kutta)
2.4 Interpretación del problema con una población inicial de 120 millones
Se observa que al ser la población inicial de 120 millones de individuos,esta está avocada la reducción del número de ejemplares de la especie de una manera drástica reduciéndose la población en 20 millones en poco mas de 20 años, esto se debe a que el ecosistema no puede proveer a la especie de los recursos suficientes para la subsistencia de todos los miembros, por lo que si no pueden cubrir sus necesidades básicas de comida, por ejemplo, van a sufrir una desnutrición la cual impide que se reproduzcan ya que esto supondría un gasto extra de recursos los cuales no poseen, pero aparte convierte a los miembros ya existentes en mas vulnerables a enfermedades por lo que su esperanza de vida se ve reducida, así que, como no hay nuevos miembros que hagan aumentar el numero de cabezas y las ya existentes van muriendo la población se va a reducir hasta el limite que el ecosistema permita mantener con garantías de salud en este caso 100 millones.
En conclusión, si la población supera el umbral de los 100 millones de individuos esta va a tender a reducirse hasta llegar a los 100 millones pues es el limite máximo de individuos que puede soportar el ecosistema.
y0=120; h=1
y0=120;ampliacion1; h=1
y0=120;ampliacion2; h=1
La población inicial son 120 millones al esta por encima del número de individuos ideal de la especie, tenderá a alcanzar esa cantidad y estabilizarse en 100 millones.
2.5 Interpretación del problema con una población inicial de 20 millones
En este caso nos percatamos que la especie se extingue, esto se debe a que esta especie necesita como mínimo 30 millones de individuos para poder asegurar su continuidad en el tiempo. La extinción de esta especie se debe a que con menos de 30 millones de individuos no pueden desarrollar todas las actividades básicas para la subsistencia de la misma, por ejemplo con menos de 30 millones de individuos no son capaces de desarrollar la tecnología necesaria para así poder construir embalses que permitan tener unas reservas estables de agua, para así no tener que depender de las lluvias momentáneas, creándose con ello una estabilidad en las condiciones de vida haciéndolas propicias para que el número de individuos siga aumentando, lo que lleva a la reducción del número de individuos y finalmente a su extinción.
y0=20; h=1
Como se puede observar con una población inicial de 20 millones de individuos la especie se extingue en aproximadamente 100 años.
y0=20; h=1;Ampliacion1.
y0=20; h=1; Ampliacion2.
Se observa, de la comparación de las dos ultimas gráficas, que la diferencia entre los métodos de Heun y Runge-Kutta frente al de Euler permanece estable en el tiempo.
La población inicial son 20 millones, al estar por debajo del umbral de los 30 millones tiende a extinguirse la especie.
3 Modelos de Competencia
3.1 Introducción
El problema no lineal viene a interpretar la forma de dos especies de evolucionar en el tiempo dependiendo de distintos factores que las pueden relacionar, ya sean alimentos,espacio...pudiendo llegar a competir por ellos. A este se le llama modelo de competencia logistica y esta representado por el sistema de ecuaciones diferenciales siguiente:
x'=a1x-b1x^2-c1xy
y'=a2y-b2y^2-c2xy
Ambas especies crecen o decrecen dependiendo de las constantes que pongamos y estas interaccionan entre si por el factor xy de la ecuación ( competencia entre ambas ), si las constantes c1 o c2 son nulas representa que no hay correlación entre las especies o que una influye sobre la otra y la otra no. Las constantes a1,a2,b1,b2 simbolizan en cada ecuación el crecimiento que tendría dicha especie por si misma.
3.2 Código
% modelo de competencia logistica
clear all, clf
a1=input('Introduce un valor para a1');
a2=input('Introduce un valor para a2');
b1=input('Introduce un valor para b1');
b2=input('Introduce un valor para b2');
c1=input('Introduce un valor para c1');
c2=input('Introduce un valor para c2');
t0=0 ;
tN=input('Introduce un valor para t final');
x0=2;
y0=7;
h=input('Introduce la distacncia de paso');
% definimos la variable independiente
t=t0:h:tN;
N=round((tN-t0)/h); %número de subintervalos
x=zeros(1,N+1); %Euler
x(1)=x0;
y=zeros(1,N+1);
y(1)=y0;
w=zeros(1,N+1); %Heun
w(1)=x0;
z=zeros(1,N+1);
z(1)=y0;
for i=1:N
%Euler
x(i+1)=x(i)+h*(a1*x(i)-b1*x(i)^2-c1*x(i)*y(i));
y(i+1)=y(i)+h*(a2*y(i)-b2*y(i)^2-c2*x(i)*y(i));
%Heun
k1w=a1*w(i)-b1*w(i)^2-c1*w(i)*z(i);
k1z=a2*z(i)-b2*z(i)^2-c2*w(i)*z(i);
k2w = a1*(w(i)+k1w*h)-b1*(w(i)+k1w*h)^2-c1*(w(i)+k1w*h)*(z(i)+k1z*h);
k2z = a2*(z(i)+k1z*h)-b2*(z(i)+k1z*h)^2-c2*(w(i)+k1w*h)*(z(i)+k1z*h);
w(i+1)=w(i)+(h/2)*(k1w+k2w);
z(i+1)=z(i)+(h/2)*(k1z+k2z);
end
figure(1)%metodo de euler
hold on
plot(t,x)
plot(t,y,'r')
legend('especie1','especie2','location','best')
hold off
figure(2)%metodo de heun
hold on
plot(t,w)
plot(t,z,'r')
legend('especie1','especie2','location','best')
hold off
figure(3)%relacion especie1-especie2 euler
plot(x,y)
legend ('relacion entre las dos especies')
figure(4)%relacion especie1-especie2 heun
plot(w,z)
legend ('relacion entre las dos especies')
3.3 Tipos de modelos
Aquí expondremos los diferentes modelos dados en el ejemplo estudiaremos seis modelos de competencia en los que se muestran las diferentes relaciones entre especies en cada una de ellas mostraremos las gráficas dadas en los diferentes ejemplos con los modelos de euler y heun.
Consideramos que hay dos especies animales distintas que ocupan el mismo ecosistema, no como depredador y presa, sino como competidores en el uso de los mismos recursos, como alimentos o espacio vital. Designamos por x(t) e y(t) la cantidad de animales de cada especie cuando han pasado t unidades de tiempo y obtenemos los siguientes modelos
En principio los dos métodos serían válidos pero sin embargo al hacer las gráficas y obtener los resultados vemos que con h=0.1 el método de euler pierde una precisión significativa, por lo tanto para hacer una aproximación adecuada habría que utilizar el método de heun (que tiene grado 4) ; ademas se observa que a medida que disminuye el tamaño de paso h se aumenta la precisión del método. Por lo tanto en este ejemplo h=0.1 es menos preciso que 0.001. Así que hemos hecho el estudio con h=0.001 para ganar precisión.
3.3.1 Parasitismo
Una especie vive gracias a la otra provocando a esta segunda un perjuicio. La especie parásita tendría una constante C negativa para que el factor xy fuese positivo y aumentar el crecimiento, mientras que la otra constate C seria positiva , siendo el factor xy negativo ( decrecimiento en la población ) ; una aumenta y la otra disminuye levemente
1. a1 = −0.3,a2 = 1.15,b1 = 0,b2 = 0,c1 = −0.08,c2 = 0.09,x(0) = 2,y(0) = 7 y t ∈ [0,150].
Apoyandonos en la dinamica de poblaciones respecto a crecimientos, podemos observar que al aumentar la especie parásita disminuye la especie huésped hasta que dicho aumento llega a un limite donde ya no quedan huéspedes y estos vuelven a crecer produciendose un ciclo tipo depredador-presa.
En la grafica de arriba a la derecha se obseba que el metodo de euler no es efectivo cuando se toma un h=0.1 ya que se distorsiona la grafica
3.3.2 Neutralismo
Ninguna especie influye sobre la otra, es decir, ambas siguen su crecimiento o decrecimiento, son independientes.(En el sistema el factor xy seria nulo )
2. a1 = 0.16,a2 = 0.25,b1 = 0.04,b2 = 0.1,c1 = 0,c2 = 0,x(0) = 2,y(0) = 7 y t ∈ [0,40].
Cada especie sigue su propio ciclo de crecimiento que nos marcan las constantes dadas. Una aumenta su población y la otra decrece.
3.3.3 Competición
Cada especie tiende a eliminar a la otra, compiten posiblemente por los mismos recursos, al fina una acabará desapareciendo.
3. a1 = 0.16,a2 = 0.25,b1 = 0.04,b2 = 0.1,c1 = −0.015,c2 = −0.02,x(0) = 2,y(0) = 7 y t ∈ [0,40].
Se puede ver que ambas compiten hasta que llega un cierto valor a partir del cual tienden a estabilizarse.
3.3.4 Simbiosis
Ambas especies se favorecen , es decir, aumenta la población de ambas en menor o mayor grado sin generar perjuicio en ninguna de las 2. En las ecuaciones estaría representado por unas constantes c1 y c2 negativas para que el factor xy fuese positivo y aumentara el crecimiento de ambas representado por x' y y' en cada ecuación.
4. a1 = 1,a2 = 1,b1 = 0.04,b2 = 0.1,c1 = 0.015,c2 = 0.02,x(0) = 2,y(0) = 7 y t ∈ [0,20].
Ambas especies se favorecen hasta cierto punto en el que sus poblaciones ya no pueden crecer mas y se estabilizan, pudiendo ver que el gráfico (x(t),y(t)) se corta en el punto en el que ya no pueden favorecerse mas.
3.3.5 Amensalismo
Una especie provoca que la otra se reduzca , es decir le provoca un perjuicio pero la primera no obtiene ningún beneficio de esto, ella sigue su normal crecimiento sin que la otra le afecte. Seria al revés que en el comensalismo
5. a1 =1,a2 =1,b1 =0.04,b2 =0.1,c1 =0,c2 =0.2,x(0)=2,y(0)=7yt∈[0,10].
La especie inhibidora provoca que la otra se la otra tenga un crecimiento nulo en el tiempo hasta que se extinga,una crece pero la otra especie decrece en el tiempo.
3.3.6 Comensalismo
Una especie vive a expensas de la otra pero sin crearle ningún perjuicio a la segunda es decir una se mantiene sigue su crecimiento normal y la otra depende la primera para poder sobrevivir. En este una de las constantes C seria nula y otra negativa que representaría el crecimiento.
6. a1 =1,a2 =1,b1 =0.04,b2 =0.1,c1 =0,c2 =−0.2,x(0)=2,y(0)=7yt∈[0,20].
No se produce ningún perjuicio entre ambas, solo que una crece a costa de la otra, así en las gráficas vemos como durante una t determinada su población aumenta hasta que llega a un máximo en el cual el crecimiento se vuelve nulo ( tangente horizontal nula ) .
