Flujo de Couette (GRUPO 16.C)

De MateWiki
Saltar a: navegación, buscar
Trabajo realizado por estudiantes
Título Comportamiento de un fluido sometido a campos escalares y vectoriales. Grupo 16-C
Asignatura Teoría de Campos
Curso 2022-23
Autores Álvaro Herrera Fernández, Raúl Lacruz Rodriguez, Jose Martín De los Rios, Bernabé Domene Lupiañez
Este artículo ha sido escrito por estudiantes como parte de su evaluación en la asignatura

</nowiki></pre>

1 INTRODUCCIÓN

Con este proyecto buscamos analizar y visualizar tanto campos escalares como vectoriales (vistos durante en grado) en fluidos. En nuestro caso tendremos un fluido incompresible cuyo caudal fluctúa a través de un canal de paredes horizontales rectas y a su vez sometido a tres campos, dos escalares: presión y temperatura, y uno vectorial, velocidad.

La cinemática de los fluidos trata del movimiento de los mismos sin considerar las causas que lo forman. Se especializa en las trayectorias, velocidades y aceleraciones. A su vez, sabemos que un fluido incompresible es cualquier fluido cuya densidad siempre permanece constante con el tiempo, y tiene la capacidad de oponerse a la compresión del mismo bajo cualquier condición.

Para la realización del trabajo nos apoyamos el programa informático Octave el cual nos ayudó a visualizar el comportamiento del fluido a través de gráficos.

2 SUPERFICIE DE TRABAJO

La superficie en la que nos vamos a basar va a ser [0,8]x[0,1] en [math]\{\vec{j} {,} \vec{k} \}[/math], por lo que trabajamos en el plano x=0, entonces definimos la y en [0,8] y la z en [0,1], aunque el eje z lo definimos como [-1,2]. Para obsérvalo vamos a recurrir a octave:

y=0:0.05:8;
z=0:0.05:1;
[yy,zz]=meshgrid(y,z);
figure(1);
mesh(yy,zz,0*yy);
grid on
axis([0,8,-1,2]);
view(2);


La superficie de trabajo es la que se muestra en la siguiente imagen:

Superficie de trabajo. Mallado

3 ECUACIÓN DE NAVIER-STOKES ESTACIONARIA

En dinámica de fluidos , las ecuaciones de Navier-Stokes son ecuaciones que describen el movimiento tridimensional de sustancias fluidas viscosas.

Se pueden usar para predecir el clima, las corrientes oceánicas, el flujo de agua en una tubería o en un reactor, el estudio del flujo sanguíneo y muchas otras cosas como el diseño de submarinos.

En este epígrafe, en concreto, trataremos de demostrar que el campo de velocidad y el campo de presión al que está sometido el fluido verifica la ecuación estacionaria de Navier-Stokes, esto supondría que el fluido es incompresible pues estas ecuaciones determinan el comportamiento de los fluidos newtonianos, esto es, un fluido cuya resistencia a deformaciones puede considerarse constante en el tiempo.

La ecuación estacionaria de Navier-Stokes es la siguiente:

[math](\vec{u} \cdot \nabla) \vec{u} + \nabla p=μ \Delta\vec{u} [/math]

Trabajando en componentes tenemos que:

[math](\vec{u} \cdot \nabla) \vec{u}=u_j\frac{\partial u_i}{\partial x_j}\vec{e_i} [/math] , [math]\Delta\vec {u}=u_i\vec{e_i}[/math], [math]\vec{u}=u_i\vec{e_i}[/math]

En nuestro caso, [math]\vec{u}(y,z)=f(z)\vec{j} [/math] es el campo vectorial velocidad , [math]\ p(x,y,z)=p_1+(p_2-p_1)(y-1)[/math] es el campo de presiones del fluido y [math]μ[/math] es la viscosidad del fluido.

Para la demostración, se trabajará en componentes respecto de la base cartesiana [math]\{\vec{j} {,} \vec{k} \}[/math].

El primer térmido de la ecuación será:

[math](\vec{u} \cdot \nabla) \vec{u}=\begin{pmatrix}{\frac{\partial u_1}{\partial y}}&{\frac{\partial u_1}{\partial z}}\\{\frac{\partial u_2}{\partial y}}&{\frac{\partial u_2}{\partial z}}\end{pmatrix}\cdot \begin{pmatrix} u_1 \\ u_2 \end{pmatrix} [/math]

Susutituyendo, nuestro campo y operando tenemos:

[math](\vec{u} \cdot \nabla) \vec{u}=\begin{pmatrix} 0 & f'(z) \\ 0 & 0 \end{pmatrix} \cdot \begin{pmatrix} f(z) \\ 0 \end{pmatrix}=\begin{pmatrix} 0 \\ 0 \end{pmatrix} [/math]

Cálculamos ahora, el gradiente del campo de presiones, [math]\nabla p[/math], siendo [math]\ p(x,y,z)=p_1+(p_2-p_1)(y-1)[/math]

[math]\nabla p=\begin{pmatrix} \frac{\partial p}{\partial x}\\ \frac{\partial p}{\partial y}\\ \frac{\partial p}{\partial z} \end{pmatrix}=\begin{pmatrix} 0\\p_2-p_1 \\ 0 \end{pmatrix}[/math]

Por último, calculamos el Laplaciano,[math]\Delta\vec{u} [/math] , del campo de velocidades, [math]\vec{u}(y,z)=f(z)\vec{j} [/math]. Para calcularlo, utilizaremos la siguiente fórmula:


[math]\Delta\vec{u} = \nabla(\nabla \cdot \vec{u}) - \nabla \times (\nabla \times \vec{u})[/math]
Decidimos emplear esta expresión para calcular el Laplaciano y no calcularlo como el gradiente de la divergencia, porque entre sus términos, además de la divergencia, aparece el rotacional; operadores que se desarrollaran y serán útiles a lo largo del proyecto.

1. Cálculo de la divergergencia:

[math]\nabla \cdot \vec{u}=\frac{\partial u_1}{\partial y}+\frac{\partial u_2}{\partial z} =0[/math]

Así [math]\nabla(\nabla \cdot \vec{u})=0[/math]

¿Qué siginifica que la divergencia sea nula?

Obtenemos que el fluido es incompresible, pues la condición de incompresibilidad es [math]\nabla \cdot \vec{u}=0[/math]. Teniendo en cuenta que la divergencia mide el cambio de volumen del fluido inducido por el campo, ésta al ser nula, conlleva que el movimiento de las partículas no afecta al volumen provocando que la densidad permanezca constante en el tiempo, coincidiendo con la definición dada de fluido incompresible ya mencionada anteriormente.


2. Cálculo del rotacional:

[math]\nabla\times\vec u= \begin{vmatrix} \vec{i} & \vec{j} & \vec{k} \\ \frac{ \partial}{\partial x} & \frac{\partial }{\partial y} & \frac{\partial }{\partial z}\\ 0 & f(z) & 0 \end{vmatrix}=-f'(z)\vec{i}[/math]


3. Cálculo de [math]\nabla\times(\nabla\times\vec u)[/math]

[math]\nabla\times(\nabla\times\vec u)= \begin{vmatrix} \vec{i} & \vec{j} & \vec{k} \\ \frac{ \partial}{\partial x} & \frac{\partial }{\partial y} & \frac{\partial }{\partial z}\\ \ -f'(z) & 0 & 0 \end{vmatrix}= -f''(z)\vec{j}[/math]

Sustituimos los resultados anteriores en [math]\Delta\vec{u} = \nabla(\nabla \cdot \vec{u}) - \nabla \times (\nabla \times \vec{u})[/math], obtenemos que:

[math]\Delta\vec{u}=f''(z)\vec{j}[/math]


Sustituimos por último, todos los términos en la expresión de la ecuación de Navier-Stokes estacionaria [math](\vec{u} \cdot \nabla) \vec{u} + \nabla p=μ \Delta\vec{u} [/math]; resultando:


[math]\begin{pmatrix} 0 \\ 0 \end{pmatrix}+\begin{pmatrix} p_2-p_1 \\ 0 \end{pmatrix}=μ\begin{pmatrix} f''(z) \\ 0 \end{pmatrix}[/math]

Por lo que:

[math]f''(z)=\frac{p_2-p_1}{μ}=\frac{p_1-p_2}{-μ}\vec{j}[/math]

Para averiguar f(z) tenemos que integrar 2 veces sobre [math]\frac{p_1-p_2}{-μ}[/math]. Al hacerlo y sabiendo que la velocidad tiene que ser nula en los bordes, por lo que tiene que ser nula en z=0 y z=1, entonces:

[math]f(z)=-(z^2-z)\frac{p_1-p_2}{2μ}\vec{j}[/math]

4 CAMPO DE VELOCIDADES

Para la representación del campo se han tomado los siguientes valores:

[math]p_1=2 \ {,} \ p_2=1 \ {,} \ μ=1[/math]

Sustituyendo en la expresión del campo obtenemos:

[math]\vec{u}(y,z)=\frac{z^2-z}{-2}\vec{j}[/math]

Para su representación se ha implementado en Octave, el siguiente código:

[Y,Z] = meshgrid([0:0.25:8],[0:0.1:1]); 
uy=inline('((z.^2-z))./(-2)','y','z');
uz=inline('0.*y','y','z'); 
U=uy(Y,Z);
V=uz(Y,Z);
axis([0,8,-1,2]);
quiver(Y,Z,U,V);


Resultando el siguiente gráfico:

Campo de velocidad del fluido
INTERPRETACIÓN

Lo primero que observamos, es que la velocidad es nula en las paredes del canal pues en [math]z=1[/math] y [math]z=0[/math] no existen líneas de campo, como ya habíamos demostrado analíticamente. Además, en las deducciones previas habíamos asegurado que la velocidad sería paralela a las paredes del canal, cosa que también observamos en la gráfica, pues las líneas de campo son paralelas a las rectas [math]z=1[/math] y [math]z=0[/math] que coinciden con las paredes del canal.

Por otro lado, se observa que la velocidad máxima se alcanza en [math]z=1/2[/math], justo en el centro del canal, como a continuación se demuestra analíticamente.

4.1 CÁLCULO DE LA VELOCIDAD MÁXIMA DEL FLUIDO

Los puntos de velocidad máxima se obtienen igualando a 0, la primera derivada parcial del campo:

[math]\vec{u}(y,z)=\frac{z^2-z}{-2}\vec{j} \mapsto \frac{\partial \vec{u}} {\partial y}=0 \ {,} \ \frac{\partial \vec{u} }{\partial z}=z-1/2 [/math]

Igualando a 0, las derivadas anteriores, obtenemos que la velocidad máxima se obtienen en los puntos de la recta [math]z=1/2[/math], tal como se había comentado en la interpretación gráfica.

5 CAMPO DE PRESIONES

El campo de presiones al que está sometido nuestro fluido es un campo escalar, con las siguiente expresión:

[math] p(x,y,z)=p_1+(p_2-p_1)(y-1)[/math]

Para representarlo gráficamente se consideran nuevamente los valores: [math]p_1=2 \ {,} \ p_2=1 \ {,} \ μ=1[/math] .Obteniendo, por tanto:

[math] p(x,y)=2-(y-1)=3-y[/math]

Implementado el código siguiente en Octave:

y=0:0.05:8;
z=0:0.05:1;
[Y,Z]=meshgrid(y,z); 
figure 1
p=3-Y
surf(Y,Z,p)
view(2)
axis([0,8,-1,2])


Obtenemos el siguiente gráfico:

Campo de presiones del fluido
INTERPRETACIÓN

Observamos en el gráfico que a medida que el fluido avanza por el canal la presión va disminuyendo, las presiones altas están representadas con colores cálidos y las más bajas con colores fríos. Esto es así, porque para mantener el caudal de un fluido viscoso estable debe mantenerse una diferencia de presiones entre las paredes del canal. Esta diferencia de presión es necesaria debida a la fuerza de arrastre o frenada que ejerce el canal sobre la capa de fluido en contacto con él y la que ejerce cada capa de fluido sobre la adyacente que se está moviendo con distinta velocidad. A estas fuerzas las denominamos fuerzas viscosas. El resultado de su presencia, hace que la velocidad del fluido no sea constante a lo largo del canal siendo mayor cerca del centro y menor cerca de las paredes tal como se explicó y demostró en el apartado anterior.

6 ROTACIONAL

Para calcular el rotacional del campo, utilizamos la siguiente expresión:

[math]\nabla\times\vec u= \begin{vmatrix} \vec{i} & \vec{j} & \vec{k} \\ \frac{ \partial}{\partial x} & \frac{\partial }{\partial y} & \frac{\partial }{\partial z}\\ 0 & \frac{(z^2-z)\cdot(p_1-p_2)}{-2μ} & 0 \end{vmatrix}[/math]

Operando obtenemos, que: [math]\nabla\times\vec{u}=(2z-1)\frac{(p_1-p_2)}{2μ}\vec{k}[/math], sustituyendo los valores:

[math]p_1=2 \ {,} \ p_2=1 \ {,} \ μ=1[/math]

Tenemos que: [math]\nabla\times\vec u=(z-1/2)\vec{i}[/math], siendo el módulo del rotacional, [math]\left | \nabla\times\vec u \right |=z-1/2[/math], como se observa en la expresión, depende del valor de [math]z[/math]. Tomando los valores máximos en los extremos del intervalo en el que está definido [math]z[/math], [math] [0,1][/math], y el valor mínimo en [math]z=1/2[/math]

Para visualizar esto de manera gráfica, nuevamente recurrimos a Octave,

y=0:0.05:8;
z=0:0.05:1;
[Y,Z]=meshgrid(y,z); 
rota=abs(Z-1/2); 
surf(Y,Z,rota)
axis([0,8,-1,2])
view(2)


Resultando el siguiente gráfico, donde se representa el rotacional:


Rotacional del campo velocidad


INTERPRETACIÓN

El rotacional muestra la tendencia del campo a inducir rotación alrededor de un punto. Por otra parte, el rotacional caracteriza la rotación de un fluido, por lo que en los extremos del canal el efecto de giro será máximo, particularizando en [math]z=1[/math] tendrá el valor máximo en el sentido positivo de [math]\vec{i}[/math] , lo que implica rotaciones en sentido antihorario, y en [math]z=0[/math] alcanzará también el valor máximo, pero en el sentido negativo de [math]\vec{i}[/math] ,lo que provocará rotaciones en sentido horario. Para el valor [math]z=1/2[/math], que es un valor intermedio el rotacional es nulo y este punto coindice con la velocidad máxima. Con esto quedan demostradas, las hipótesis anteriores, pues en el gráfico los puntos con mayor tendencia a la rotación aparecen representados con colores cálidos, amarillos hacia verde azulado, y los puntos con menor tendencia a la rotación aparecen representados con colores fríos, azules. Situados los primeros, en torno a las paredes del canal y los segundos en torno al centro del canal, [math]z=0[/math], [math]z=1[/math] e [math]z=1/2[/math], respectivamente.

7 CAMPO DE TEMPERATURAS

La temperatura a la que está sometido el fluido viene determinada por el campo escalar:

[math] T(ρ{,}θ)=1+ρ^2 sen^2θ e^{-(ρ^2-1/2)^2}[/math]

Como se observa, la expresión del campo está en coordenadas porlares. Teniendo en cuenta que las relación para pasar de coordenadas polares a cartesianas es:

[math]x=ρcosθ[/math]
[math]y=ρsenθ[/math]

Pero como nosotros estamos en los ejes [math]\{\vec{j} {,} \vec{k} \}[/math], usaremos:

[math]y=ρcosθ[/math]
[math]z=ρsenθ[/math]

Podemos expresar el campo en coordenadas cartesianas, que es el sistema en el cual estamos trabajando, resultando:

[math] T(y{,}z)=1+z^2 e^{-(y^2+z^2-1/2)^2}[/math]


REPRESENTACIÓN DEL CAMPO DE TEMPERATURAS

El campo de temperaturas es un campo escalar que representa la distribución espacial de la temperatura asociando un valor a cada punto del espacio. Depende de la posición del punto, y del tiempo (t). En nuestro caso, el campo de temperaturas como ya se a expuesto viene dado por la expresión [math] T(y{,}z)=1+z^2 e^{-(y^2+z^2-1/2)^2}[/math], por lo tanto no depende del tiempo, se dice que es estacionario, sino exclusivamente de las componentes espaciales [math](y{,}z)[/math]

Para la representación se ha implementado el siguiente código en Octave:

y=0:0.05:8;
z=0:0.05:1;
[Y,Z]=meshgrid(y,z);
figure (1) 
p=1+((Y.^2).*exp(-((Y.^2)+(Z.^2)-1/2).^2));
pcolor(Y,Z,p);
shading flat
grid on
axis([0,8,-1,2]);
colorbar

figure(2)
contour(Y,Z,p,10,'k'); 
grid on
axis([0,8,-1,2]);


Campo de temperaturas del fluido
Campo de temperaturas del fluido
INTERPRETACIÓN

En el gráfico se puede observar que la temperatura es mayor en los valores próximos a [math]z=1[/math], este aparece representado con colores cálidos, mientras que si nos alejamos de este punto la temperatura disminuye.

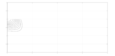
REPRESENTACIÓN DE LAS CURVAS DE NIVEL

El código utilizado para la representación de este gráfico está expuesto en la representación del campo de temperaturas.

Curvas de nivel de campo
INTERPRETACIÓN

En el gráfico aparecen representadas las curvas de nivel, las curvas de nivel varían de manera geométrica estando más próximas entre sí cuando la temperatura aumenta, en torono a los puntos [math]z=1[/math] y más alejadas cuando la temperatura disminuya.

La representaciónes anteriores permite determinar que en el punto [math](y,z)= (0,1)[/math] la temperatura es máxima.

7.1 GRADIENTE DEL CAMPO DE TEMPERATURAS

El análisis de la variación de la temperatura a lo largo del canal se realiza analizando el gradiente [math]\nabla T[/math], en nuestro caso:

[math]\nabla T(y,z)=-4yz^2e^-(y^2+z^2-\frac{1}{2})\cdot (y^2+z^2-\frac{1}{2})\vec{i}+ e^-(y^2+z^2-\frac{1}{2})\cdot(-4z^3(z^2+y^2+\frac{1}{2})+2z) \vec{k}[/math]

Como observación, el gradiente analíticamente se calcula como [math]\frac{\partial T(y,z)}{\partial y}[/math] siendo ésta la compontente [math]\vec{j}[/math] del campo vectorial gradiente y [math]\frac{\partial T(y,z)}{\partial z }[/math] la componente [math]\vec{k}[/math].

REPRESENTACIÓN GRÁFICA DEL GRADIENTE

El gráfico del gradiente de la temperatura, se ha representado utilizando el siguiente código:

y=0:0.05:8;
z=0:0.05:1;
[Y,Z]=meshgrid(y,z);
figure (1)
p=1+((Z.^2).*exp(-((Y.^2)+(Z.^2)-1/2).^2));
[pY,pZ]=gradient(p);
hold on
quiver(Y,Z,pY,pX)
axis([0,8,-1,2]);
shading flat
grid on
hold off


Campo vectorial gradiente
En el gráfico se puede observar que hemos representado el gradiente como un campo vectorial

REPRESENTACIÓN DEL GRADIENTE Y LAS CURVAS DE NIVEL

Código Octave utilizado:

y=0:0.05:8;
z=0:0.05:1;
[Y,Z]=meshgrid(y,z);
figure (1)
p=1+((Z.^2).*exp(-((Y.^2)+(Z.^2)-1/2).^2));
[pY,pZ]=gradient(p);
hold on
quiver(Y,Z,pY,pZ)
contour(Y,Z,p,'k');
axis([0,8,-1,2]);
shading flat
grid on
hold off
Gradiente ortogonal a las curvas de nivel

Con este gráfico afirmamos que las curvas de nivel son ortogonales al gradiente de la temperatura, es el mismo gráfico que el anterior pero más ampliado para poder observar mejor la ortogonalidad.

Gradiente ortogonal a las curvas de nivel.
INTERPRETACIÓN

Para estudiar la variacion de temperatura a lo largo del canal analizamos el gradiente que indica la direccion de crecimiento de la funcion temperatura en cada uno de los puntos. En el gráfico aparece el gradiente como un campo vectorial (como ya se ha mencionado) junto con las curvas de nivel. Observamos que en torno al punto [math]z=1[/math] el módulo del gradiente aumenta por lo que la temperatura varía más rapidamente, en torno a ese punto. Por otra parte, vemos que el gradiente es ortogonal a las curvas de nivel, la razón de esta ortogonalidad se duduce de la definición de gradiente y curvas de nivel. El gradiente indica la dirección de crecimiento y sentido de los valores del campo en cada punto y las curvas de nivel son el lugar geométrico de los puntos equipotenciales. Si el gradiente tuviera componentes paralelas a las curvas, las definiciones anteriores serían contradictorias.

8 LÍNEAS DE CORRIENTE

Las líneas de corriente, son rectas tangentes al campo de velocidad en cada punto. Para calcular estas rectas, calculamos el campo [math]\vec{v}=\vec{i}\times\vec u[/math]. Dicho campo es:

[math]\vec{i}\times\vec u=\vec{i}\times\frac{(z-z^2)\cdot(p_1-p_2)}{2μ}\vec{j}=\frac{(z-z^2)\cdot(p_1-p_2)}{2μ}\vec{k}[/math]

Las líneas de corriente corresponden con [math]\psi=cte[/math], siendo [math]\psi[/math] la función de corriente de [math]\vec{u}[/math]. Esta función, es la función potencial o el potencial escalar del que deriva el campo [math]\vec{v}[/math], para calcularlo, lo primero que debemos comprobar es que [math]\vec{v}[/math] es irrotacional, pues en caso contario, dicho campo no admitiría función potencial.

Demostración [math]\nabla\times\vec v=0[/math]

[math]\nabla\times\vec v= \begin{vmatrix} \vec{i} & \vec{j} & \vec{k} \\ \frac{ \partial}{\partial x} & \frac{\partial }{\partial y} & \frac{\partial }{\partial z}\\ 0 & 0 & \frac{(z-z^2)\cdot(p_1-p_2)}{2μ} \end{vmatrix}[/math]

Operando obtenemos, que: [math]\nabla\times\vec{v}=0[/math], por lo que el campo es irrotacional y ahora ya podemos calcular su función potencial.

Cálculo de la función potencial [math]\psi (x,y)[/math]:

1. Aplicamos la definición:

[math] \nabla \psi (y,z)= \vec{v} \longleftrightarrow \frac{\partial \psi }{\partial y}=\ v_1 \ {,} \ \frac{\partial \psi}{\partial z}=\ v_2 [/math]

2. Operamos:

[math]\psi (y,z)=\int 0 \ dy=0+f(z)[/math]

3. Derivamos con respecto a [math]z[/math]:

[math] \frac{\partial \psi}{\partial z}=\frac{-1}{2}(z^2-z) \rightarrow\frac{\partial }{\partial y}(0+f(z))\rightarrow f'(z)=\frac{-1}{2}(z^2-z)[/math]

4. Resolvemos la ecuación [math]f'(z)=\frac{-1}{2}(z^2-z)[/math] para obtener [math]f(z)[/math].

[math]f(z)=\int\frac{-1}{2}(z^2-z) \ dz=\frac{-1}{12}(2z^3-3z^2)+C \ {,} \ C\in\mathbb{R}[/math]

Así,

[math] \psi (y,z)=\frac{-1}{12}(2z^3-3z^2)[/math]

Representación gráfica

Representamos las líneas [math]\psi=cte[/math]

Líneas de corriente de [math]\vec{u}[/math]
¿Coinciden las rectas representadas con las líneas de corriente de [math]\vec{u}[/math]?

Como se observa en el gráfico, estas líneas son tangentes al campo vectorial [math]\vec{u}[/math] en cada punto quedando así demostrado que son las líneas de corriente de [math]\vec{u}[/math]


Código Octave utilizado para la representación

y=0:0.05:8;
z=0:0.05:1;
[Y,Z]=meshgrid(y,z);
figure 1
lineas=(-1/12)*((2*Z.^3)-(3*Z.^2))
contour (Y,Z,lineas)
axis([0,8,-1,2])
view (2)


9 CAUDAL

El caudal es el volumen de fluido que pasa a travésa del canal por unidad de tiempo y se calcula mediante la integral de superficie siguiente:

[math]\int_{S}\vec{v} \cdot d\vec{S}[/math]

donde [math]\vec{v}[/math] es el campo de velocidades. Al tratarse de una integral de superficie hay que tener en cuenta el vector normal que es perpendicular a la superficie.

En nuestro caso, el campo de velocidades es:

[math]\vec{u}(y,z)=\frac{z^2-z}{-2}\vec{j}[/math]
,

Esa expresión resulta de sustituir los valores siguientes en la expresión incial del campo:

[math]p_1=2 \ {,} \ p_2=1 \ {,} \ μ=1[/math]

La profundidad del caudal es de 1 metro, por lo que al parametrizar nos da:

[math]x=u [/math] [math]u[/math][0,1]
[math]y=8[/math]
[math]z=v [/math] [math]v[/math][-1,0]

Por lo que:

[math]ru=(1,0,0)[/math]
[math]rv=(0,0,1)[/math]
[math]|ru\times rv|=(0,-1,0)[/math]

CÁLCULO DEL CAUDAL

[math]\int_{S}\vec{v} \cdot d\vec{S}=\int_{S}\vec{u} \cdot |ru\times rv|=\int_{-1}^{0} \int_{0}^{1} \frac{z^2-z}{2}dzdx=-0.08\frac{m^3}{s}[/math]


10 Referencias

Grupo B7: Comportamiento de un fluido sometido a campos escales y vectoriales