Evaluación de cuenca hidrográfica para el río Omañas

De MateWiki
Saltar a: navegación, buscar
Trabajo sobre SIG
Título Evaluación de cuenca hidrográfica para el río Omañas
Autores • María del Carmen Lacasa Santos
• Jose Luis Sanz García
• David Ortiz Liriano
• Paula Lacanal Cuadrado.
Asignatura Sistemas de Información Geográfica Aplicados a la Ingeniería Civil
Curso Curso 14/15
Este artículo ha sido escrito por estudiantes como parte de su evaluación en la asignatura


1 Introducción y Objetivo

El siguiente artículo desarrolla el estudio de la cuenca hidrográfica del río Omañas, a la altura de La Garandilla,barrio de la población de Valdesamario, situada en la provincia de León.

El objetivo de este estudio es obtener información para conseguir datos de cara a la realización de un proyecto de construcción de una presa en el lugar indicado. Para ello es necesario la recopilación de datos de carácter pluviométrico, topográfico, geomorfológico y ambiental, que se combinarán de tal manera que obtengamos diversos mapas temáticos con información valiosa para la toma de decisiones en el proyecto. Entre otras cosas, se obtendrá la cuenca hidrográfica y sus subcuencas, las áreas de inundación del embalse respetando las condiciones ambientales, la topografía de la zona de la cerrada definitiva de la presa y la curva de capacidad del embalse.

La realización de gran parte del estudio se realizará mediante el programa de Información geográfica QuantumGIS, siempre atendiendo al procesado posterior de la información obtenida mediante programas de CAD o Excel.

2 Datos de Partida

La base para la realización de todo proyecto de ingeniería civil es la topografía. En este caso, además de la topografía son de vital importancia los datos pluviométricos y medioambientales. A continuación se presenta la forma en que se han recopilado todos los datos.

Para la obtención de la topografía y caracterización del terreno hay que recurrir al Instituto Geográfico Nacional (IGN), donde es posible descargarse gran cantidad de mapas en formato digital y modelos topográficos de todo el territorio español. En nuestro caso, es necesario descargarse un Modelo Digital del Terreno y por ello se han empleado las hojas 0101, 0102, 0127 y 0128 de la colección de mapas del IGN 1:50000 y MDT25, todas ellas extraídas del Centro Nacional de Información Geográfica (CNIG).

En relación con la topografía y más en concreto con el replanteo de la obra, se obtuvieron las coordenadas de los vértices geodésicos de la red REGENTE que servirán como estaciones de partida. Éstos vértices geodésicos son los que se pueden apreciar en la Figura 1.

Los datos de las estaciones meteorológicas se han obtenido del servicio electrónico de la Agencia Estatal de Meteorología (AEMET).

Como consideración medioambiental, se tendrán en cuenta los Lugares de Importancia Comunitaria, o también llamados LIC y las Zonas de Especial Protección de Aves (ZEPA). Se trata de zonas desginadas a nivel europeo como de interés comunitario por su importante contribución a conservar el hábitat natural, incluyendo ecosistemas, biodiversidad, fauna y flora. Estos lugares son importantes pues se integran en la Red Natura 2000. Se ha acudido a la página web del IDEE en donde se ha obtenido el mapa de los LIC de Castilla y León.


Figura 1. Vértices geodésicos.

3 Metodología

3.1 Localización

En primer lugar, es necesario localizar el lugar en donde se va a ubicar la presa para empezar con el estudio. Para ello, en el programa QGIS se introducirán las cuatro hojas, comentadas en el apartado 2, de la siguiente manera:

  1. Mapa 1:50.000 en formato ráster correspondiente a las cuatro hojas, que informa de la ubicación de los núcleos de población, ríos, lugares de interés o algún hito.
  2. Capa ráster asociada al 50.000 MDT correspondientes a la cuatro hojas MDT , que proporciona información sobre el relieve.
  3. Mapa de los LICs de Castilla y León en formato ráster, que informa sobre los lugares de interés medioambiental, pero que se mantendrá desactivada hasta que sea necesario evaluar si la inundación del embalse afecta a alguna de estas zonas.

3.2 Cuencas y subcuencas hidrográficas

En lo que se refiere a la obtención de la cuenca y subcuencas de nuestra presa, el proceso será primero crear las subcuencas y a continuación la cuenca principal a partir de éstas.

Para ello, debemos introducir en QGIS las hojas 1:50.000 del IGN descritas anteriormente. Para trabajar más cómodamente, se crea un clip de la zona aproximada donde va a quedar la cuenca. Dentro de dicho clip podemos observar mejor la zona añadiendo 4 MDT que incluyen la zona a estudiar. Para la creación de las subcuencas de la zona debemos crear un directorio de GRASS para trabajar en él. A continuación utilizamos el comando ''r.watershed'' y ponemos como tamaño mínimo para cada subcuenca (número de celdas) igual a 500.


Una vez tenemos las subcuencas en una capa ráster de GRASS, tenemos que convertirla esa capa a formato Vectorial de GRASS, para lo cual utilizamos el comando ''r.to.vect.area''. Obtenida la capa vectorial en GRASS la exportamos desde GRASS a GIS con el comando ''r.in.gdal.qgis.loc''. Con esto lo que hacemos es poder trabajar con las subcuencas y conocer en GIS los datos de las áreas de cada subcuenca, pinchando con el ratón en cada una de ellas y utilizando el comando ''identificar objetos espaciales''. El siguiente paso consiste en determinar la red hídrica principal que conforma nuestra cuenca. Para ello buscamos el conjunto de subcuencas que contiene los ríos que desembocan en la presa. Es decir, vamos a ver cuáles son los ríos que llegan a la presa y sus afluentes, y la cuenca principal será la que englobe todos estos ríos. Tras ello seleccionamos dichas subcuencas con el comando ''SELECCIÓN'' y creamos una nueva capa poligonal formada por la unión de todas ellas. La manera de realizar esta nueva capa es mediante el comando ''UNION''. Conviene convertir esa capa poligonal en una capa vectorial de linea que contenga solamente el contorno que delimita la cuenca de análisis.

El resultado final es el que se puede ver en la Figura 3.

Figura 2. Subcuencas en formato GRASS
Figura 3. Subcuencas hidrográficas.

.

3.3 Pluviómetros y polígonos de Thiessen

Una vez obtenida la cuenca hidrográfica y realizada la división en subcuencas se procede a aplicar el Método de los Polígonos de Thiessen para calcular la precipitación media areal de cada subcuenca. Para esta tarea es necesario incluir en el programa QGIS los pluviometros de AEMET. La introducción de los mismos se realiza a través de un documento en formato .txt con las coordenadas X e Y, que se introduce en el programa como una capa vectorial nueva. Tras ello utilizamos la ''herramienta de geometría'' de las capas vectoriales llamada ''polígonos de Voronoi'' con la que creamos una nueva capa vectorial de polígono con diversos polígonos cuyos baricentros son los pluviómetros.

A continuación necesitamos calcular la influencia de cada pluviómetro en cada una de las subcuencas, para lo cual se procede a calcular la intersección de los polígonos de Voronoi calculados y las subcuencas. Aplicamos una ''herramienta de geoproceso'' llamada ''intersección'' , de tal manera que vamos haciendo la intersección subcuenca por subcuenca con los diferentes polígonos de Thiessen. Se recuerda que que las subcuencas deben estar en una capa vectorial. A continucación se presensenta una imagen con los diferentes polígonos de dicha capa.

Figura 4. Polígonos de Thiessen.

3.4 Cauces

Para proseguir con la evaluación de la cuenca de la Presa del río Omañas es necesario conocer el tiempo de concentración de cada subcuenca. Para su cálculo es necesario conocer la longitud de los cauces de los ríos y su pendiente. Lo primero que hay que hacer es digitalizar los cauces,tal y como se puede observar en la figura 5, para lo cual creamos una nueva capa vectorial de línea y trazamos las diferentes líneas de los ríos basándonos en la topografía (MDT) y el las imágenes (MTN). Se debe realizar este proceso atendiendo a la división en subcuencas, de tal manera que cada cauce comienza y termina en los bordes de dichas subcuencas. Para facilitar el trabajo posterior se creó un nuevo atributo en la capa que indica la longitud de cada tramo de río. Para ello se abre la tabla de atributos, se añade una nueva columna llamada longitud y se abre la ''calculadora de campos'' , ''geometría'' y ''length'' .

Una vez realizada la digitalización utilizaremos el comando de información para conocer la cota de los puntos de interés (esta cota se obtiene a partir de la capa MDT), que unido a la longitud de los cauces, nos permite conocer el tiempo de concentración.

Figura 5. Cauces principales.

3.5 Inundación del embalse

Otro aspecto importante que queremos conocer es cómo será la inundación que produzca el embalse una vez construida la presa. Además, a la vez que conocemos el área de inundación, obtendremos el volumen de agua embalsada, lo cual nos permitirá crear la curva de capacidad del embalse. El proceso a seguir es el siguiente: lo primero es crear un área de trabajo que contenga la zona en la que se producirá la inundación, y que corte justo por la zona de la cerrada.Una vez realizado esto, en el entorno de GRASS se ejecuta el comando "r.lake.xy", introduciendo como nombre de mapa raster del terreno el del MDT base y como nivel de agua la cota en metros sobre el nivel del mar a la que queremos que simule la inundación (por ejemplo en Nivel Máximo Normal sería la cota 1028,3). Finalmente, se obtiene como resultado la inundación del embalse en el terreno y una ventana en la que aparecen la altura máxima de la lámina de agua en el embalse (en metros), el volumen de embalse (en metros cúbicos) y el área de inundación (en metros cuadrados).

Figura 6. Inundación a la cota del NMN.

3.6 LIC

Tras la inundación, es preciso conocer cómo afecta el embalse de estudio a las zonas de la Red Natura 2000, en concreto a los LICs o las ZEPAS, y si se verán afectadas por la construcción de la presa. En el caso de que se vean inundadas, se debería plantear la construcción de la presa en otra ubicación, pues son zonas protegidas de alto nivel ecológico.

Así pues, se procede a activar capa vectorial de polígono de LIC de Castilla y León y la superponemos a la capa de inundación del embalse. Para una mejor visualización aplicamos TRANSPARENCIA a la capa de inundación y la colocamos encima de la de LICs observando qué zonas son las afectadas y cuáles no.

En el caso que nos ocupa, se observa que el embalse no afectaría a ninguna de estas zonas, por lo que sería viable, en términos medioambientales, la construcción de la presa del estudio.


Figura 7. Afección a lugares de interés comunitario.
Figura 8: Curvas de Nivel



3.7 Curvas de nivel

El objetivo de realizar las curvas de nivel con QGIS es la obtención de una cartografía de detalle de la cerrada de la presa sobre el río Omañas, de cara a su definición sobre el terreno. También cabe mencionar que, incluso, sería de utilidad obtener esta capa para tomar la decisión de dónde ubicar la misma cerrada de la presa.

Para ello, lo primero que se hizo fue realizar un “CLIP” del MDT25-128-H30-LIDAR. El motivo de este primer paso es reducir el trabajo a realizar por el programa, para que la capa resultante no sea muy “pesada” y así acelerar el proceso y su manipulación posterior en AutoCAD. El proceso a seguir es pinchar en la pestaña "Raster” ”Extracción” y ”Curvas de nivel”. Este comando nos pide la distancia entre curvas de nivel. En nuestro caso, hemos obtenido las líneas de nivel cada 1, 5 y 50 metros y el resultado obtenido es el correspondiente a la Figura 7.

Es posible exportar esta capa de curvas de nivel al programa de diseño AutoCAD como archivo DXF en vistas a la proyección y definición geométrica de la propia presa, aunque no sea objeto de este estudio.

4 Resultados para el proyecto

En primer lugar, se muestra la cuenca hidrográfica de la presa sobre el río Omañas (Figura 9), cuyo área es 402,715 Km^2.

Figura 9. Cuenca hidrográfica de la presa sobre el río Omañas.


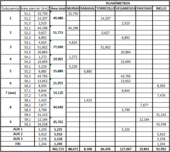
El siguiente resultado obtenido de cara al estudio de la cuenca es la situación de los pluviómetros para, mediante el método de los polígonos de Thiessen, hallar la precipitación media areal de cada una de las subcuencas. Para llevar a cabo tal trabajo hace falta conocer las áreas parciales de la intersección de los polígonos con las subcuencas. Esta información es la que se muestra en la tabla de la Figura 10.

Figura 10. Polígonos de Thiessen.
Figura 11. Áreas de los polígonos de Thiessen.

A continuación se muestra una tabla que muestra una serie de datos de los tiempos de concentración obtenidos tal como se ha explicado antes.

Figura 12. Tabla de tiempo de concentración.

Por último, se muestra la inundación del embalse a la cota del Nivel Máximo Normal de la presa, la curva de capacidad del embalse y las curvas de nivel en la zona de la cerrada.

Figura 13. Inundación a la cota del NMN.
Figura 14. Curva de capacidad del embalse.


Figura 15. Curvas de nivel en la cerrada.


5 Conclusiones

Como principal conclusión de este trabajo podemos destacar la gran utilidad y versatilidad del programa QGIS como herramienta de apoyo de cara a realizar el proyecto de construcción de una presa, como es este caso, o de cualquier otro estudio que tenga influencia o interactúe con el territorio.

Más en concreto dentro del estudio hidrológico, lo que tenemos que destacar es la utilidad a la hora de hallar la cuenca y subcuencas y las áreas parciales al intersectar estas subcuencas con los polígonos de Voronoi. No menos importante es la utilidad para hallar la curva de capacidad del embalse, que será de gran utilidad para hallar el Nivel Máximo Normal del embalse.

Por último, destacaremos el hecho de poder obtener a partir de un MDT las curvas de nivel con la precisión de 1 metro. Lo cual es importante para poder definir con la suficiente precisión la geometría de la presa.