Lista de archivos
Esta página especial muestra todos los archivos subidos.
| Fecha | Nombre | Miniatura | Tamaño (bytes) | Descripción | Versiones |
|---|---|---|---|---|---|
| 10:24 5 dic 2025 | Isobara.png (archivo) | 109 KB | 1 | ||
| 10:13 5 dic 2025 | SuperficiesIsobaricas.png (archivo) | 143 KB | 1 | ||
| 20:59 4 dic 2025 | IsobarasRankine.png (archivo) | 55 KB | 1 | ||
| 20:32 4 dic 2025 | GradienteDePresiones.png (archivo) | 116 KB | 1 | ||
| 18:22 4 dic 2025 | CampoDeVelocidadesRankine2.png (archivo) | 142 KB | 1 | ||
| 18:15 4 dic 2025 | CampoDePresionesRankine.png (archivo) | 175 KB | 1 | ||
| 11:39 3 dic 2025 | RotacionalRankine4.png (archivo) | 47 KB | 1 | ||
| 11:28 3 dic 2025 | RotacionalRankine3.png (archivo) | 66 KB | 1 | ||
| 00:43 3 dic 2025 | RotacionalRankine2.png (archivo) | 49 KB | 1 | ||
| 00:32 3 dic 2025 | RotacionalRankine.png (archivo) | 45 KB | Expresión del rotacional de la velocidad del vórtice de Rankine | 1 | |
| 12:32 1 dic 2025 | CampoDeVelocidadesRankine.png (archivo) | 180 KB | Campo de velocidades del vórtice de Rankine | 1 | |
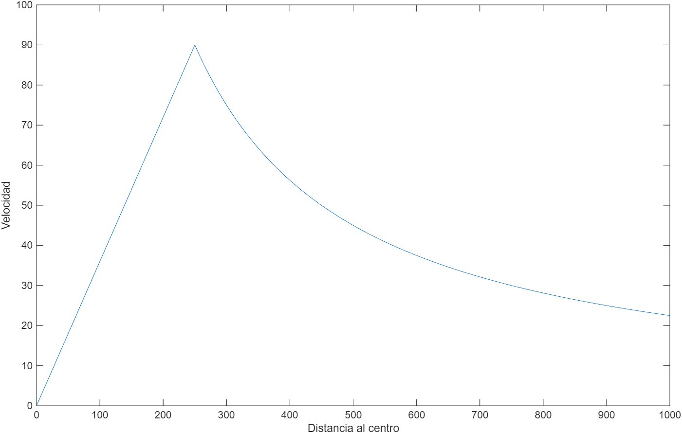
| 12:07 1 dic 2025 | GraficoVelocidadDistancia.png (archivo) | 42 KB | Grafico Distancia-Velocidad del vórtice de Rankine dado | 1 |