Lista de archivos
Esta página especial muestra todos los archivos subidos.
Primera página |
Página anterior |
Página siguiente |
Última página |
| Fecha | Nombre | Miniatura | Tamaño (bytes) | Descripción | Versiones |
|---|---|---|---|---|---|
| 12:40 4 dic 2015 | Campo escalar1.png (archivo) | 4 KB | 1 | ||
| 12:30 4 dic 2015 | Integral campo.png (archivo) | 7 KB | 1 | ||
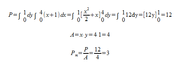
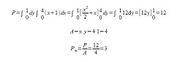
| 11:55 4 dic 2015 | Integral presion media1.png (archivo) | 4 KB | 1 | ||
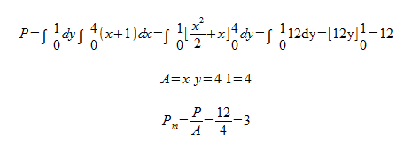
| 11:44 4 dic 2015 | Integral presion media.jpg (archivo) | 14 KB | 1 | ||
| 11:38 4 dic 2015 | Campo escalar.jpg (archivo) | 8 KB | 1 | ||
| 20:00 3 dic 2015 | Repres3D.png (archivo) | 14 KB | 1 | ||
| 19:30 3 dic 2015 | Representacion3Dvel.png (archivo) | 14 KB | 1 | ||
| 19:27 3 dic 2015 | Reprpresion.png (archivo) | 12 KB | 1 | ||
| 19:27 3 dic 2015 | Representacion3D.png (archivo) | 13 KB | 1 | ||
| 19:27 3 dic 2015 | Representacion2Dvel.png (archivo) | 8 KB | 1 | ||
| 19:27 3 dic 2015 | Programavelocidad.png (archivo) | 21 KB | 1 | ||
| 19:26 3 dic 2015 | Porgramapresion.png (archivo) | 18 KB | 1 | ||
| 18:55 3 dic 2015 | 16C-rotabs.png (archivo) | 16 KB | 1 | ||
| 18:25 3 dic 2015 | Rotixx.png (archivo) | 27 KB | 1 | ||
| 17:58 3 dic 2015 | Deteret.png (archivo) | 14 KB | 1 | ||
| 17:32 3 dic 2015 | Plapo.png (archivo) | 14 KB | 1 | ||
| 17:25 3 dic 2015 | Centri.jpg (archivo) | 23 KB | 1 | ||
| 16:57 3 dic 2015 | Roti.png (archivo) | 22 KB | 1 | ||
| 19:33 2 dic 2015 | Awa.jpg.jpg (archivo) | 131 KB | 1 | ||
| 19:09 2 dic 2015 | Nacho1.jpg.png (archivo) | 3 KB | Fórmula del rotacional | 1 | |
| 16:12 30 nov 2015 | 16C-10.2-2.png (archivo) | 3 KB | 1 | ||
| 16:05 30 nov 2015 | 16C-10.2-1.png (archivo) | 6 KB | 1 | ||
| 15:37 30 nov 2015 | 16C-10-4.png (archivo) | 5 KB | 1 | ||
| 15:37 30 nov 2015 | 16C-10-3.png (archivo) | 2 KB | 1 | ||
| 15:36 30 nov 2015 | 16C-10-2.png (archivo) | 2 KB | 1 | ||
| 15:36 30 nov 2015 | 16C-10-1.png (archivo) | ![]() |
2 KB | 1 | |
| 14:12 30 nov 2015 | 16C-ampliacion gradiente.png (archivo) | 91 KB | Ampliación del gradiente y las curvas de nivel, donde se puede observar con más detalle que son perpendiculares entre sí. | 1 | |
| 14:10 30 nov 2015 | 16C-gradiente.png (archivo) | 94 KB | Representación de las curvas de nivel y del gradiente de temperatura. | 1 | |
| 20:45 5 may 2015 | Apartado4-13a.png (archivo) | 9 KB | Representación de la carga y deflexión de la viga | 1 | |
| 23:54 6 mar 2015 | T3h0.png (archivo) | 8 KB | 1 | ||
| 23:53 6 mar 2015 | T3h00.png (archivo) | 9 KB | 1 | ||
| 23:53 6 mar 2015 | T3h000.png (archivo) | 9 KB | 1 | ||
| 23:52 6 mar 2015 | T2h0.png (archivo) | 8 KB | 1 | ||
| 23:52 6 mar 2015 | T2h00.png (archivo) | 9 KB | 1 | ||
| 23:52 6 mar 2015 | T2h000.png (archivo) | 9 KB | 1 | ||
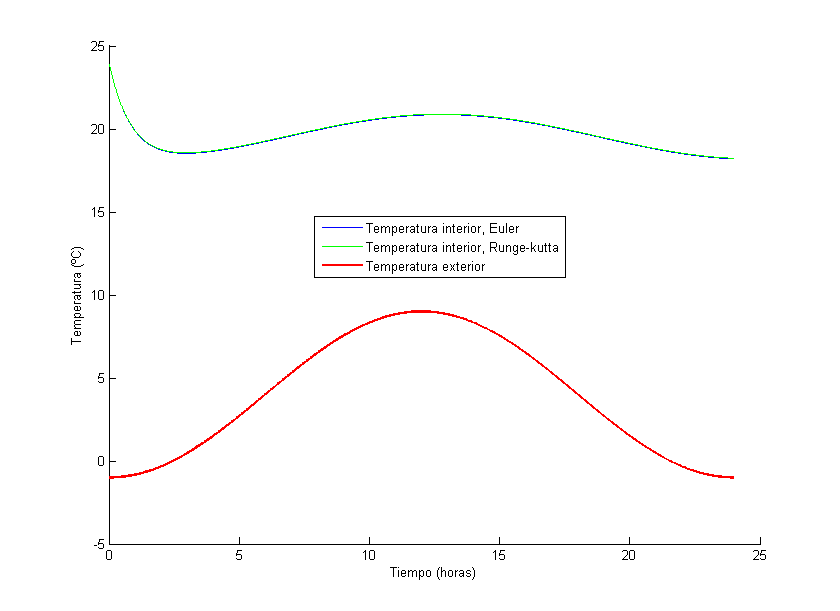
| 23:50 6 mar 2015 | 3h01.png (archivo) | 7 KB | Representación de la temperatura interior mediante los métodos de Euler y Runge-Kutta 4 con h=0.1 y la temperatura exterior. | 1 | |
| 23:50 6 mar 2015 | 3h001.png (archivo) | 7 KB | Representación de la temperatura interior mediante los métodos de Euler y Runge-Kutta 4 con h=0.01 y la temperatura exterior. | 1 | |
| 23:49 6 mar 2015 | 3h0001.png (archivo) | 7 KB | Representación de la temperatura interior mediante los métodos de Euler y Runge-Kutta 4 con h=0.001 y la temperatura exterior. | 1 | |
| 23:49 6 mar 2015 | 2h01.png (archivo) | 8 KB | Representación de la temperatura interior mediante los métodos de Euler y Runge-Kutta 4 con h=0.1 y la temperatura exterior. | 1 | |
| 23:49 6 mar 2015 | 2h001.png (archivo) | 8 KB | Representación de la temperatura interior mediante los métodos de Euler y Runge-Kutta 4 con h=0.01 y la temperatura exterior. | 1 | |
| 23:48 6 mar 2015 | 2h0001.png (archivo) | 7 KB | Representación de la temperatura interior mediante los métodos de Euler y Runge-Kutta 4 con h=0.001 y la temperatura exterior. | 1 | |
| 22:53 6 mar 2015 | G3h000.png (archivo) | 7 KB | 1 | ||
| 22:52 6 mar 2015 | G3h00.png (archivo) | 7 KB | 1 | ||
| 22:52 6 mar 2015 | G3h0.png (archivo) | 6 KB | 1 | ||
| 22:47 6 mar 2015 | 3h000.png (archivo) | 7 KB | Representación de la temperatura interior mediante los métodos de Euler y Runge-Kutta 4 con h=0.001 y la temperatura exterior. | 1 | |
| 22:47 6 mar 2015 | 3h00.png (archivo) | 7 KB | Representación de la temperatura interior mediante los métodos de Euler y Runge-Kutta 4 con h=0.01 y la temperatura exterior. | 1 | |
| 22:46 6 mar 2015 | 3h0.png (archivo) | 7 KB | Representación de la temperatura interior mediante los métodos de Euler y Runge-Kutta 4 con h=0.1 y la temperatura exterior. | 1 | |
| 22:22 6 mar 2015 | G2h000.png (archivo) | 7 KB | 1 | ||
| 22:21 6 mar 2015 | 2h000.png (archivo) | 8 KB | Representación de la temperatura interior mediante los métodos de Euler y Runge-Kutta 4 con h=0.001 y la temperatura exterior. | 1 | |
| 22:21 6 mar 2015 | G2h00.png (archivo) | 7 KB | 1 |
Primera página |
Página anterior |
Página siguiente |
Última página |
