Deformaciones de un semianillo circular en 2-D. Grupo 8-A

De MateWiki
Saltar a: navegación, buscar
Trabajo realizado por estudiantes
Título Deformaciones de un semianillo circular en 2-D. Grupo 8-A
Asignatura Teoría de Campos
Curso 2020-21
Autores Victoria Elena Cedillo García

María Cristina Pérez-Pozuelo López

Ángela Masiel Zaragoza Paredes

Este artículo ha sido escrito por estudiantes como parte de su evaluación en la asignatura


En el siguiente artículo procederemos a analizar los efectos que diferentes campos escalares y vectoriales tienen en un sólido, para ello emplearemos una sección de dicho sólido con forma de semianillo. Primeramente, analizaremos como la temperatura, dada por un campo escalar, se distribuye en la superficie del sólido, indicando la dirección de máximo crecimiento de esta. Posteriormente, se estudiaran las deformaciones causadas por un campo de desplazamientos de carácter vectorial. Con el objetivo de poder interpretar mejor estas deformaciones, calcularemos la divergencia y el rotacional. A continuación, examinaremos como las diferentes tensiones alteran la sección del sólido. Para finalizar, se hallará la masa de dicha sección mediante la función de densidad dada.



1 Visualización de la placa

Para comenzar, se representarán los puntos que componen la sección del sólido con forma de semianillo circular con radios 1 y 2.

Semianillo circular plano
h= 0.1;                           %Paso de muestreo
                                  %Usamos coordenadas polares
r= 1:h:2;
tetha= 0:h:pi;
[rr,tt]= meshgrid(r,tetha);       %Mallado
                                  %Parametrizamos en cartesianas
x=rr.*cos(tt);
y=rr.*sin(tt);                                 
clf                               %Borramos las posibles gráficas que hubiera    
mesh(x,y,0*x);                    %Visualización de la placa
view(2)                           
axis ([-3,3,-1,3])



2 Distribución de temperaturas del sólido

En el siguiente apartado se representará la temperatura del sólido mediante tintas hipsométricas y se deducirá el punto en el que esta es máxima. La distribución de temperaturas en cada punto del sólido viene dada por el campo escalar: [math]\ T(x,y)=exp({-x^2+y^2-1})[/math]


Distribución y curvas de nivel de la temperatura
h= 0.1;                       %Paso de muestreo
                              %Usamos coordenadas polares
r= 1:h:2;
tetha= 0:h:pi;
[rr,tt]= meshgrid(r,tetha);   %Mallado
                              %Parametrizamos en cartesianas
x=rr.*cos(tt);
y=rr.*sin(tt);
clf 
                              %Campo temperatura (en cartesianas)
T=exp(-x.^2+y.^2-1);          %Campo escalar de temperatura
subplot(1,2,1)                %Dividimos la pantalla en dos
surf(x,y,T)                   %Representamos el campo escalar de temperaturas
view(2)
axis ([-3,3,-1,3])
colorbar                      %Mostramos la escala
subplot(1,2,2)                %Escribimos en la segunda pantalla
contour(x,y,T,60)             %Líneas de nivel
colorbar                      %Mostramos las escala
axis ([-3,3,-1,3])

Como se puede observar en la primera gráfica, la temperatura alcanza su apogeo en el punto (0,2), donde el color es más cálido. Esto también se puede apreciar en la segunda gráfica ya que hay mayor proximidad entre las curvas de nivel.

3 Estudio del gradiente de temperaturas

A continuación, se estudiará la dirección de máximo crecimiento de la temperatura, es decir, el gradiente, comprobando que este sea ortogonal a las curvas de nivel del apartado anterior.

[math]grad T = -2x.exp(-x^2+y^2-1)\vec i\ + 2y.exp(-x^2+y^2-1)\vec j\ [/math]
h= 0.1;                          %Paso de muestreo
                                 %Usamos coordenadas polares
r= 1:h:2;
tetha= 0:h:pi;
[rr,tt]= meshgrid(r,tetha);      %Mallado
                                 %Parametrizamos en cartesianas
x=rr.*cos(tt);
y=rr.*sin(tt);
T=exp(-x.^2+y.^2-1);             %Campo escalar de temperatura
figure
hold on
contour(x,y,T,40)                %Líneas de nivel
colorbar                         %Mostramos las escala
axis ([-3,3,-1,3])
                                 %Gradiente temperatura (en cartesianas)
tx=inline('-2*x.*exp(-x.^2+y.^2-1)','x','y')   %Derivada parcial respecto de x
ty=inline('2*y.*exp(-x.^2+y.^2-1)','x','y');   %Derivada parcial respecto de y
TX=tx(x,y);
TY=ty(x,y);
h= quiver(x,y,TX,TY);            %Representamos el campo vectorial
axis ([-3,3,-1,3])
title ('Gradiente de la Temperatura','Fontsize',18);
set(h,'maxheadsize',0.33)        %Cambiamos formato flechas


Campo vectorial del gradiente
Detalle de la ortogonalidad del gradiente respecto a las curvas de nivel














4 Campo vectorial en los puntos del sólido

Conociendo el campo de deformaciones de la placa:
[math] \vec u(ρ,θ) = sinθf(ρ)(\vec g_{ρ}) + 0(\vec g_{\theta}) + 0(\vec g_{z}) [/math]

Tenemos dos condiciones que se deben cumplir, con ellas podemos obtener f(ρ):

1º Que los puntos situados en ρ = 1 no sufren desplazamiento, lo que significa que: [math] \vec u(ρ,θ) = sin(θ) f(1) (\vec g_{ρ}) = 0 ⇔ f(1) = 0 [/math]

[math] |∇ · \vec u| = sinθ (2ρ − 1)/4 [/math]

Sabemos que la divergencia sigue la siguiente fórmula:

[math] ∇ ·\vec u= \frac{1}{ρ}[\frac{\partial}{\partial ρ}(ρ·sin({\theta})f(ρ))+\frac{\partial}{\partial{\theta}}(ρ·0)+\frac{\partial}{\partial z}(ρ·0)]=\frac{sin({\theta})(ρ f(ρ))'}{ρ} [/math]


[math] ∇ · \vec u=\frac{sin({\theta})(ρ f(ρ))'}{ρ}=\frac{sin({\theta})ρ(2ρ-1)}{4} [/math]

[math] (ρ f(ρ))'= (2ρ − 1)/4 [/math]

[math] ρ f(ρ)=ρ^3/6-ρ^2/8+c ⇔ f(ρ)=ρ^2/6-ρ/8+c/ρ [/math]

Para determinar c imponemos la primera condición [math]f(1) = 0 [/math] [math] f(1)=1/6-1/8+c ⇔ c=1/8-1/6=-1/24[/math]

[math] f(ρ)=ρ^2/6-ρ/8-1/(24ρ) [/math]

[math] \vec u(ρ,θ)=sen(θ)\frac{(2ρ-1)}{4}\vec g_{\rho}\ [/math]

5 Representación campo de vectores

A continuación, se representa el campo de desplazamientos calculado en el apartado anterior. Para ello se empleará la base ortonormal cartesiana por lo que se pasa el \(\vec g_{\rho}\) a [math] cosθ \vec i + senθ \vec j [/math], obteniendo: [math] \vec u(ρ,θ)=sen(θ). cos(θ). \frac{(2ρ-1)}{4} \vec i + sen^2(θ)\frac{(2ρ-1)}{4} \vec j [/math]


Campo de desplazamientos
h= 0.1;                     %Paso de muestreo                              
rr= 1:h:2;                  %Usamos coordenadas polares.
tt= 0:h:pi;
[RR,TT]= meshgrid(rr,tt);   %Mallado
x=RR.*cos(TT);
y=RR.*sin(TT);                     
axis ([-3,3,-1,3])
a= sin(TT).*cos(TT).*(2.*RR-1)/4;
b=(sin(TT)).^2.*(2.*RR-1)/4;
w=quiver(x,y,a,b);
axis ([-3,3,-1,3])
title('Campo de vectores','Fontsize',18);
set(w,'maxheadsize',0.33)   %Cambiamos formato flechas

Según nuestro gráfico, el campo de vectores es mayor en la zona central superior del semianillo, donde las flechas son más largas y más próximas.


6 Efecto de los desplazamientos

Para poder observar cómo afecta el campo de desplazamientos a nuestro sólido, lo representaremos antes y después de que este se produzca.


Efecto de los desplazamientos.
h= 0.1;                          %Paso de muestreo                                 
rr= 1:h:2;                       %Usamos coordenadas polares
tt= 0:h:pi;
[RR,TT]= meshgrid(rr,tt);        %Mallado
x=RR.*cos(TT);
y=RR.*sin(TT);
clf
%Sólido antes de los desplazamientos
subplot(1,2,1)                  
i=mesh(x,y,0*x);
view(2)
set(i,'EdgeColor','g');
axis ([-3,3,-1,3])
title('Placa no desplazada','Fontsize',25); 

%Sólido después de los desplazamientos
subplot(1,2,2)                     
A= sin(TT).*cos(TT).*(2.*RR-1)/4;
B=(sin(TT)).^2.*(2.*RR-1)/4; 
X=x+A;
Y=y+B;
mesh(X,Y,0*X)
view(2)
axis ([-3,3,-1,3])
title('Placa desplazada','Fontsize',25);

%Comparación de ambas representaciones. 
figure                                 
mesh(X,Y,0*X)
axis ([-3,3,-1,3])
view(2)
title('Desplazamiento de la placa','Fontsize',16);
hold on
i = mesh(x,y,0*x);
set(i,'EdgeColor','g');


Como podemos ver, el desplazamiento sigue la dirección del campo de vectores hallado anteriormente, deformándose más en la zona central superior del semianillo.

Comparación del antes y después del efecto.

7 Estudio de la Divergencia.

La divergencia es una medida del cambio de volumen local debido al desplazamiento, en nuestro caso, al tratarse de una sección plana, medirá el cambio de área. Esta viene dada por:

[math]\nabla·\vec u(ρ,θ) =\frac{1}{\sqrt g} \frac{\partial}{\partial x^i}({\sqrt g}{u_i})=\frac{1}{ρ} \frac{\partial}{\partial ρ}({ρ}{u_ρ})+\frac{1}{ρ} \frac{\partial}{\partial θ}({ρ}{u_θ})+\frac{1}{ρ} \frac{\partial}{\partial z}({ρ}{u_z})= senθ\frac{(2ρ-1)}{4}[/math].


Estudio de la Divergencia en el sólido.
Estudio de la Divergencia en el sólido en 3D.
h= 0.1;                        %Paso de muestreo
                               %Usamos coordenadas polares
rr= 1:h:2;
tt= 0:h:pi;
[RR,TT]= meshgrid(rr,tt);      %Mallado
x=RR.*cos(TT);
y=RR.*sin(TT);
DIVu=sin(TT).*(2.*RR-1)/4;
surf(x,y,DIVu);
view(2);
axis ([-3,3,-1,3])
colorbar;
title('Divergencia','Fontsize',20);


La divergencia es mayor en la parte superior del semianillo, corroborando lo hecho anteriormente, ya que es ahí donde el sólido sufre más deformación por efecto del desplazamiento. Si se analiza analíticamente, la divergencia, [math]\nabla·\vec u(ρ,θ)= senθ\frac{(2ρ-1)}{4}[/math], alcanza su máximo cuando el [math]senθ[/math] es máximo [math](θ=\pi/2)[/math], y [math]ρ[/math] máximo [math](ρ=2)[/math]. De esta manera, se obtiene que dicho punto es el [math](2, \pi/2)[/math]. Por otro lado, el punto mínimo coincidiría con la divergencia nula, ya que en nuestro caso solo hay un aumento de área. Esta se anularía cuando [math]senθ=0 [/math]([math] θ=\pi [/math] y [math] θ=0[/math]) y a lo largo de [math]ρ[/math], siendo las rectas de las bases del semianillo.

8 Estudio del Rotacional

A partir del operador rotacional se puede establecer la tendencia del campo vectorial a inducir rotación en un punto alrededor de un vector. Llegados a este punto, es obligado pasar a la visualización en 3 dimensiones por la propia definición de rotacional. Asimismo, el rotacional del campo de desplazamientos [math]\vec u(ρ,θ)[/math] viene dado por el campo vectorial:

[math]\nabla×\vec u(ρ,θ) = \frac{1}{\sqrt g}\left|\begin{matrix} \vec g_1 & \vec g_2 & \vec g_3 \\ \frac{\partial}{\partial x^1} & \frac{\partial}{\partial x^2} & \frac{\partial}{\partial x^3} \\ \vec u · \vec g_1 & \vec u · \vec g_2 & \vec u · \vec g_3 \end{matrix}\right|=\frac{1}{ρ}\left|\begin{matrix} \vec g_ρ & \vec g_θ & \vec g_z \\ \frac{\partial}{\partial ρ} & \frac{\partial}{\partial θ} & \frac{\partial}{\partial z} \\ \vec u · \vec g_ρ & \vec u · \vec g_θ & \vec u · \vec g_z \end{matrix}\right|=\frac{cosθ}{ρ} \frac{(2ρ-1)}{4}\vec g_z [/math].

Donde de verdad se puede apreciar el giro que induce el campo [math]\vec u [/math] es en la visualización del módulo de los vectores del campo rotacional:

[math]|\nabla×\vec u(ρ,θ)| =\frac{cosθ}{ρ}\frac{(2ρ-1)}{4}[/math].
Rotacional del vector desplazamiento.
h= 0.1;                          %Paso de muestreo                                
rr= 1:h:2;                       %Usamos coordenadas polares
tt= 0:h:pi;
[RR,TT]= meshgrid(rr,tt);        %Mallado
x=RR.*cos(TT);
y=RR.*sin(TT);
ROTu= abs((cos(TT)./RR).*(2.*RR-1)./4 );
%Rotacional en 2-D
subplot(1,2,1);
surf (x,y,ROTu);
axis equal
view(2);
colorbar;
title('Rotacional en 2-D', 'Fontsize',16);
%Rotacional en 3-D
subplot(1,2,2);
surf(x,y,ROTu);               
colorbar
title('Rotacional en 3-D', 'Fontsize',16);
Maximo=max(max(ROTu));

Al observar los gráficos, se llega a la conclusión de que el sólido es menos proclive a girar en los puntos en los que se produce una inversión del sentido del campo (θ=Π/2). Por el contrario, su tendencia al giro aumenta al acercarnos a θ=0 y θ=Π y, en menor medida, también aumenta al estar más lejanos al origen.

9 Tensiones normales

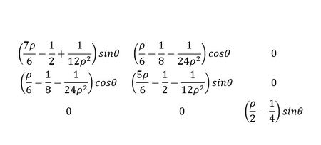
A continuación, analizaremos las tensiones a las que se ve sometida la placa, estas vienen definidas, en un medio elástico lineal, isótropo y homogéneo, por el tensor:
[math] σ(x,y)=λ∇.u.1 + 2με[/math]
Siendo ε la parte simétrica del ∇\(\vec u\) y λ y μ los coeficientes de Lamé que varían en función del material y que en este caso son ambos de valor 1.

Matriz de componentes de sigma

Pese a que los desplazamientos se realizan en el plano, las tensiones no tienen por qué ser planas, y se puede representar en las tres direcciones del espacio. Puesto que estamos empleando coordenadas cilíndricas, se representan las tensiones en las direcciones de la base ortonormal cilíndrica {\(\vec g_{ρ}\), \(\vec g_{\theta}\), \(\vec g_{z}\)}. Para ello, multiplicamos escalarmente la matriz sigma por el vector \(\vec g_{i}\) por ambos lados: tensión normales en dirección [math]\vec i [/math] = \(\vec g_{i}\) * σ * \(\vec g_{i}\)

a) dirección \(\vec g_{\rho}\): (1,0,0)*σ*(1,0,0) = [math](7ρ/6-1/2+1/(12ρ^2 ))sinθ [/math]

b) dirección \(\vec g_{\theta}\)/ρ: (0,1,0)*σ*(0,1,0) = [math] (5ρ/6-1/2-1/(12ρ^2 ))sinθ[/math]

c) dirección \(\vec g_{z}\): (0,0,1)*σ*(0,0,1) = [math](ρ/2-1/4)sinθ [/math]

Representamos las tensiones primero en 2D y, posteriormente en 3D en las dos direcciones en las que existen tensiones.

Representación de las tensiones en las direcciones rho y theta
h=0.1;
r=1:h:2;
t=0:h:pi;
[rr,tt]=meshgrid(r,t); 
clf
subplot(1,3,1);
xx=rr.*cos(tt);
yy=rr.*sin(tt);
a=(7*rr./6-1/2+1./(12*rr.^2)).*sin(tt); %Elemento (1,1) de la matriz sigma
b=(5*rr/6-1/2-1./(12*rr.^2)).*sin(tt);
surf(xx,yy,a)
axis equal
view(2)
colorbar
subplot(1,3,2);   %Elemento (2,2) de la matriz sigma
surf(xx,yy,b)
axis equal
view(2)
colorbar
subplot(1,3,3)
c=(rr/2-1/4).*sin(tt);            %Elemento (3,3) de la matriz sigma
surf(xx,yy,c)
axis equal
view(2)
colorbar



izquierda
h=0.1;
  r=1:h:2;
  t=0:h:pi;
 [rr,tt]=meshgrid(r,t); 
 clf
 subplot(3,1,1);
 xx=rr.*cos(tt);
 yy=rr.*sin(tt);
 a=(7*rr./6-1/2+1./(12*rr.^2)).*sin(tt); %Elemento (1,1) de la matriz sigma
 b=(5*rr/6-1/2-1./(12*rr.^2)).*sin(tt);
 c=(rr/2-1/4).*sin(tt); 
 surf(xx,yy,a)
 colorbar
 subplot(3,1,2);   %Elemento (2,2) de la matriz sigma
 surf(xx,yy,b)
 colorbar
 subplot(3,1,3);   %Elemento (3,3) de la matriz sigma
 surf(xx,yy,c)
 colorbar


10 Tensiones tangenciales

Una vez calculadas las tensiones normales podemos pasar a analizar las tensiones tangenciales, estas vienen dadas por σ.*\(\vec g_{\rho}\)+(\(\vec g_{\rho}\)*σ*\(\vec g_{\rho}\))\(\vec g_{\rho}\), y como \(\vec g_{\rho}\) tiene como coordenadas cilíndricas (1,0,0), esto da [math](ρ/6-1/8-1/(24ρ^2 ))cosθ[/math].

Tensiones tangenciales en la dirección de rho
h=0.1;
r=1:h:2;
t=0:h:pi;
[rr,tt]=meshgrid(r,t);
xx=rr.*cos(tt);
yy=rr.*sin(tt);
a=(rr/6-1/8-1./(24*rr.^2 )).*cos(tt);
subplot(2,1,1)
surf(xx,yy,a)
colorbar
subplot(2,1,2)
surf(xx,yy,a)
colorbar
view(2)


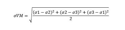
11 Tensión de Von Mises

Conociendo que la tensión de Von Mises se define como:

Fórmula de Von Mises

siendo \(\ σ_{i}\) con i=1,2,3 los autovalores de σ (también son conocidos como tensiones principales)

La tensión de Von Mises es una magnitud escalar que es un indicador para saber cuando un material inicia un comportamiento plástico y no elástico puro

Tensión de Von Mises
h=0.1;
r=[1:h:2];
t=[0:h:pi];
[rr,tt]=meshgrid(r,t);
%Creación de la matriz sigma
s=zeros(3,3);
%Creamos la matriz de von mises 
vm=zeros(32,11); %Tiene un tamaño 32x11 porque es el tamaño del mallado
for i=1:32*11
    rrr=rr(i)';
    ttt=tt(i)';
    s(1,1)=(7*rrr./6-1/2+1./(12*rrr.^2)).*sin(ttt);
    s(1,2)=(rrr/6-1/8-1./(24*rrr.^2 )).*cos(ttt);
    s(2,1)=s(1,2);
    s(2,2)=(5*rrr/6-1/2-1./(12*rrr.^2)).*sin(ttt);
    s(3,3)=(rrr/2-1/4).*sin(rrr);
    [v,d]=eig(s);                                      %Autovalores de la matriz sigma
    vm(i)=sqrt(((d(1,1)-d(2,2))^2+(d(2,2)-d(3,3))^2+(d(3,3)-d(1,1))^2)/2);  %Fórmula de Von Mises
end
%Cambiamos a cartesianas
xx=rr.*cos(tt);
yy=rr.*sin(tt);
surf(xx,yy,vm)
colorbar
view(2)


Como se puede apreciar en las gráficas de la tensión, el punto donde ésta alcanza el mayor valor es en las inmediaciones del punto (0,2)

12 Masa total de la placa

La densidad de la placa viene dada en coordenadas cartesianas

[math] d(x, y) = 1 + x*y*log(1 + x + y^2) [/math]

Puesto que la densidad se hace negativa en el intervalo de x (-2,0), se toma la función de densidad en valor absoluto:

[math] d (x,y)= 1+|x|ylog(1+|x|+y^2) [/math].

Para calcular la masa emplearemos la siguiente función:

h=1/1000; k=pi/3000;
r=1:h:2;
t=0:k:pi;
A=zeros(length(r)-1,length(t)-1);
for i=2:length(r)
    for j=2:length(t)
        A(i,j)=h*k*r(i)*(1+r(i)^2*abs(sin(2*t(j)))/2*log(1+r(i)*abs(cos(t(j)))+(r(i)*sin(t(i)))^2));
    end
end
masa=sum(sum(A))


La masa total es 9.1464 u.d. masa