Circuitos Eléctricos RL (Grupo 9B)
| Trabajo realizado por estudiantes | |
|---|---|
| Título | Circuitos Eléctricos RL. Grupo 9-B |
| Asignatura | Ecuaciones Diferenciales |
| Curso | Curso 2016-17 |
| Autores | Alejandro Requena Martín Enrique Lillo Saelices Pablo Méndez Saelices Francisco Javier Vela Cobos Diego Jiménez Arranz |
| Este artículo ha sido escrito por estudiantes como parte de su evaluación en la asignatura | |
Contenido
1 Introducción
El circuito eléctrico mas simple es aquel que contiene una bobina o inductor y una resistencia, además de una fuente de alimentación. El circuito eléctrico RL conecta en serie una bobina y una resistencia
En una resistencia R, la ley de Ohm establece i(t)=v(t)*R, donde i(t) es la intensidad de corriente (en amperios A), v(t) el voltaje (dado en voltios V) y R el coeficiente de resistencia (en Ohmios Ω). En un inductor L, la ley de Faraday establece v(t) = L*(di(t)/dt) donde L es el coeficiente de autoinducción (dado en Henrios H) También tenemos en cuenta las Leyes de Kirchhoff, que establecen el comportamiento de los circuitos:
1. Ley de corrientes: En cada nodo, la suma de corrientes que entra es igual a la que sale.
2. Ley de tensiones: En cada ciclo cerrado o malla, la suma de diferencias de potencial es nula.
Para escribir la ecuación diferencial del circuito de la figura, estando dicho circuito cerrado, y con las ecuaciones conocidas y escritas en la introducción, aplicamos las siguientes fórmulas:
- La ecuación que define la tensión de la resistencia (R) es: V R(t) = i(t) * R
- La ecuación que define la inductancia (L) es: V L(t) = L* (di(t)/dt)
Aplicando la ley de Kirchhoff de voltaje, tenemos la tensión total del circuito: V(t) = VR(t) + VL(t) = R * i(t) + L * (di(t)/dt) Nombrando a la variable “i” como “y”, obtenemos finalmente la ecuación diferencial: Ly’ + Ry = V(t)
2 Cálculo analítico y representación gráfica
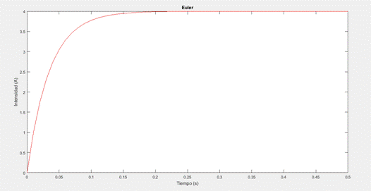
Suponiendo que en el instante t0 = 0 el circuito pasa de estar abierto a cerrado calculamos analíticamente la intensidad en cada instante de tiempo t>0. Para ello suponemos los siguientes datos: el voltaje de la fuente de alimentación es constante E(t) = 20V , la inductancia es L = 0.2 y la resistencia R = 5Ω.Introducimos los datos en la ecuación diferencial previamente obtenida: Ly’+ Ry = V(t)y la resolvemos analíticamente 5y + 0.2y’ = 20.
3 Método de Euler
Aplicamos el Método de Euler mediante un problema de valor inicial (P.V.I) y comparamos los resultados con los obtenidos analíticamente:
% Primer Paso: insertar los datos conocidos (condiciones iniciales).
t0=input('inserte tiempo inicial:'); %t[0,0.5]
tN=input('inserte tiempo final:');
y0=input('inserte valor inicial:'); %valor inicial=0
L=0.2;
R=5;
V=20;
% Segundo Paso: definir la función f (y'=f).
f=@(t,y)(V-R*y)/L;
% Tercer Paso: calcular 'N' y 'h' dependiendo de lo que den. Si dan la
% 'h', N=round((tN-t0)/h). Es decir, discretizamos.
h=0.01;
N=round((tN-t0)/h);
% Cuarto Paso: definir el vector de tiempos.
t=linspace(t0,tN,N+1);
% Quinto Paso: preparamos el vector 'y'(vector solución) de tamaño 't'.
y=zeros(size(t));
y(1)=y0;
% Sexto Paso: ahora aplicamos el esquema numérico del método que nos
% indiquen, en este caso, el método Euler. Por lo que creamos un bucle.
fori=1:N
y(i+1)=y(i)+h*f(t(i),y(i)); %Fórmula de Euler
end
plot(t,y,'r')
xlabel('Tiempo (s)')
ylabel('Intensidad (A)')
title('Euler')
[t',y']
La discretización elegida para que el método sea estable es muy pequeña, ya que, la función de la intensidad es exponencial, por lo que crece muy rápido respecto al tiempo. Por lo tanto, para que sea más precisa la discretización debe ser pequeña. En nuestro caso hemos elegido h=0.01
4 Método del Trapecio
El método del trapecio es un procedimiento que se basa en la integración numérica permitiendo calcular aproximadamente el valor de una integral definida. La regla se basa en aproximar el valor de la integral de f(x) por el de la función lineal situado entre los puntos de inicio y final del intervalo de la función, aproximándolo al área de un trapecio. Utilizando este método obtenemos los siguientes resultados:
% Primer Paso: insertar los datos conocidos (condiciones iniciales).
t0=input('inserte tiempo inicial:'); %t[0,0.5]
tN=input('inserte tiempo final:');
y0=input('inserte valor inicial:'); %valor inicial=0
L=0.2;
R=5;
V=20;
% Segundo Paso: definir la función f (y'=f).
f=@(t,y)(V-R*y)/L;
% Tercer Paso: calcular 'N' y 'h'. Discretizar.
h=0.05; %Cambiamos el paso a uno más grande que en Euler
N=round((tN-t0)/h);
% Cuarto Paso: definir el vector de tiempos.
t=linspace(t0,tN,N+1);
% Quinto Paso: preparamos el vector 'y', que es el vector solución aproximada, de tamaño 't'.
y=zeros(size(t));
y(1)=y0;
% Sexto Paso: método del Trapecio.
fori=1:N
y(i+1)=(y(i)+(h/2)*(f(t(i),y(i))+(V/L)))/(1+((h*R)/(2*L)));
end
plot(t,y,'r')
xlabel('Tiempo (s)')
ylabel('Intensidad (A)')
title('Trapecio')
[t',y']
Al ser el método del Trapecio más efectivo que el de Euler, podemos utilizar un tamaño de paso de 0.05, en este caso la intensidad se estabiliza pasados los 0,35 segundos. Si aumentamos o disminuimos la constante del inductor podemos observar que cuanto más aumente más se asemejará a una recta, con pendiente constante. En cambio, si vamos reduciendo el valor de la bobina, observamos que cada vez es más irregular la gráfica.
5 Aplicación Leyes de Kirchoff
La ley de tensiones del segundo lema de Kirchoff establece que, en cada malla,la suma de las diferencias de potencial eléctrico es nula, es decir, la suma de voltajes alrededor de un circuito cerrado es cero. Se obtienen por tanto estas dos primeras ecuaciones:
E(t) = R1*i1(t) + L2d/dt*i2(t) + R2*i2(t)
E(t) = R1*i1(t) + L1d/dt*i3(t) + R3*i3(t)
En el caso de la primera ecuación se selecciona el circuito cerrado excluyendo L1 y R3 y se despeja la tensión de la alimentación. En la segunda ecuación se selecciona el circuito cerrando excluyendo R2 y L2 e igualmente se despeja la tensión de la alimentación.
Por otra parte, el primer lema de Kirchoff afirma que, en cada nodo, la suma de corrientes que entra coincide con la suma de corrientes que sale. Obteniendose finalmente las siguiente ecuación : i1(t) = i2(t) + i3(t).
En nuestro caso entra la i1, y salen la i2 e i3.
Si las intensidades i2 e i3 en el instante 0 son nulas, significará que el instante 0, el circuito está apagado y no hay ni corriente ni tensión alguna.
6 Método de Euler Explícito y Trapecio Implicito
El sistema anterior resuelto mediante el método de Euler Explícito se resuelve numéricamente:
% Primer Paso: insertar los datos conocidos (condiciones iniciales).
t0=input('inserte tiempo inicial: '); %t[0,0.4]
tN=input('inserte tiempo final: ');
y0=input('inserte valor inicial: '); %valor inicial=[0;0]
ne=input('número de ecuaciones: '); %2 ecuaciones
R1=6;
R2=6;
R3=3;
L1=0.3;
L2=0.11;
V=20;
% Segundo Paso: definir la función f.
f=@(t,y)[(-R1*y(2)-R1*y(1)-R2*y(1)+V)/L2;(-R1*y(1)-R1*y(2)-R3*y(2)+V)/L1];
% Tercer Paso: calcular 'N' y 'h' dependiendo de lo que den. Si dan la
% 'h', N=round((tN-t0)/h). Es decir, discretizamos.
h=0.001;
N=round((tN-t0)/h);
% Cuarto Paso: definir el vector de tiempos.
t=t0:h:tN;
% Quinto Paso: preparamos el vector 'y'.
y=zeros(ne,N+1);
y(:,1)=y0;
% Sexto Paso: ahora aplicamos el esquema numérico: método Euler explícito.
fori=1:N
y(:,i+1)=y(:,i)+h*f(t(i),y(:,i));
end
i1=y(1,:)+y(2,:); %Hallamos i1
i2=y(1,:); %Extraemos i2, i3 de la función y
i3=y(2,:);
holdon
title('Método Euler Explícito');
plot(t,i1,'b')
plot(t,i2,'r')
plot(t,i3,'g')
legend('i1','i2','i3');
holdoff
Y por el método del Trapecio Implícito:
% Primer Paso: insertar los datos conocidos (condiciones iniciales).
t0=input('inserte tiempo inicial: '); %t[0,0.4]
tN=input('inserte tiempo final: ');
y0=input('inserte valor inicial: '); %valor inicial=[0;0]
ne=input('número de ecuaciones: '); %2 ecuaciones
R1=6;
R2=6;
R3=3;
L1=0.3;
L2=0.11;
V=20;
% Segundo Paso: definir la función f.
f=@(t,y)[(-R1*y(2)-R1*y(1)-R2*y(1)+V)/L2;(-R1*y(1)-R1*y(2)-R3*y(2)+V)/L1];
% Tercer Paso: calcular 'N' y 'h' dependiendo de lo que den. Si dan la
% 'h', N=round((tN-t0)/h). Es decir, discretizamos.
h=0.001;
N=round((tN-t0)/h);
% Cuarto Paso: definir el vector de tiempos.
t=t0:h:tN;
% Quinto Paso: preparamos el vector 'y'.
y=zeros(ne,N+1);
y(:,1)=y0;
% Sexto Paso: ahora aplicamos el esquema numérico: método Trapecio implícito.
I=eye(ne); %Matriz identidad
A=input('introduzca matriz elementos delante de las y(): ');
%En nuestro caso: %y'1= (-6*y(1)-6*y(2)-6*y(1)+20)/0.11
%y'2= (-6*y(1)-6*y(2)-3*y(2)+20)/0.3 --> A=[-12/0.11,-6/0.11;-6/0.3,-9/0.3];
T=[V/L2;V/L1]; %Matriz de los términos independientes
fori=1:N
y(:,i+1)=(I-h/2*A)\(y(:,i)+h/2*(f(t(i),y(:,i))+T));
end
i1=y(1,:)+y(2,:); %Hallamos i1
i2=y(1,:); %Extraemos i2, i3 de la función y
i3=y(2,:);
holdon
title('MétodoTrapecioImplícito');
plot(t,i1,'b')
plot(t,i2,'r')
plot(t,i3,'g')
legend('i1','i2','i3');
holdoff
Podemos observar que i1 al ser la suma de ambas es mucha mayor, llegando a alcanzar valores de 2,5A. La intensidad 2 al principio es mayor que la i3, pero luego decrece, estabilizándose en aproximadamente un amperio, y la i3 se estabiliza alrededor de 1,5. También observamos que las tres intensidades se estabilizan casi en el mismo tiempo, alrededor de 0,2 segundos.
Si en los métodos anterior cambiamos alguno de los datos del problema, podemos observar que las gráficas solución, tanto para el método de Euler Explícito como para el del Trapecio Implícito, varian. Cambiamos por ejemplo el valor de R3 a 9 ohmios:
Observamos también en las gráficas que las intensidades crecen muy rápido al principio al ser funciones exponenciales y que se estabilizan a partir de un periodo de tiempo.
7 Modificación de intensidades
Volviendo al programa inicial, con R3=3 Ohmios, suponemos que las intensidades i2 e i3 son iguales en el instante 0,02 segundos, con valor un amperio. Para saber qué valor tenían inicialmente hemos creado otro programa en Matlab, que mostramos a continuación:
% Primer Paso: insertar los datos conocidos (condiciones iniciales).
t0=input('inserte tiempo inicial: '); %t[0,0.02]
tN=input('inserte tiempo final: ');
y0=input('inserte valor inicial: '); %valor inicial=[1;1]
ne=input('número de ecuaciones: '); %2 ecuaciones
R1=6;
R2=6;
R3=3;
L1=0.3;
L2=0.11;
V=20;
% Segundo Paso: definir la función f.
f=@(t,y)[(-R1*y(2)-R1*y(1)-R2*y(1)+V)/L2;(-R1*y(1)-R1*y(2)-R3*y(2)+V)/L1];
% Tercer Paso: Discretizar.
h=0.001;
N=round((tN-t0)/h);
% Cuarto Paso: definir el vector de tiempos.
t=t0:h:tN;
% Quinto Paso: preparamos el vector 'y'.
y=zeros(ne,N+1);
y(:,N+1)=y0;
% Sexto Paso: ahora aplicamos el esquema numérico: método Euler explícito.
fori=N+1:-1:2
y(:,i-1)=y(:,i)-h.*f(t(i),y(:,i));
end
y(:,1)
plot(t,y,'-')
legend('i2','i3');
Seleccionando un paso h=0,001 obtenemos que los valores de i2 e i3 inicialmente son:
-0,6560 y 0,3344 respectivamente, para que en el instante 0,02 segundos sus valores sean 1 A.









