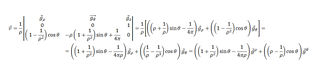
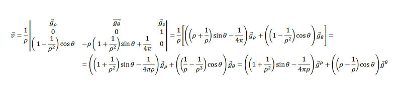
Archivo:NUEVO V.jpg
De MateWiki
Tamaño de esta previsualización: 800 × 176 píxeles. Otras resoluciones: 320 × 70 píxeles | 1203 × 264 píxeles.
Archivo original (1203 × 264 píxeles; tamaño de archivo: 143 KB; tipo MIME: image/jpeg)
Historial del archivo
Haz clic sobre una fecha/hora para ver el archivo a esa fecha.
| Fecha y hora | Miniatura | Dimensiones | Usuario | Comentario | |
|---|---|---|---|---|---|
| actual | 01:11 10 dic 2013 | 1203 × 264 (143 KB) | Tania Ruiz Ruiz (Discusión | contribuciones) |
- No puedes sobrescribir este archivo.
Usos del archivo
La siguiente página enlaza a este archivo: