Evaluación de cuenca hidrográfica para el río Omañas

De MateWiki
Revisión del 22:32 22 may 2015 de Paulalacanal (Discusión | contribuciones) (Resultados para el proyecto)

Saltar a: navegación, buscar
Trabajo sobre SIG
Título Evaluación de cuenca hidrográfica para el río Omañas
Autores • María del Carmen Lacasa Santos
• Jose Luis Sanz García
• David Ortiz Liriano
• Paula Lacanal Cuadrado.
Asignatura Sistemas de Información Geográfica Aplicados a la Ingeniería Civil
Curso Curso 14/15
Este artículo ha sido escrito por estudiantes como parte de su evaluación en la asignatura


1 Introducción y Objetivo

El siguiente artículo desarrolla el estudio de la cuenca hidrográfica del río Omañas, a la altura de La Garandilla,barrio de la población de Valdesamario, situada en la provincia de León.

El objetivo de este estudio es obtener información para conseguir datos de cara a la realización de un proyecto de construcción de una presa en el lugar indicado. Para ello es necesario la recopilación de datos de carácter pluviométricos, topográficos, geomorfológicos y ambientales que se combinarán de tal manera que obtengamos diversos mapas temáticos con información valiosa para la toma de decisiones sobre el proyecto. En concreto se obtendrá la cuenca hidrográfica y sus subcuencas, el nivel adecuado de embalse respetando las condiciones ambientales, la topografía tras la implantación de la presa, la cota de coronación de la misma y la curva de capacidad del embalse.

La realización de gran parte del estudio se realizará mediante el programa de Información geográfica QuantumGIS, siempre atendiendo al procesado posterior de la información obtenida mediante programas de CAD o Excel.

2 Datos de Partida

La base para la realización de todo proyecto de ingeniería civil es la topografía. En este caso, además de la topografía son de vital importancia los datos pluviométricos y medioambientales. A continuación se presenta la forma en que se han recopilado todos los datos.

Para la obtención de la topografía y caracterización del terreno hay que recurrir al Instituto Geográfico Nacional (IGN), donde es posible descargarse gran cantidad de mapas en formato digital y modelos topográficos de todo el territorio español. En nuestro caso, es necesario descargarse un Modelo Digital del Terreno y por ello se han empleado las hojas 0101, 0102, 0127 y 0128 de la colección de mapas del IGN 1:50000 y MDT25, todas ellas extraídas del Centro Nacional de Información Geográfica (CNIG).

Los datos de las estaciones meteorológicas se han obtenido del servicio electrónico de la Agencia Estatal de Meteorología (AEMET)

Como consideración medioambiental, se tendrán en cuenta los Lugares de Importancia Comunitaria, o también llamados LIC. Se tratan de zonas a nivel europeo desginadas de interés comunitario por su importante contribución a restaurar el hábitat natural, incluyendo ecosistemas, biodiversidad, fauna y flora. Estos lugares son importantes pues se integran en la Red Natura 2000. Se ha acudido a la página web del IDEE en donde se ha obtenido el mapa de los LIC de Castilla y León.


Figura 1. Vértices geodésicos.

3 Metodología

3.1 Localización

En primer lugar, es necesario localizar el lugar en donde se va a ubicar la presa para empezar con el estudio. Para ello, en el programa QGIS se introducirán las cuatro hojas, comentadas en el apartado 2, de la siguiente manera:

  1. Mapa 1:50.000 en formato ráster correspondiente a las cuatro hojas, que informa de la ubicación de los núcleos de población, ríos, lugares de interés o algún hito.
  2. Capa vectorial asociada al 50.000 MDT correspondientes a la cuatro hojas número , que proporciona información sobre el relieve.
  3. Mapa de los LICs de Castilla y León en formato ráster, que informa sobre los lugares de interés ambiental, pero que se mantendrá desactivada hasta que sea necesario evaluar si la inundación del embalse afecta a alguna de estas zonas.

3.2 Cuencas y subcuencas hidrográficas

En lo que se refiere al desarrollo de la cuenca y subcuencas en los alrededores de nuestra presa el estudio se centra al principio en la localización de unas subcuencas primeras para luego la creación de una cuenca principal a partir de ellas. Para ello, debemos introducir en QGIS las hojas de 1:50.000 del IGN descrito anteriormente. Para trabajar más cómodamente, se crea un clip de la zona aproximada donde va a quedar la cuenca. Dentro de dicho clip podemos observar mejor la zona añadiendo 4 MDT que incluyen la zona a estudiar. Para la creación de las subcuencas de la zona debemos crear un directorio de GRASS para trabajar en él. A continuación utilizamos el comando ''r.watershed'' y ponemos como tamaño mínimo para cada cuenca (número de celdas) igual a 500.


Una vez que tenemos las subcuencas en una capa ráster de GRASS tenemos que convertirla a capa Vectorial de GRASS, utilizamos el comando ''r.to.vect.area''. Una vez que tenemos la capa vectorial en GRASS la exportamos desde GRASS a GIS con el comando ''r.in.gdal.qgis.loc''. Con esto lo que hacemos es poder utilizar en GIS los datos de las áreas de cada subcuenca, pinchando con el ratón en cada una de ellas y utilizando el comando ''identificar objetos espaciales''. El siguiente paso consiste determinar la red hídrica que conforma nuestra cuenca de tal forma que buscamos el conjuntos de subcuencas que contienen los ríos que llegan a mi presa. Tras ello seleccionamos dichas subcuencas con el comando ''SELECIÓN'' y creamos una nueva capa poligonal formada por la unión de todas ellas. La manera de realizar esta nueva capa es mediante el comando ''UNION''. Conviene convertir esa capa poligonal en una capa vectorial de linea que contenga solamente el contorno que delimita la cuenca de análisis.

Para finalizar este apartado repetimos el proceso de unión reagrupando aquellas subcuencas que se ajustan al mismo criterio hidrológico, ya sea por capacidad de infiltración, vegetación, pendientes o usos del suelo.

Figura 2. Subcuencas en formato GRASS
Figura 3. Subcuencas hidrográficas.

.

3.3 Pluviómetros y polígonos de Thiessen

Una vez obtenida la cuenca hidrográfica y realizada la división en subcuencas se procede a aplicar el Método de los Polígonos de Thiessen para calcular la precipitación media areal de la cuenca, pero para ello es necesario incluir en el programa QGIS los pluviometros de AEMET. La introducción de los mismos se realiza a través de un documento en formato .txt que se introduce en el programa como una capa vectorial nueva. Tras ello aplicamos una ''herramienta de geometría'' de las capas vectoriales llamada ''polígonos de Voronoi'' que nos realiza una nueva capa vectorial de polígono con diversos polígonos cuyos baricentros son los pluviómetros.

A continucación necesitamos calcular la influencia de cada pluviómetro en cada una de las subcuencas, para lo cual se procede a calcular la intersección de los poligonos de Voronoi calculados y las subcuencas. Aplicamos una ''herramienta de geoproceso'' llamada ''intersección'' , de tal manera que vamos haciendo la intersección subcuenca por subcuenca con los diferentes polígonos de Thiessen. Se recuerda que que las subcuencas deben estar en una capa vectorial. A continucación se presensenta una imagen con las diferentes polígonos dicha capa.

3.4 Cauces

Figura 4. Cauces principales.

Para proseguir con la evaluación de la Presa del rio Omañas es necesario conocer el tiempo de concentración de cada subcuenca. Este parámetro se calcula mediante la longitud de los cauces de los ríos y el desnivel que conllevan en su avance. Lo primero que hay que hacer es digitalizar los cauces, para lo cual creamos una nueva capa vectorial de linea y trazamos las diferentes líneas de los ríos basándonos en la topografía (MDT) y el las imágenes (MTN). Se debe realizar este proceso atendiendo a la división en subcuencas, de tal manera que cada cauce comienza y termina en los bordes de la cuenca. Para facilitar el trabajo posterior se creó un nuevo atributo en la capa que indica la longitud del cauce. Para ello se abre la tabla de atributos, se añade una nueva columna llamada longitud y se abre la ''calculadora de campos'' , ''geometría'' y ''length'' .

Una vez realizada la digitalización utilizaremos el comando de información para conocer la cota de los puntos de interés (esta cota se obtiene a partir de la capa MDT), que unido a la longitud de los cauces nos permiten conocer el tiempo de concentración.

3.5 Inundación del embalse

inundación a la 1028.3

3.6 LIC

Figura 5. Afección a lugares de interés comunitario.

Tras la inundación, es preciso conocer cómo afecta el embalse de estudio a las zonas de la Red Natura 2000, en concreto a los LICs o las ZEPAS, y si se verán afectadas por la construcción de la presa. En el caso de que se vean inundadas, se debería replantear la construcción de la presa es otra ubicación pues son zonas protegidas de alto nivel ecológico.

Así pues se procede a activar capa vectorial de polígono la capa vectorial de polígono de LIC de Castilla y León y la superponemos a la capa de inundación del embalse. Para una mejor visualización aplicamos TRANSPARENCIA a la capa de inundación y la colocamos encima de la de LICs observando que zonas son las afectadas y cuales no.

En el caso que procede, se observa que el embalse no afectaría a ninguna de estas zonas, por lo que sería viable, en términos medioambientales, la construcción de la presa del estudio.

Figura 6: Curvas de Nivel

3.7 Curvas de nivel

El objetivo de realizar las curvas de nivel con QGIS es la obtención de una cartografía de detalle de la cerrada de la presa sobre el río Omañas de cara a su definición sobre el terreno También se debe mencionar que, incluso, sería de utilidad obtener esta capa para tomar la decisión de donde ubicar la misma cerrada de la presa. Para ello, lo primero que se hizo fue realizar un “CLIP” del MDT25-128-H30-LIDAR. El motivo de este primer paso es reducir el trabajo a realizar por el programa, para que la capa resultante no sea muy “pesada”. El proceso a seguir es pinchar en la pestaña "Raster” ”Extracción” y ”Curvas de nivel”. Este comando nos pide la distancia entre curvas de nivel. En nuestro caso, hemos obtenido las líneas de nivel cada 1, 5 y 50 metros y el resultado obtenido es el correspondiente a la figura 6.

Es posible exportar esta capa de curvas de nivel al programa de diseño AUTOCAD en vistas a la proyección y definición de la propia presa, aunque no sea objeto de este estudio.

4 Resultados para el proyecto

En primer lugar, se muestra la cuenca obtenida para el río Omañas, cuyo área equivale a \402,715 Km^2\).

Figura 7. Cuenca hidrográfica de la presa proyecto sobre el río Omañas.

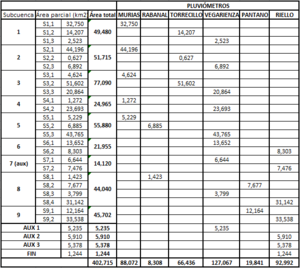
Se muestra una imagen en donde se puede apreciar los puntos en donde se sitúan los pluviometros necesarios para realizar este estudio y los polígonos de Thiessen obtenidos y además se adjunta la tabla en donde se obtienen las áreas de dichos polígonos.

Figura 8. Polígonos de Thiessen.
Figura 4. Áreas de los polígonos de Thiessen.
  1. A continuación se muestra una tabla que muestra una serie de datos de los tiempos de concentración obtenidos como se ha explicado antes.
Figura 9. Tabla de tiempo de concentración.


Figura 7. Inundación a la cota del NMN.
Figura 10. Curva de capacidad del embalse.



Figura 11. Curvas de nivel en la cerrada.

5 Conclusiones