Archivo:GraficoVelocidadDistancia.png
De MateWiki
Revisión del 12:07 1 dic 2025 de J.granda (Discusión | contribuciones) (Grafico Distancia-Velocidad del vórtice de Rankine dado)
Tamaño de esta previsualización: 800 × 508 píxeles. Otras resoluciones: 320 × 203 píxeles | 1401 × 890 píxeles.
Archivo original (1401 × 890 píxeles; tamaño de archivo: 42 KB; tipo MIME: image/png)
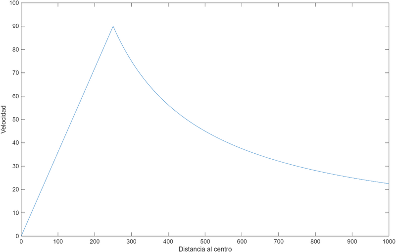
Grafico Distancia-Velocidad del vórtice de Rankine dado
Historial del archivo
Haz clic sobre una fecha/hora para ver el archivo a esa fecha.
| Fecha y hora | Miniatura | Dimensiones | Usuario | Comentario | |
|---|---|---|---|---|---|
| actual | 12:07 1 dic 2025 | 1401 × 890 (42 KB) | J.granda (Discusión | contribuciones) | Grafico Distancia-Velocidad del vórtice de Rankine dado |
- No puedes sobrescribir este archivo.
Usos del archivo
La siguiente página enlaza a este archivo: