La Catenaria (Grupo 19)
| Trabajo realizado por estudiantes | |
|---|---|
| Título | La catenaria. Grupo 19 |
| Asignatura | Teoría de Campos |
| Curso | 2025-26 |
| Autores |
|
| Este artículo ha sido escrito por estudiantes como parte de su evaluación en la asignatura | |
Se denomina catenaria a la curva de equilibrio que adopta un hilo flexible y de densidad homogénea, al estar sujeto exclusivamente a la acción de un campo gravitatorio uniforme y con sus extremos fijos. En términos más precisos, la catenaria no constituye una curva única, sino una familia de curvas. Además, cada punto de la catenaria cumple con el principio de equilibrio estático para las componentes horizontales de fuerza, resultando en una cadena estable libre de desplazamientos laterales.
Asimismo, Galileo creyó que la catenaria era una parábola por su forma parecida pero ambas curvas son diferentes; pues mientras la parábola está descrita por una ecuación cuadrática, en la expresión de la catenaria se involucran funciones hiperbólicas. Estas son sus fórmulas:
La a de la fórmula de la catenaria indica el radio de curvatura en el vértice de la catenaria, es decir, en el punto más bajo. Como se puede ver en la imagen, la curva va cambiando según cambia la a, en este trabajo se va a usar a=3.
Contenido
1 Dibujo de la curva
% Definir la parametrización
t = linspace(-1, 1, 1000);
x = t;
y = 3*cosh(t/3);
% Dibujar la curva
figure;
plot(x, y, 'LineWidth', 2,'Color','g');
title('Curva parametrizada: \gamma(t) = (t, 3cosh(t/3))');
xlabel('x');
ylabel('y');
grid on;
2 Vector velocidad y vector aceleración
2.1 ¿Qué representan?
El vector velocidad describe cómo va cambiando la posición del punto que recorre la catenaria indicando la rapidez con la que avanza a lo largo de la curva, siendo más grande en las zonas donde la pendiente es mayor. Por su parte, el vector aceleración muestra cómo varía esa velocidad y apunta hacia arriba porque la función hiperbólica crece con rapidez en ambas direcciones del parámetro t.
2.2 Ecuaciones de velocidad y aceleración
La curva está parametrizada en coordenadas cartesianas como:
con A>0 y A=3, la parametrización de la curva es
Derivando esta función respecto del tiempo obtenemos la ecuación de la velocidad, volviendo a derivar respecto del tiempo se obtiene la ecuación de la aceleración.
2.2.1 Ecuación de la velocidad:
2.2.2 Ecuación de la aceleración:
2.3 Código de la grafica velocidad aceleración
% Definir la parametrización
a=3;
t = linspace(-1, 1, 20);
x = t;
y = a*cosh(t/a);
% Dibujar la curva
figure;
plot(x, y, 'LineWidth', 2);
title('Curva parametrizada: \gamma(t) = (t, a*cosh(t/a))');
xlabel('x');
ylabel('y');
grid on;
% Velocidad y aceleración
V1 = ones(size(t));
V2 = (a/a)*sinh(t/a);
A1 = zeros(size(t));
A2 = (a/a^2)*cosh(t/a);
% Gráfica
figure
hold on
plot(x, y, 'r');
quiver(x, y, V1, V2, 1, "Color", "g");
quiver(x, y, A1, A2, 1, "color", "m");
axis equal
hold off;
% Centrado de la grafica en el origen de coordenadas
ax = gca;
ax.XAxisLocation = 'origin';
ax.YAxisLocation = 'origin';
% Etiquetas
xlabel("x", "FontSize", 10);
ylabel("y", "FontSize", 10);
% Etiquetas
title('Gráfica velocidad aceleración')
legend("Catenaria","Velocidad","Aceleración")
axis("equal")
3 Longitud de la curva
La longitud de la curva es la distancia real medida a lo largo del recorrido entre dos puntos específicos. Matemáticamente, se define como la integral del módulo (o norma) del vector velocidad con respecto a un parámetro, t. Para una catenaria parametrizada, la longitud de la curva se calcula como la integral definida del módulo de la velocidad en el intervalo t ∈ (-1, 1). En el ámbito de la ingeniería, esta métrica es fundamental para el cálculo de materiales, ya que permite determinar con precisión la cantidad de recursos necesaria para cubrir una determinada distancia o trayectoria curva.
3.1 Código de la longitud de la curva
% Parámetros iniciales
a = -1;
b = 1;
n = 100; % Número de subintervalos
f = @(t) sqrt(1 + sinh(t/3).^2); % Integrando (longitud de catenaria)
% Paso del intervalo
h = (b - a) / n;
% Puntos del método del rectángulo (lado izquierdo)
X = linspace(a, b-h, n);
% Cálculo numérico de la integral
valinic = sum(f(X));
integral_rect = h * valinic;
% Gráfica de la función y los rectángulos
t_valores = linspace(a, b, 500);
y_valores = f(t_valores);
figure;
hold on;
plot(t_valores, y_valores, 'b', 'LineWidth', 2);
% Dibujar rectángulos
for i = 1:n
x_rect_plot = [X(i), X(i), X(i)+h, X(i)+h];
y_rect_plot = [0, f(X(i)), f(X(i)), 0];
fill(x_rect_plot, y_rect_plot, 'r', 'FaceAlpha', 0.3, 'EdgeColor', 'r');
end
title('Aproximación de la integral con el método del rectángulo');
xlabel('t');
ylabel('f(t)');
legend('Función', 'Rectángulos');
hold off;
% Resultado
fprintf('La aproximación de la integral con el método del rectángulo es: %.6f\n', integral_rect);
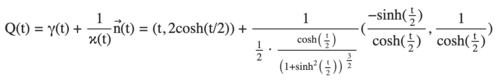
4 Vector tangente y normal
4.1 Vector tangente
El vector tangente es un vector paralelo a la curva en un punto dado y representa la dirección y la tasa de cambio de la curva en ese punto. Se puede conseguir a partir de la siguiente fórmula.
Este vector es unitario, es decir, tiene magnitud uno y por lo tanto se tiene que dividir la formula del vector tangente:
entre su módulo:
consiguiendo así el vector tangente unitario con la siguiente fórmula:
%formula catenaria
t=linspace(-1,1,20);
x=t;
y=3*cosh(t/3);
% Vectores tangentes unitarios interiores
t1i=(1)./(sqrt(1+(sinh(t/3)).^2));
t2i=sinh(t/3)./(sqrt(1+(sinh(t/3)).^2));
% Vectores tangentes unitarios
hold on
plot(x,y,'LineWidth',2, 'Color','c');
quiver(x,y,t1i,t2i,'Color','m');
hold off
% Centrado de la gráfica en el origen de coordenadas
ax = gca;
ax.XAxisLocation = 'origin';
ax.YAxisLocation = 'origin';
% Etiquetas
title('Vector tangente unitario')
legend("Catenaria","Vector tangente unitario")
axis("equal")
ax.XAxisLocation = 'origin';
ax.YAxisLocation = 'origin';
box on
4.2 Vector normal
% Definición de los parámetros
a=-1;
b=1;
h=0.09;
t=a:h:b;
% Definición de la curva
x=t;
y=cosh(t);
% Vectores normales unitarios orientación interior
n1i=sinh(t/3)./(sqrt(1+(sinh(t/3)).^2));
n2i=-(t./t)./(sqrt(1+(sinh(t/3)).^2));
% Vectores normales unitarios orientación exterior
n1e=-sinh(t/3)./(sqrt(1+(sinh(t/3)).^2));
n2e=(t./t)./(sqrt(1+(sinh(t/3)).^2));
hold on
plot(x,y,'LineWidth',2,'Color','g');
quiver(x,y,n1i,n2i,'Color','m');
quiver(x,y,n1e,n2e,'Color','k');
hold off
% Centrado de la gráfica en el origen de coordenadas
ax = gca;
ax.XAxisLocation = 'origin';
ax.YAxisLocation = 'origin';
% Etiquetas
title('Vectores normales')
legend("Catenaria","Vector normal interior","Vector normal exterior")
axis("equal")
ax.XAxisLocation = 'origin';
ax.YAxisLocation = 'origin';
box on
5 Curvatura
n =100;
t = linspace ( -1 , 1 , n) ;
k = (1/2)*(cosh(t/3)./((1+(sinh(t/3)).^2)).^(3/2)) ;
figure
plot (t ,k ,'m') ;
axis equal
title ('Curvatura catenaria (t). ') ;
xlabel('t');
ylabel('\kappa(t)');
grid on
6 Circunferencia osculatriz
La circunferencia osculatriz de una curva C en un punto P es la circunferencia que tiene el máximo orden de contacto con la curva en ese punto, es decir, comparte la misma posición, el mismo vector tangente (t) y el mismo vector normal principal (n) que la curva. En esencia, es la circunferencia que mejor se ajusta a la curva C en P. Además, se usa en ingeniería para aproximar trayectorias suaves (como en el diseño de vías) y en física para modelar el movimiento curvilíneo.
6.1 Radio de curvatura
Es el inverso de la curvatura κ(t):
6.2 Centro de curvatura
Se encuentra en la recta normal principal de la curva y su posición OZ se define por la ecuación fundamental:
% Punto de la catenaria donde calculamos la circunferencia osculatriz
t = -0.5;
% Curvatura k(t) de la catenaria y radio de curvatura R
k = 1./(3*(cosh(t/3)).^2);
R = 1/k; % Radio de curvatura R = 1/k
% Punto de la catenaria: (x(t), y(t))
P = [t, 3*cosh(t/3)];
% Vector normal unitario (ya está normalizado)
n = [ -tanh(t/3), 1./cosh(t/3) ];
% Centro de la circunferencia osculatriz
C = P + R * n;
% Puntos para dibujar la circunferencia
theta = linspace(0, 2*pi, 150);
x_circ = C(1) + R*cos(theta);
y_circ = C(2) + R*sin(theta);
% DIBUJO
figure;
plot(x_circ, y_circ, 'b-', 'LineWidth', 2);
hold on;
% Catenaria
T = -1:0.05:1;
x_cat = T;
y_cat = 3*cosh(T/3);
plot(x_cat, y_cat, 'r', 'LineWidth', 3);
% Ajustes de gráfica
plot(P(1), P(2), 'ko', 'MarkerFaceColor','k'); % punto donde se aproxima
axis equal;
grid on;
title('Circunferencia Osculatriz y Catenaria');
xlabel('Eje X');
ylabel('Eje Y');
legend('Circunferencia osculatriz','Catenaria','Punto P');
hold off;
7 Parabola y catenaria
% Parámetros
A = 3;
x = linspace(-10, 10, 500); % Rango de valores para x
% Ecuaciones
y_catenaria = A * cosh(x / A); % Ecuación de la catenaria
y_parabola = A + (x.^2) / A; % Ecuación de la parábola
% Grafica
figure;
plot(x, y_catenaria, 'r-', 'LineWidth', 2); % Graficar catenaria en azul
hold on;
plot(x, y_parabola, 'b--', 'LineWidth', 2); % Graficar parábola en rojo
hold off;
% Personalización del gráfico
title('Catenaria vs Parábola');
legend('Catenaria: y = A cosh(x / A)', 'Parábola: y = A + x^2 / A');
axis tight;