Ecuación del calor. Yan, Otelo, Mika
| Trabajo realizado por estudiantes | |
|---|---|
| Título | Series de Fourier. Grupo 6-A |
| Asignatura | EDP |
| Curso | 2023-24 |
| Autores | Miguel Cazorla Pedraza
Otelo Gallego Ayala Yan Wang |
| Este artículo ha sido escrito por estudiantes como parte de su evaluación en la asignatura | |
Contenido
1 Introducción
En este articulo primero estudiaremos la ecuación del calor en dominio acotado, y más tarde trataremos su solución fundamental en todo [math] \mathbb{R} [/math]. Además, graficaremos los resultados para entender mejor la teoría de estas ecuaciones y compararemos diversos casos.
2 Ecuación del calor I
Vamos a dibujar diferentes soluciones de la ecuación del calor en una dimensión. Para ello, partimos del siguiente enunciado:
[math] \textit{Se considera una varilla metálica que ocupa el intervalo [0,1] y que se encuentra aislada por su superficie lateral, de manera que la conducción de calor sólo se produce}[/math] [math] \textit{en la dirección longitudinal. La temperatura inicial de la varilla es } [/math] [math] 0^oC [/math]. [math] \textit{ En el extremo izquierdo se consigue mantener la temperatura a } 0^oC \textit{mientras que en el} [/math] [math] \textit{ derecho la temperatura es de } 1^oC [/math].
Suponiendo que tanto la conductividad térmica como el calor específico tienen un valor constante [math] 1 [/math], y llamando [math] u(x,t) [/math] a la función temperatura en función del espacio y el tiempo, tenemos que el anterior enunciado se ve modelizado por el siguiente sistema EDP:
Para dar solución a este sistema, resolveremos primero el problema resultante de tomar [math] t \rightarrow \infty [/math], que implica [math] \frac{du}{dt}(x,t) = 0 [/math] por lo que se denomina caso estacionario.
La solución estacionaria es [math] V(x) = x [/math]. Veamos cómo es su representación gráfica en 3D:
La solución del sistema original por separación de las variables que obtenemos es:
Y su representación gráfica se aproxima bastante a la estacionaria:
A continuación observamos en una gráfica el flujo de calor saliente y entrnte en ambos extremos de la varilla a lo largo del tiempo:
YAN
3 Cambio en el coeficiente de conductividad térmica
En este apartado vamos a variar el coeficiente de conductividad térmica de 1 a 1/2. Esto nos deja la siguiente ecuación diferencial:
Nótese que este cambio en el coeficiente de conductividad no tiene influencia en la solución del problema estacionario, por lo que tras homogeneizar las condiciones frontera resulta el siguiente sistema:
Por tanto, la solución para este caso es:
Y su representación gráfica es la siguiente:
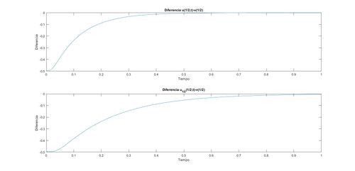
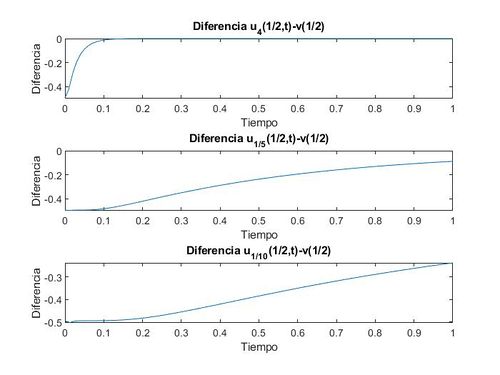
Vemos que a simple vista tiene una apariencia casi idéntica a la solución del problema original. Por ello, para entender la influencia del coeficiente de conductividad en la función solución del sistema, veamos las diferencias entre la soluciones [math] u_{1/2} [/math] , [math] u [/math] y la solución estacionaria evaluada en [math] x=\frac{1}{2} [/math]
En estas gráficas de diferencias podemos ver como ambas se acercan al valor cero según se va aumentando la [math] t [/math], puesto que las soluciones de acercan más a la estacionaria. Además, podemos ver como aquella solución con el coeficiente de conducción más bajo lo hace de una forma más lenta que la original. De hecho, probando con distintos valores para este coeficiente podemos concluir que cuanto menor es, más tarda en alcanzarse la solución estacionaria.
4 Cambio en la condición inicial
Pasamos ahora a variar la condición inicial. Para ello, tendremos que la temperatura en el extremo derecho es también 0 °C, pero consideramos que la temperatura inicial de la barra viene dada por la función [math] u_0(x) = \max\{0, 1-4·|x-1/2|\} [/math]. Así, el sistema EDPS resultante es el siguiente:
En este caso, la solución estacionaria es [math] V(x) = 0 [/math] y por tanto, la gráfica de la temperatura según el espacio y el tiempo es:
La solución del sistema por separación de las variables pierde el término x por ser nula la estacionaria y se queda en:
donde [math]c_k = 2·\int_{0}^{1}\sin(k \pi x)·u_0(x)[/math], tras haber considerado la extensión impar de [math]u_0(x)[/math] en [math][-1,1][/math]
Para este sistema no hemos calculado una expresión de la solución, sino que hemos ido calculando los coeficientes de Fourier con la regla del trapecio para cada k y hemos obtenido la siguiente gráfica:
APARTADO DE LOS FLUJOS - YAN
5 Cambios en las condiciones de frontera y principio del máximo
Por último, repetiremos el apartado anterior pero esta vez suponiendo que la barra está aislada térmicamente en el extremo derecho. Esto quiere decir que pasamos a tener una condicion de frontera de tipo Neumann en [math] x = 1 [/math] :
Si introducimos esta condición en el sistema queda así:
Al resolver por separación de variables obtenemos las siguientes autofunciones:
Véase que esta no es la base trigonométrica usual, y de hecho este conjunto de funciones no tendría por que ser una base. Sin embargo, se tiene que estas forman un conjunto completo en [0,1] y además se puede comprobar que son ortogonales analíticamente puesto que se cumple que:
Así, podemos concluir que este conjunto de autofunciones es efectivamente una base. Por ello, la solución de nuestro sistema EDPS resulta ser:
donde [math]c_k = 2·\int_{0}^{1}\sin((2k+1)\frac{\pi}{2}x)·u_0(x)[/math], tras haber considerado la extensión impar de [math]u_0(x)[/math] en [math][-1,1][/math]
Gráficamente:
6 Ecuación del calor II
En esta sección vamos a dibujar diferentes soluciones de la ecuacion del calor usando la solucion fundamental.
En primer lugar, tomamos [math]x \in [-1,1] [/math] y [math]x \in [10^{-2},1] [/math] para dibujar la solución fundamental de la ecuación del calor en dimensión 1, que como vimos en clase es:
Ahora, vamos a dibujar la solución de la ecuación del calor en una dimensión en el semiespacio [math] x \gt 0 [/math] con condiciones:
Para ello, ...
A contuación veremos la relación de la ecuación del calor con la convolución.
Si tomamos la función [math]u_0(x) = 1_{[-1,1]} [/math] como condición inicial y denotamos la solución fundamental como [math] K(x,t) [/math] , entonces:
es la solución de [math] u_t - u_{xx} = 0[/math] para [math] x \in \mathbb{R} [/math]
Si representamos esta solución para distintos valores de t obtenemos las siguientes gráficas:
Podemos concluir que ...
Para terminar, tomamos el intervalo espacial [math] (x_1,x_2) = [-1,1]^2[/math] para representar la solución fundamental de la ecuación del calor en dimensión 2 para los mismos valores de t:
Observamos que cuanto más cerca está t de 0, más singular es la solución.
