Ecuación del calor. Yan, Otelo, Mika

De MateWiki
Saltar a: navegación, buscar
Trabajo realizado por estudiantes
Título Series de Fourier. Grupo 6-A
Asignatura EDP
Curso 2023-24
Autores Miguel Cazorla Pedraza

Otelo Gallego Ayala Yan Wang

Este artículo ha sido escrito por estudiantes como parte de su evaluación en la asignatura


1 Introducción

En este articulo primero estudiaremos la ecuación del calor en dominio acotado, y más tarde trataremos su solución fundamental en todo [math] \mathbb{R} [/math]. Además, graficaremos los resultados para entender mejor la teoría de estas ecuaciones y compararemos diversos casos.

2 Ecuación del calor I

Vamos a dibujar diferentes soluciones de la ecuación del calor en una dimensión. Para ello, partimos del siguiente enunciado:

[math] \textit{Se considera una varilla metálica que ocupa el intervalo [0,1] y que se encuentra aislada por su superficie lateral, de manera que la conducción de calor sólo se produce}[/math] [math] \textit{en la dirección longitudinal. La temperatura inicial de la varilla es } [/math] [math] 0^oC [/math]. [math] \textit{ En el extremo izquierdo se consigue mantener la temperatura a } 0^oC \textit{mientras que en el} [/math] [math] \textit{ derecho la temperatura es de } 1^oC [/math].

Suponiendo que tanto la conductividad térmica como el calor específico tienen un valor constante [math] 1 [/math], y llamando [math] u(x,t) [/math] a la función temperatura en función del espacio y el tiempo, tenemos que el anterior enunciado se ve modelizado por el siguiente sistema EDP:

[math] \left\{ \frac{du}{dt}(x,t) - \frac{d^2u}{dx^2}(x,t)=0, \hspace{5mm} x\in[0,1] \hspace{3mm} t\gt0 \atop u(x,0)=0, \hspace{5mm} u(0,t)=0, \hspace{5mm} u(1,t)=1, \hspace{5mm} x\in[0,1] \hspace{3mm} t\gt0 \right. [/math]

Para dar solución a este sistema, resolveremos primero el problema resultante de tomar [math] t \rightarrow \infty [/math], que implica [math] \frac{du}{dt}(x,t) = 0 [/math] por lo que se denomina caso estacionario.

[math] \left\{ - \frac{d^2V}{dx^2}(x)=0, \hspace{5mm} x\in[0,1]\atop \hspace{5mm} V(0)=0, \hspace{5mm} V(1)=1 \hspace{5mm} x\in[0,1] \right. [/math]

La solución estacionaria es [math] V(x) = x [/math]. Veamos cómo es su representación gráfica en 3D:

Solución estacionaria

La solución del sistema original por separación de las variables que obtenemos es:

[math] u(x,t) = x + \sum_{k=1}^{\infty}{\frac{2(-1)^k}{k\pi}\sin(k \pi x)e^{-k^2 \pi^2 t}} [/math]

Y su representación gráfica se aproxima bastante a la estacionaria:

Solución del problema original

A continuación observamos en una gráfica el flujo de calor saliente y entrnte en ambos extremos de la varilla a lo largo del tiempo:

YAN



3 Cambio en el coeficiente de conductividad térmica

En este apartado vamos a variar el coeficiente de conductividad térmica de 1 a 1/2. Esto nos deja la siguiente ecuación diferencial:

[math] \frac{du_{1/2}}{dt}(x,t) - \frac{1}{2}\frac{d^2u_{1/2}}{dx^2}(x,t)=0 [/math]

Nótese que este cambio en el coeficiente de conductividad no tiene influencia en la solución del problema estacionario, por lo que tras homogeneizar las condiciones frontera resulta el siguiente sistema:

[math] \left\{ \frac{du_{1/2}}{dt}(x,t) - \frac{1}{2}\frac{d^2u_{1/2}}{dx^2}(x,t)=0, \hspace{5mm} x\in[0,1]\hspace{3mm} t\gt0 \atop u_{1/2}(x,0)=x , \hspace{5mm} u_{1/2}(0,t)=0, \hspace{5mm} u_{1/2}(1,t)=0, \hspace{5mm} x\in[0,1]\hspace{3mm} t\gt0 \right. [/math]


Por tanto, la solución para este caso es:

[math] u_{1/2}(x,t) = x + \sum_{k=1}^{\infty}{\frac{2(-1)^k}{k\pi}\sin(k \pi x)e^{\frac{-k^2 \pi^2 t}{2}}} [/math]

Y su representación gráfica es la siguiente:

Representación de u_{1/2},u, y las diferencias


Analicemos también la diferencia entre la solución y el estado estacionario en [math] x = 1/2 [/math] para [math] t \in [0,1] [/math] considerando ambos coeficientes de conductividad:

Para [math] K = 1 [/math]

Y para [math] K = 1/2 [/math], se obtiene:

Por tanto, la conclusión obtenida es

4 Cambio en la condición inicial

Pasamos ahora a variar la condición inicial. Para ello, consideremos que la temperatura en el extremo derecho es también 0 °C:

[math] u(1,t) = 0 , t \in [0,1] [/math]

y consideramos la función [math] u_0(x) = \max\{0, 1-4·|x-1/2|\} [/math] de manera que:


[math] u(x,0) = u_0(x) , x \in [0,1] [/math]

A continuación, realizaremos el mismo análisis que en el primer apartado de este documento para el nuevo sistema planteado.

5 Cambios en las condiciones de frontera y principio del máximo

Por último, repetiremos el apartado anterior pero esta vez suponiendo que la barra está aislada térmicamente en el extremo derecho. Esto quiere decir que pasamos a tener una condicion de frontera de tipo Neumann en [math] x = 1 [/math] :

[math] u_t(1,t) = 0 [/math]

6 Ecuación del calor II

En esta sección vamos a dibujar diferentes soluciones de la ecuacion del calor usando la solucion fundamental.


En primer lugar, tomamos [math]x \in [-1,1] [/math] y [math]x \in [10^{-2},1] [/math] para dibujar la solución fundamental de la ecuación del calor en dimensión 1, que como vimos en clase es:

[math] u(x,t) = \frac{1}{2 \sqrt{\pi t}}e^{-\frac{1}{4t}x^2} [/math]
Solución fundamental

Ahora, vamos a dibujar la solución de la ecuación del calor en una dimensión en el semiespacio [math] x \gt 0 [/math] con condiciones:

[math] u(0,t) = 1 [/math]
[math] u(x, 0) = 0 [/math]

Para ello, ...

A contuación veremos la relación de la ecuación del calor con la convolución.

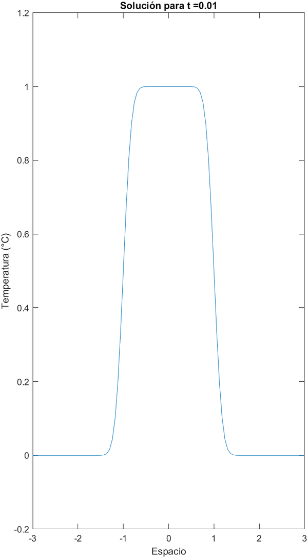
Si tomamos la función [math]u_0(x) = 1_{[-1,1]} [/math] como condición inicial y denotamos la solución fundamental como [math] K(x,t) [/math] , entonces:

[math] u(x,t) = \int_{-\infty}^{\infty} K(x-y,t)·u_0(y) dy [/math]

es la solución de [math] u_t - u_{xx} = 0[/math] para [math] x \in \mathbb{R} [/math]

Si representamos esta solución para distintos valores de t obtenemos las siguientes gráficas:

Solución para t = 0.001
Solución para t = 0.01
Solución para t = 0.1

Podemos concluir que ...

Para terminar, tomamos el intervalo espacial [math] (x_1,x_2) = [-1,1]^2[/math] para representar la solución fundamental de la ecuación del calor en dimensión 2 para los mismos valores de t:

Solución n=2 para t = 0.001
Solución n=2 para t = 0.01
Solución n=2 para t = 0.1

Observamos que cuanto más cerca está t de 0, más singular es la solución.