La Catenaria

De MateWiki
Revisión del 21:23 12 dic 2023 de Alvaro.matias (Discusión | contribuciones) (Empleo de la curva en Ingeniería Civil)

Saltar a: navegación, buscar

Una catenaria es una curva ideal que representa físicamente la curva generada por una cadena, cuerda o cable sin rigidez flexional, suspendida de sus dos extremos y sometida a un campo gravitatorio uniforme (peso propio). Ha desempeñado un papel esencial en la ingeniería civil a lo largo de la historia, utilizándose como herramienta resistente y segura en diversas estructuras, siendo los puentes colgantes y los cables de alta tensión dos de los ejemplos más famosos. La catenaria permite distribuir de manera uniforme las fuerzas y cargas, contribuyendo a la resistencia y estabilidad estructural. Su aplicación en cables de alta tensión facilita la creación de sistemas de transmisión eficientes, capaces de cubrir extensas distancias con mínimas deformaciones.
centro

Trabajo realizado por estudiantes
Título La Catenaria. Grupo 12
Asignatura Teoría de Campos
Curso 2023-24
Autores Alejandro Jiménez García
Marta García-Moris Fontcuberta
Alejandro Seises López
Alberto Nuñez Cobo
Álvaro Matías Acedo
Este artículo ha sido escrito por estudiantes como parte de su evaluación en la asignatura

1 Representación de la curva

Se tiene la siguiente curva plana parametrizada en coordenadas cartesianas que representa una catenaria:

[math] γ(t) = (x(t),y(t)) = (t,cosh(t)), t∈(-1,1)[/math]

Donde:

[math]γ:t\to\mathbb{R}^2[/math]

Para dibujarla hacemos uso del software de programación y cálculo numérico Matlab/Octave.

Representación gráfica de la catenaria
% Definición de los parámetros
 a=-1; b=1;h=0.01;
 t=a:h:b;
% Definición de la curva
x=t;
y=cosh(t);
plot(x,y,"Color","b");
% Centrado de la gráfica en el origen de coordenadas
ax = gca;
ax.XAxisLocation = 'origin';
ax.YAxisLocation = 'origin';
% Etiquetas
title('Curva Catenaria')
axis("equal")
ax.XAxisLocation = 'origin';
ax.YAxisLocation = 'origin';
box on
grid minor


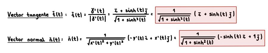
2 Vectores velocidad y aceleración

Siendo [math] γ(t) [/math] el vector posición:
El vector velocidad es la derivada con respecto al tiempo del vector posición.

[math] γ´(t) = x′(t)\vec i + y′(t)\vec j = \vec i + senh(t) \vec j [/math]

El vector aceleración es la derivada segunda de la posición con respecto al tiempo (derivada de la velocidad con respecto al tiempo).

[math] γ´´(t) = x′′(t)\vec i + y′′(t)\vec j = cosh(t) \vec j[/math]

Los vectores velocidad y aceleración se representan gráficamente usando el siguiente código:

Vector velocidad y vector acelración
% Definición de los parámetros
a=-1;
b=1;
h=0.1;
t=a:h:b;
% Definición de la curva
x=t;
y=cosh(t);
% Definición de la velocidad
v1=t./t;
v2=sinh(t);
% Definición de la aceleración
a1=0.*t;
a2=cosh(t);
hold on
plot(x,y,'LineWidth',2);
quiver(x,y,v1,v2);
quiver(x,y,a1,a2, "Color","g");
hold off
% Centrado de la gráfica en el origen de coordenadas
ax = gca;
ax.XAxisLocation = 'origin';
ax.YAxisLocation ='origin';
% Etiquetas
title('Vector velocidad y aceleración')
legend("Catenaria","Velocidad","Aceleración")
axis("equal")
xlim([-1 1])
ylim([0.8 2])
ax.XAxisLocation = 'origin';
ax.YAxisLocation = 'origin';
box on
grid minor


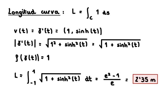
3 Longitud de la curva

La longitud de la curva se ha calculado a través del Método del Rectángulo usando el siguiente código:

function A = rectangulo(f, a, b, n)
f=@(t) sqrt(1+(sinh(t)).^2)
a=-1
b=1
n=200
A = 0;
h = (b-a)/n; 
for k=1:n
xk = a + h*k;     % Valor de x en el extremo del intervalo
A = A + f(xk)*h;  % Sumamos el área del rectángulo
end

end


Cálculo de la longitud de la curva

Dando como resultado queda de la siguiente forma:

L = 2,35 m

4 Vector tangente y vector normal

Cálculo

4.1 Código vector tangente

Vector tangente
x=t;
y=cosh(t);
% Vectores tangentes unitarios interiores
t1i=(t./t)./(sqrt(1+(sinh(t)).^2));
t2i=sinh(t)./(sqrt(1+(sinh(t)).^2));
% Vectores tangentes unitarios 
hold on
plot(x,y,'LineWidth',2);
quiver(x,y,t1i,t2i);
hold off
% Centrado de la gráfica en el origen de coordenadas
ax = gca;
ax.XAxisLocation = 'origin';
ax.YAxisLocation = 'origin';
% Etiquetas
title('Vector tangente unitario')
legend("Catenaria","Vector tangente unitario")
axis("equal")
ax.XAxisLocation = 'origin';
ax.YAxisLocation = 'origin';
box on
grid minor

4.2 Código vector normal

Vector normal
% Definición de los parámetros
a=-1;
b=1;
h=0.09;
t=a:h:b;
% Definición de la curva
x=t;
y=cosh(t);
% Vectores normales unitarios orientación interior
n1i=sinh(t)./(sqrt(1+(sinh(t)).^2));
n2i=-(t./t)./(sqrt(1+(sinh(t)).^2));
% Vectores normales unitarios orientación exterior
n1e=-sinh(t)./(sqrt(1+(sinh(t)).^2));
n2e=(t./t)./(sqrt(1+(sinh(t)).^2));
hold on
plot(x,y,'LineWidth',2);
quiver(x,y,n1i,n2i);
quiver(x,y,n1e,n2e);
hold off
% Centrado de la gráfica en el origen de coordenadas
ax = gca;
ax.XAxisLocation = 'origin';
ax.YAxisLocation = 'origin';
% Etiquetas
title('Vectores normales')
legend("Catenaria","Vector normal interior","Vector normal exterior")
axis("equal")
ax.XAxisLocation = 'origin';
ax.YAxisLocation = 'origin';
box on
grid minor


5 Curvatura y gráfica

Cálculo

5.1 Código

a=-1;
b=1;
h=0.09
t=a:h:b    %Valores del intervalo
Ka=(sqrt(1+(sinh(t)).^2).^3)./cosh(t);
plot(t,Ka);
grid on
xticks([-1 1])
Curva y gráfica

6 Circunferencia osculatriz en t=0

Cálculo centro y radio
Circunferencia osculatriz
% Definimos el radio y el centro de la circunferencia
t=0
K=cosh(t)/(1+sinh(t)^2)^(3/2)
radio=1/K
n=1/sqrt(1+sinh(t)^2)*[-sinh(t),1];
Q=[t,cosh(t)]+(1/K)*n

% Crear un conjunto de ángulos para generar puntos en la circunferencia
theta = linspace(0, 2*pi, 100);

% Calcular las coordenadas de los puntos en la circunferencia
x_circunferencia = Q(1) + radio * cos(theta);
y_circunferencia = Q(2) + radio * sin(theta);

% Parametrización de la catenaria
tt =-1:0.09:1;
x_catenaria = tt;
y_catenaria = cosh(tt);

% Dibujo de la circunferencia y la catenaria
figure;
plot(x_circunferencia, y_circunferencia, 'b-', 'LineWidth', 2);
hold on;  % Mantener la gráfica actual y agregar nuevas
plot(x_catenaria, y_catenaria, 'r-', 'LineWidth', 2);

axis equal; % Hace que las unidades en x e y sean iguales
grid on;
title('Circunferencia y Catenaria');
xlabel('Eje X');
ylabel('Eje Y');
legend('Circunferencia', 'Catenaria');
hold off;  % Liberar la gráfica actual para futuros trazados


7 Fenómeno descrito por la curva

8 Empleo de la curva en Ingeniería Civil

La catenaria en ingeniería civil es una curva muy común, al tratarse de una curva natural sometida a su propio peso. Este fenómeno de una cuerda o cable sometido a gravedad se da en los cables principales de los puentes colgantes, que es el cable de donde cuelgan las péndolas que se anclan al tablero. Un ejemplo de un puente de esta tipología puede ser el Golden Gate en San Francisco (Estados Unidos). Otro fenómeno en el que interviene esta curva es en las líneas eléctricas ferroviarias, que son los cables de donde se obtiene la energía eléctrica del tren. Estos cables cuelgan sometidos a su propio peso de unos elementos llamados catenarias dando lugar a la curva en cuestión. También es importante mencionar, que esta curva aparece también en los puentes de tipo arco con tablero superior, como puede ser el Puente de Gudián (Galicia).


Obras Modernas
Gateway Arch
Probablemente la obra arquitectónica con forma de catenaria más famosa del siglo XX, es el monumento nacional más alto de los Estados Unidos de América con una altura de 192 metros, distancia que es exactamente igual, pese a que la ilusión óptica sugiera lo contrario, a la separación existente entre los dos puntos de arranque a nivel del suelo.

Gateway Arch y ecuación matemática que se aproxima a su curva

9 Superficie de revolución alrededor del eje vertical

Podemos ver la catenaria en mediante la siguiente parametrización en coordenadas cartesianas en [math] \mathbb{R}^3 [/math]:
[math] γ(t) = (x(t),y(t),z(t)) = (0,cosh(t),t), t∈(-1,1)[/math]
Donde:
[math]γ:t\to\mathbb{R}^3[/math]
Para obtener la superficie de revolución hacemos uso del software de programación y cálculo numérico Matlab/Octave.

9.1 Código

Superficie
% Parámetros
u = linspace(-1, 1, 100);
v = linspace(0, 2*pi, 100);
[U, V] = meshgrid(u, v);
% Parametrización de la superficie en coordenadas cilíndricas
X = cosh(U) .* cos(V);
Y = cosh(U) .* sin(V);
Z = U;
% Dibujar la superficie de revolución
figure;
surf(X, Y, Z, 'EdgeColor', 'none');
title('Superficie de Revolución de la Catenaria alrededor del eje Z');
xlabel('x');
ylabel('y');
zlabel('z');
axis equal;
grid on;


10 Distribución de la densidad a lo largo de la superficie

La densidad de la superficie es [math]f(x,y,z)=z^2(x,y,z)=z^2[/math]. Para obtener cómo se distribuye la densidad en la superficie, se puede considerar la variación de [math]f[/math] en la parametrización de la superficie. En este caso, la parametrización queda [math]x(u,v)=(cosh(u)cos(v),cosh(u)sin(v),u)[/math]. Siendo la densidad [math]f[/math] a lo largo de la superficie: [math]f(u,v)=z^2(u,v)=u^2[/math] De lo que se deduce que la densidad aumenta cuadráticamente con respecto a [math]u[/math], la coordenada a lo largo del eje [math]z[/math], es decir, a mayor distancia del eje [math]z[/math], mayor es la densidad.

Una vez conocida la distribución de la densidad en la superficie, se puede calcular la masa de la superficie.

10.1 Cálculo de la masa de la superficie conociendo la densidad en la superficie

La masa de la superficie se obtiene integrando la función densidad dada sobre la superficie. El cálculo es el siguiente: [math]M=∬SfdS[/math] donde [math]S[/math] es la superficie parametrizada. La integral se puede expresar en coordenadas paramétricas [math](u,v)[/math] como:

[math]M=\int_a^b\int_c^d f(u,v)*\sqrt[]{((∂x/∂u)^2+(∂x∂v)^2+(∂x/∂u)^2)}\; dv \; du[/math]

En este caso, se puede utilizar la parametrización [math]x(u,v)=(cosh(u)cos(v),cosh(u)sin(v),u)[/math] y la densidad [math]f(u,v)=u^2[/math] en la integral.

El código para cálcular la masa de la superficie es el siguiente:

% Parámetros
u = linspace(-1, 1, 1000);
v = linspace(0, 2*pi, 1000);
[U, V] = meshgrid(u, v);
% Parametrización de la superficie en coordenadas cilíndricas
X = cosh(U) .* cos(V);
Y = cosh(U) .* sin(V);
Z = U;
% Densidad
densidad = U.^2;
% Calcular la masa de la superficie
M = trapz(v, trapz(u, densidad .* sqrt((sinh(U).^2 + cosh(U).^2) .* U.^2), 1));
disp(['La masa de la superficie es aproximadamente: ' num2str(M)]);


La masa de la superficie seria 5,12

11 Referencias


Bibliografía

  • Carlos Ivorra, La Catenaria, Universidad de Valencia (La catenaria)
  • Departamento de Matemáticas ETSICCP, La Catenaria en Arquitectura, Universidad Politécnica de Madrid (La catenaria en arquitectura)


Enlaces externos