Circuitos Eléctricos RL
Contenido
1 Introducción
Un circuito RL es un circuito eléctrico que contiene una resistencia y una bobina en serie, además de una fuente de alimentación. Se dice que la bobina se opone transitoriamente al establecimiento de una corriente en el circuito. En una resistencia R, la Ley de Ohm establece que:
[math]i(t)={v(t)\over R}[/math] siendo [math]i(t)[/math] la intensidad de corriente en amperios ([math]A[/math]), [math]v(t)[/math] el voltaje en voltios ([math]V[/math]) y [math]R[/math] el coeficiente de resistencia en ohmios ([math]Ω[/math]).
En un inductor L, la Ley de Faraday impone:
[math]v(t)=L {d\over dt} i(t)[/math] donde [math]L[/math] es el coeficiente de autoinducción en henrios ([math]H[/math]).
También tenemos en cuenta las Leyes de Kirchoff, que establecen el comportamiento de los circuitos:
- Ley de corrientes: En cada nodo, la suma de corrientes que entra es igual a la que sale.
- Ley de tensiones: En cada ciclo cerrado o malla, la suma de diferencias de potencial es nula.
2 Ley de Kirchoff de Voltaje o Tensiones
La ley de voltaje de Kirchhoff indica que la suma de voltajes alrededor de una trayectoria o circuito cerrado debe ser cero. \[{d\over dt}i(t)+{R\over L}i(t)-{E(t)\over L}=0\]
Por estar en serie y aplicando esta ley, podemos ver que la tensión total es la tensión en la resistencia (R) más la tensión en la bobina (L). Por lo que la f.e.m. es igual al voltaje de la bobina más la resistencia.
Aplicando la ley de Ohm a la resistencia y la de Faraday a la bobina, se obtiene la siguiente ecuación:
2.1 Cálculo analítico y representación
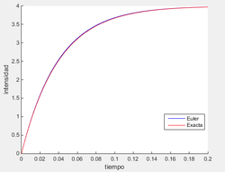
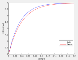
Suponiendo que en el instante t=0 el circuito pasa de estar abierto a cerrado, obtenemos la intensidad para cada instante t>0 teniendo en cuenta que la fuente de alimentación tiene un voltaje constante de E=20V, L=0.2H y R=5Ω. El cálculo analítico de la intensidad quedará resuelto de la siguiente manera, mediante un Problema de Valor Inicial (P.V.I.) o de Cauchy:
2.2 Método de Euler
Aplicamos el método de Euler basado en la aproximación del valor de la función a la recta tangente en cada punto conocido, mediante un problema de valor inicial (P.V.I.) y lo comparamos con los resultados que hemos obtenido analíticamente.
%Datos del problema:
L=0.2;%Autoinductancia de la bobina
R=5;%Resistencia
tau =L/R; %Definición
E=20; %Valor de la fem
t0=0;%Tiempo
tN=5*tau; %Tiempo de carga
i0=0; %En t=0 está descargado
funcion='100-i/0.04'; %i'=E/L-i/tau
f=inline(funcion,'t','i');
%Discretización:
h=0.001;
N=round((tN-t0)/h);
%Crear el vector t
t=linspace(t0,tN,N+1);
i=zeros(1,N+1);
i(1)=i0;
%Euler
for k=1:N
i(k+1)=i(k)+h*f(t(k),i(k));
end
ir=E/R*(1-exp(-t./tau)); %solción analítica
clf
%Representación:
hold on
plot(t,i,'b')
plot(t,ir,'r')
xlabel('tiempo')
ylabel('intensidad')
legend('Euler','Exacta','Location','Best');
hold off
Se ha elegido tN=5*tau=0.2s porque es el tiempo que tarda en cargarse la bobina
En la gráfica podemos ver que efectivamente el tiempo de carga es 5*tau.
¿Cómo hay que elegir el paso de discretización temporal para que el método sea estable? 0.05 es estable
