Logística con umbral (Grupo 10-C)

De MateWiki
Revisión del 18:30 6 mar 2015 de Pablo.molinero.brito (Discusión | contribuciones) (Interpretacion desde el punto de vista poblacional)

Saltar a: navegación, buscar
Trabajo realizado por estudiantes
Título Logística con umbral (Grupo 10-C)
Asignatura Ecuaciones Diferenciales
Curso Curso 2014-15
Autores

Íñigo Díez García (1051)


Pablo Molinero Brito (1172)


Diego Navarro Gozalo (1049)


Dariusz Adam Pabian (1187)


Javier Santander Gimeno (1223)


Pablo Vázquez Melgarejo (1090)

Este artículo ha sido escrito por estudiantes como parte de su evaluación en la asignatura


1 Introducción

Este articulo tiene por objetivo estudiar el modelo logístico mediante el análisis de dos problemas independientes. En primer lugar, trataremos un problema de valor inicial que resolveremos empleando distintos metodos numéricos para posteriormente interpretarlos para unas constantes fijas dadas, cambiando el número paso y valor inicial de la función. Posteriormente se procede a la interpretación de los resultados.

La segunda parte del trabajo, consiste en la resolución de un sistema y su interpretación. Para ello, nos encontramos de nuevo con unas constantes fijas dadas en los seis apartados, para los seis casos distintos.


2 Modelo de población de una especie

Nos encontramos con el siguiente problema de valor inicial. [math] \left\{\begin{array}{c} y'= -ry(1-\frac{y}{M1})(1-\frac{y}{M2}), t\gt0 \\ y=y0 \end{array}\right. [/math]

Asociamos este problema a un modelo de población de una especie que interacciona con el entorno. Lo resolveremos numericamente mediante los métodos de Euler, Heun y Runge-Kutta de orden 4. Los datos proporcionados son los siguientes: el intervalo [math] I=[0,100] [/math], los saltos de paso son [math] h=1 [/math], [math]h=0.1 [/math], [math]h=0.01[/math] (con esto veremos cómo cambia la precisión de la solución en función de los pasos de salto escogidos), y las constantes r, M1, M2, cuyos valores son 0.04, 30 y 100, respectivamente. El valor inicial de la función y es igual a 60.

%Modelo logístico 

%DATOS DEL PROBLEMA
t0=0;
tN=100;
y0=60;
h=input('introduce numero de paso: ');
M1=30;
M2=100;
r=0.04;

%Calculamos número de subintervalos
N=round((tN-t0)/h);

%Definimos la variable independiente
t=t0:h:tN;

%Creamos los vectores solución y,w,z 
y=zeros(1,N+1); %Euler
w=zeros(1,N+1); %Heun
z=zeros(1,N+1); %Runge-Kutta

%Damos el valor inicial a la primera posicion del vector
y(1)=y0;
w(1)=y0;
z(1)=y0;

%Bucle
for i=1:N
 %Euler
 y(i+1)=y(i)+h*(-r*y(i)*(1-(y(i)/M1))*(1-(y(i)/M2))); 
 %Heun
 k1=(-r*w(i)*(1-(w(i)/M1))*(1-(w(i)/M2))); 
 k2=(-r*(w(i)+h*k1)*(1-((w(i)+h*k1)/M1))*(1-((w(i)+h*k1)/M2)));
 w(i+1)=w(i)+(h/2)*(k1+k2); 
 % Runge-Kutta
 A1=(-r*z(i)*(1-(z(i)/M1))*(1-(z(i)/M2)));
 A2=(-r*(z(i)+1/2*A1*h)*(1-((z(i)+1/2*A1*h)/M1))*(1-(z(i)+1/2*A1*h)/M2)); %z(i)+1/2*A1*h)*(1-(z(i)+1/2*A1*h))
 A3=(-r*(z(i)+1/2*A2*h)*(1-((z(i)+1/2*A2*h)/M1))*(1-(z(i)+1/2*A2*h)/M2));
 A4=(-r*(z(i)+A3*h)*(1-((z(i)+A3*h)/M1))*(1-(z(i)+A3*h)/M2));
 z(i+1)= z(i)+h/6*(A1+2*A2+2*A3+A4);
end

%Obtenemos la tabla de resultados
[t',y',w',z']
hold on

%Gráfico
plot(t,y,'r')
plot(t,w,'g')
plot(t,z)
legend('Euler','Heun','Runge-Kutta','Location','best'); 
hold off

%Máximo error entre métodos 
e1=max(abs(y-w))   %Euler y Heun
e2=max(abs(z-y))   %Runge-Kutta y Euler
e3=max(abs(w-z))   %Heun y Runge-Kutta


2.1 Interpretación numérica

Se observa que los tres métodos empleados en la resolución del sistema se aproximan entre sí conforme disminuye el paso. Todos los métodos se consideran correctos, porque proporcionan información precisa de la solución. Para mejor visualización y compresión del ejercicio, presentamos tres gráficas. En cada una de ellas, aparecen las tres soluciones (cada una de ellas corresponde a un método). La primera gráfica corresponde a un salto de paso [math]h=1[/math]; la segunda a un [math]h=0.1[/math], y la tercera a un [math]h=0.01[/math].

el método de Euler al ser de orden 1 es sera menos preciso que los de Heun (orden 2) y Runge-Kutta (orden 4). Para acotar esta diferencia calculamos los errores máximos entre los métodos para cada tamaño de paso.

2.1.1 Salto de paso h=1

Grafica para h=1
Grafica para h=1 zoom















Como vemos en la gráfica, los tres métodos se asemejan mucho a simple vista. Para ver la precisión hemos calculado los errores entre los métodos, siendo [math]e1[/math] el error cometido entre Euler y Heun , [math]e2[/math] el error entre Runge-Kutta y Euler y [math]e3[/math] el error entre Heun y Runge-Kutta.

                                        [math]e1 = 0.1860[/math] ;  [math]e2 = 0.1789[/math]  ;  [math]e3 = 0.0074[/math]

Como vemos en la gráfica de la derecha, y en el cálculo de los errores, podemos decir que el método de Euler nos da una solución dispar a las de Heun y Runge-Kutta, que son bastante más parecidas.

2.1.2 Salto de paso h=0.1

Grafica para h=0.1
Grafica para h=0.1 zoom
Grafica para h=0.1 zoom entre Heun y Runge-Kutta


































Vemos que los errores esta vez quedan mas pequeños ya que ha disminuido el intervalo, hemos dibujado dos graficas con zoom para apreciar mejor las diferencias entre los metodos. Se sigue la misma tendencia que con el salto de paso anterior; la solución de Euler difiere de las otras dos, que se asemejan, en términos relativos.

                            [math]e1 = 0.0177[/math] ;  [math]e2 = 0.0177[/math] ;  [math]e3 = 7.1680e-05[/math]

2.1.3 Salto de paso h=0.01

Grafica para h=0.01


















Vemos como con este tamaño de paso tan pequeño los errores son muy bajos. No hemos hecho zoom como en los apartados anteriores ya que no se aprecian mayores diferencias.

                                       [math]e1 = 0.0018[/math] ;  [math]e2 = 0.0018[/math] ; [math]e3 = 7.1475e-07[/math]

2.2 Interpretacion desde el punto de vista poblacional

Grafica para h=1

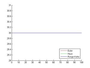
Se puede asimilar el problema de valor inicial a un modelo de población. La evolución del número de especímenes es distinta en función del número inicial de ellos. Vemos que con valor 60, tal y como nos indica el problema, la población evoluciona con mayor pendiente conforme avanza el tiempo hasta que se estabiliza cuando se aproxima al valor 100. Se puede comprobar que existe un valor a partir del cual el número de especímenes es demasiado bajo como para que la población prospere. En este problema, el valor es 30; comprobamos que para valores inferiores a 30, la población acaba por desaparecer. Para el valor 30, se da una especie de equilibrio, ya que este número se mantiene invariable en el tiempo. Para valores superiores a 30, la población se aproxima por debajo al valor 100. Para valores superiores a 100, la población se aproxima por encima al valor 100.




Grafica para poblacion inicial 29
Grafica para poblacion inicial 30
Grafica para poblacion inicial 31






2.2.1 Valor inicial de 120 individuos

Grafica para heun con poblacion inicial 120

En este caso la poblacion inicial es mucho mayor y esto hace que sea imposible su superviviencia dado que no es posible el acceso a recursos para toda la poblacion. El medio esta superpoblado y por ello la poblacion se ve reducida de manera drastica hasta estabilizarse al aproximarse a valores cercanos a 100, como en el caso siguiente en que la poblacion inicial es menor y esta crece. Podemos concluir que la capacidad de carga de la especie en el medio es un valor cercano a 100.

%Modelo logístico ejercicio 8. apartado 4
clear all
clf
%DATOS DEL PROBLEMA
t0=0;
tN=100;
y0=120;
h=0.1;
M1=30;
M2=100;
r=0.04;
%Calculamos número de subintervalos
N=round((tN-t0)/h);
% Definimos la variable independiente
t=t0:h:tN;

w=zeros(1,N+1); %Heun
w(1)=y0;

for i=1:N
 k1=(-r*w(i)*(1-(w(i)/M1))*(1-(w(i)/M2))); %Heun
 k2=(-r*(w(i)+h*k1)*(1-((w(i)+h*k1)/M1))*(1-((w(i)+h*k1)/M2))); %Heun t(i)+h+w(i)+k1*h
 w(i+1)=w(i)+(h/2)*(k1+k2); %Heun
end

hold on
%gráfico
plot(t,w)
legend('Heun','Location','best'); 
hold off


2.2.2 Valor inicial de 20 individuos

Grafica para poblacion inicial 20

Con la poblacion inicial en 20 vemos como la especie no es capaz de sobrevivir en el medio, puesto que esta especie requiere un mayor trabajo colaborativo, cayendo a valores cercanos a 0.

%Modelo logístico ejercicio 8. apartado 5
clear all
clf
%DATOS DEL PROBLEMA
t0=0;
tN=100;
y0=20;
h=0.1;
M1=30;
M2=100;
r=0.04;
%Calculamos número de subintervalos
N=round((tN-t0)/h);
% Definimos la variable independiente
t=t0:h:tN;

w=zeros(1,N+1); %Heun
w(1)=y0;

for i=1:N
 k1=(-r*w(i)*(1-(w(i)/M1))*(1-(w(i)/M2))); %Heun
 k2=(-r*(w(i)+h*k1)*(1-((w(i)+h*k1)/M1))*(1-((w(i)+h*k1)/M2))); 
 w(i+1)=w(i)+(h/2)*(k1+k2);
end

hold on
%gráfico
plot(t,w)
legend('Heun','Location','best'); 
hold off


3 Modelos de poblaciones de dos especies simultáneas

3.1 Introducción

En este caso, estudiamos la evolución de dos poblaciones simultaneas en tiempo y en espacio, de tal forma que pueden interactuar entre sí, como competidores por espacio, víveres u otros factores determinantes. El problema no lineal es el siguiente:

[math] \left\{\begin{matrix} x'=a_1x+b_1x^2+c_1xy\\y'=a_2y+b_2y^2+c_2xy \end{matrix}\right. [/math]

Analizamos diferentes casos.

3.2 Casos a Estudiar

Definimos las funciones x e y en funcion de las constantes dadas en cada caso. Escribimos los codigos correspondientes a los metodos de Euler y Heun. Dibujaremos graficas para las poblaciones iniciales x0=2, y0=7 y otras dos con las poblaciones iniciales de ambas especies iguales a cero para ver las relaciones que existen entre ambas.

%Problema no lineal Euler
clear all;
clf;

%Introducimos los datos del problema
x0=2;
y0=7;
t0=0;
tN=input('Introduce tiempo final');
h=0.1;
a1=input('Introduce a1');
a2=input('Introduce a2');
b1=input('Introduce b1');
b2=input('Introduce b2');
c1=input('Introduce c1');
c2=input('Introduce c2');

%Definimos el número de subintervalos
N=round((tN-t0)/h); 

% Definimos la variable independiente
t=t0:h:tN;
x=zeros(1,N+1);%primera incógnita
y=zeros(1,N+1); %segunda incógnita
x(1)=x0;
y(1)=y0;


for i=1:N
 x(i+1)=x(i)+h*(a1*x(i)-(b1*x(i)^2)-c1*x(i)*y(i));%euler primera ecuación del sistema
 y(i+1)=y(i)+h*(a2*y(i)-(b2*y(i)^2)-c2*x(i)*y(i)); %euler segunda ecuación del sistema
end

%Definimos la matriz de valores
[x',y'];

%Dibujamos la grafica
hold on
plot(t,y,'r')
plot(t,x,'g')
legend('competidor(y)','competidor(x)','Location','best'); 
hold off
%Problema no lineal Heun
clear all;
clf;

%Introducimos los datos del problema
x0=2;
y0=7;
t0=0;
tN=input('Introduce tiempo final');
h=0.1;
a1=input('Introduce a1');
a2=input('Introduce a2');
b1=input('Introduce b1');
b2=input('Introduce b2');
c1=input('Introduce c1');
c2=input('Introduce c2');

%Definimos el número de subintervalos
N=round((tN-t0)/h); 

% Definimos la variable independiente
t=t0:h:tN;
x=zeros(1,N+1);%primera incógnita
y=zeros(1,N+1); %segunda incógnita
x(1)=x0;
y(1)=y0;

for i=1:N
  k1=(a1*x(i)-(b1*x(i)^2)-(c1*x(i)*y(i))); %Heun
  k3=(a2*y(i)-b2*y(i)^2-c2*x(i)*y(i));
  k2=(a1*(x(i)+h*k1)-b1*(x(i)+h*k1)^2-c1*(x(i)+h*k1)*(y(i)+h*k3)); %Heun t(i)+h+w(i)+k1*h
  k4=(a2*(y(i)+h*k3)-b2*(y(i)+h*k3)^2-c2*(x(i)+h*k1)*(y(i)+h*k3));
  x(i+1)=x(i)+(h/2)*(k1+k2);
  y(i+1)=y(i)+(h/2)*(k3+k4);
end

%Definimos la matriz de valores
[x',y'];

%Dibujamos la grafica
hold on
plot(t,y,'r')
plot(t,x,'g')
legend('competidor(y)','competidor(x)','Location','best'); 
hold off

Para calcular los máximos y mínimos de cada caso, utilizamos la función max(f) y min(f).

3.2.1 Caso 1:Parasitismo

Parasitismo: es un tipo de simbiosis, y tiene una estrecha relación en la cual uno de los participantes, (el parásito o huésped) depende del otro (el hospedero u hospedador) y obtiene algún beneficio; lo cual implica daño para el hospedero. El parasistismo puede ser considerado un caso particular de depredación.

a1 = −0.3, a2 = 1.15, b1 = 0, b2 = 0, c1 = −0.08, c2 = 0.09, x(0) = 2, y(0) = 7 y t ∈ [0, 150]. max(x)=41.6659; min(x)=1.8624 max(y)=26.6255; min(y)=0.0229

Para paso h=0.1 el metodo de Euler es inestable y no nos sirve para resolver el problema. Heun si es valido y la gráfica nos permite observar el desarrollo de dos poblaciones, una de ellas depredadora y la otra presa.

El aumento y descenso de ellas se ve relacionado en tanto que al aumentar mucho las presas, los depredadores tienen más comida y consecuentemente aumentan en número. Conforme va aumentando el número de depredadores, las presas disminuyen, porque viven más perseguidas, por lo que su número caerá en seguida. Esto es un proceso cíclico que se repite con iguales consecuencias cada cierto tiempo, por lo que podremos decir que goza de cierta estabilidad. Las gráficas nos permiten ver que aunque la cantidad de presas o depredadores se vea muy reducida nunca llega al 0 lo cual permite que se recuperen.

Al utilizar un tamaño de paso igual a 0.0001 el metodo de Euler se vuelve preciso y por tanto valido para resolver el problema, al haber reducido tanto el tamaño de paso el trabajo que tiene que realizar el ordenador es muy grande por lo que el método aunque sea valido no es práctico.

Para analizar esta situación, en primer lugar, hemos estudiado el comportamiento de cada especie individualmente. Para ello, hacemos que la especie X no exista (sea cero), y vemos el comportamiento que sigue la especie Y. Apreciamos que el comportamiento de ésta es independiente de la otra ya que interactuar con la otra no modifica su crecimiento. Sin embargo, al hacer cero la especie y, vemos como la X desciende porque necesita de la otra especie para sobrevivir. De esto deducimos que la X es un un parásito de la especie Y (hospedador).

Las funciones originales son periódicas, pero ligeramente desfasadas. Se observa, que también difieren bastante en amplitud. Esto se debe a que la especie hospedadora se aprovecha y vive a costa de la otra especie.

Ambas especies parten de un número determinado de individuos, y crecen hasta un máximo de 41.6659 por parte de la x y de 26.6255 por parte de la y. Es obvio que el máximo de la y sea inferior al de la x ya que la primera es parasito y la segunda hospedador. En el caso de los mínimos, si bien en la gráfica parece que se extinguen realmente llegan a valores muy próximos a cero (1.8624 y 0.0229 respectivamente). Es importante destacar, que en ningún momento, ninguna de las especies llega a la extinción total.

parasitismo euler
parasitismo heun

















Heun para poblacion x = 0 inicial
Heun para poblacion y = 0 inicial


3.2.2 Caso 2: Neutralismo

Neutralismo: es una relación biológica, entre dos especies o poblaciones que interactuan, en la cual ninguno de los individuos recibe beneficio ni perjuicio. Son casos poco probables, y a menudo se suelen aplicar a situaciones donde las interacciones son poco más que insignificantes o despreciables. Se suele confundir con el comensalismo.

a1 = 0.16, a2 = 0.25, b1 = 0.04, b2 = 0.1, c1 = 0, c2 = 0, x(0) = 2, y(0) = 7 y t ∈ [0, 40]. max(x)=3.9934; min(x)=2 max(y)=7; min(y)=2.5001

Se observa que la evolución de una especie no se ve afectada por la otra. Hay un instante en el que el número de ambas especies coinciden, pero son totalmente independientes, coexisten sin influir una sobre la otra. En nuestro caso, la especie x tiene un crecimiento logarítmico que tiende a un determinado número (cercano a 4), mientras que la especie y va disminuyendo con el tiempo hasta estabilizarse en torno a 2.5. La variación de la función x, es muy elevada en un intervalo de tiempo inicial (aproximadamente hasta el tiempo 20) y luego tiende a un determinado número (es lo que caracteriza a las funciones logarítmicas).

Aquí al ser ambas funciones independientes (ninguna especie influye sobre la otra) el comportamiento del máximo y mínimo no tiene relevancia al estudiar la interacción entre ambas especies. La especie x sigue creciendo al final del intervalo aunque su crecimiento es cada vez menor. Aparentemente la población tiende a estabilizarse generando un ecosistema estable alcanzado un valor maximo dentro de nuestro rango de tiempo de 3.9934.

neutralismo euler
neutralismo heun

















Heun para poblacion x = 0 inicial
Heun para poblacion y = 0 inicial


3.2.3 Caso 3: Cooperación

Cooperación: es la relación interna específica de colaboración para la obtención de un objetivo común de una población, como la protección o la cazería. Entiendiendose población como el conjunto de individuos de una misma especie, ubicada en un área determinada. En este caso, podríamos interpretar esto como un competidor x, protector de la otra especie y, viendo como un ascenso del mismo permite que la especie y frene su caída y aumente su número. Concluyendo y apoyándonos en las gráficas auxiliares ( en las que anulamos primero el numero de especie x y luego el número de la especie y), observamos lo siguiente: La desaparición de la especie y, perjudica el desarrollo de la especie x, no pudiendo alcanzar el mismo número de miembros. No podemos hablar de una estabilización de la población de ambas especies en el intervalo de tiempo dado.

a1 = 0.16, a2 = 0.25, b1 = 0.04, b2 = 0.1, c1 = −0.015, c2 = −0.02, x(0) = 2, y(0) = 7 y t ∈ [0, 20]. max(x)=5.1906; min(x)=2 max(y)=7; min(y)=3.3671

La especie y presenta un descenso del número de individuos que alcanza un mínimo absoluto en 3.3671 a partir del cual comienza un intervalo de crecimiento (se beneficia de una mayor presencia de la otra especie).

coperacion euler
coperacion heun




















Heun para poblacion x = 0 inicial
Heun para poblacion y = 0 inicial

3.2.4 Caso 4: Competición

Competición: interacción biológica entre seres vivos en la cual la aptitud o adecuación biológica de uno es reducida a consecuencia de la presencia del otro. La competencia afecta a la estructura de las comunidades ecológicas. Puede darse entre miembros de la misma especie, se llama competencia intraespecífica; y la que tiene lugar entre miembros de diferentes especies es competencia interespecífica.

a1 = 1, a2 = 1, b1 = 0.04, b2 = 0.1, c1 = 0.015, c2 = 0.02, x(0) = 2, y(0) = 7 y t ∈ [0, 20]. max(x)=22.9717; min(x)=2 max(y)=8.5462; min(y)=5.4071

En las graficas, observamos, que en el momento en que el número de miembros de ambas especies coincide, la más fuerte X, aumenta su número ( hablamos de una variación elevada en un periódo de tiempo pequeño ) y luego se estabiliza. Por otro lado, la especie más débil disminuye después de que las graficas de ambas se "encuentren", hasta que llega a estabilizarse.

Corroboramos, con las graficas para cada poblacion en solitario, que la interaccion entre las especies reduce la poblacion de ambas con respecto a la que alcanzarian en un medio en el que no coexistienesen,en el que estuvieran en solitario. La poblacion Y alcanza un maximo de 8.5462 cuando interactua con la X, y tras alcanzar el maximo decrece hasta estabilizarse a un valor de 5.4071. La X a su vez aumenta logaritmicamente hasta llegar a un valor de 22.9717.

Si las vemos por separado vemos que ambas crecen hasta valores de 10 (la X) y 25 (la Y), bastante por encima de los valores a los que se llegarian en un habitat en el que cohabitasen.

Finalmente podemos decir que la poblacion se estabiliza en el medio llegando a los valores anteriormente comentados.






competicion euler
competicion heun

















Heun para poblacion x = 0 inicial
Heun para poblacion y = 0 inicial

3.2.5 Caso 5: Amensalismo

Amensalismo: es la interacción biológica, que se produce, cuando un organismo se ve perjudicado en la relación, y el otro, no experimenta ningúna alteración. Es necesario que se den interacciones diversas entre las especies.

a1 = 1, a2 = 1, b1 = 0.04, b2 = 0.1, c1 = 0, c2 = 0.2, x(0) = 2, y(0) = 7 y t ∈ [0, 10].

Hemos concluido que la relacion entre las especies en este caso es una de Amensalismo. Llegamos a esta conclusion tras varias observaciones:

A primera vista vemos como el incremento de los miembros de la especie X produce una disminucion en los miembros de Y hasta su extincion en un tiempo próximo a 4 (alcanzando un minimo de 6.4617e-12 aproximable a 0). A su vez el X continua creciendo alcanzando un maximo de 25 (24.9868) y estabilizandose en este valor.

Interpretando las gráficas en las que solo existe una especie, apreciamos como la existencia de ambas es posible individualmente. Vemos como la especie Y (rojo) es capaz de sobrevivir sin presencia del otro competidor, la X (verde).

En el caso de la poblacion X vemos como su desarrollo no se ve afectado por la presencia o aunsencia de la otra especie, esto es debido al coeficiente c1=0 que implica que las interacciones entre ambas especies no afectan a la dinamica de la poblacion X.

[math] \left\{\begin{matrix} x'=a_1x+b_1x^2+c_1xy \end{matrix}\right. [/math]

En el apartado de la estabilidad del ecosistema concluimos que el ecosistema se estabiliza en una valor de tiempo cercano a 9, con la especie Y extinta y la X estabilizada en un valor de 25.

Tambien observamos que las graficas al llegar a sus maximos dejan de ser representadas ya que el programa de calculo confunde su representacion con el extremo superior del recuadro que enmarca la grafica.



amensalismo euler
amensalismo heun

















Heun para población x = 0 inicial
Heun para población y = 0 inicial

3.2.6 Caso 6: Comensalismo

Comensalismo: relación entre especies, en la cual, una recibe beneficios y otra no resulta ni beneficiada ni perfjudicada. Podemos destacar tres tipos de comensialismo: la Foresis, usado por el segundo organismo para transportarse; Inquilinismo, es cuando el segundo organismo se hospeda en el primero; y Metabiosis o tanatocresia, que consiste en el aprovechamiento de restos de otra especie.


a1 = 1, a2 = 1, b1 = 0.04, b2 = 0.1, c1 = 0, c2 = −0.2, x(0) = 2, y(0) = 7 y t ∈ [0, 20]. max(x)=25; min(x)=2 max(y)=60; min(y)=7


Vemos como las 2 especies crecen y se estabilizan, observando como el competidor Y alcanza una mayor poblacion y tiene un crecimiento mas rapido que la especie de la que se beneficia, la X.

Si nos fijamos en los gráficos para poblaciones iniciales nulas de ambas especies, comprobamos que la especie Y (curva roja) se ve muy beneficiada al estar en contacto con la especie X (curva verde) de la cual es comensal. En este grafico ,con poblacion inicial nula, se aprecia que la poblacion de la especie se estabiliza en un valor de 10 mientras que en la gráfica superior ,en la que coexisten ambas especies en el mismo medio, su población se estabiliza en 60.

También apreciamos como la población de el competidor X tiene la misma evolución en ambas gráficas independientemente de la existencia de la especie Y . A esta conclusión también llegamos observando que la constante c1 = 0 al igual que en el caso anterior.

Si aumentamos el tiempo final, vemos como las 2 poblaciones se mantienen estables en los valores de sus capacidades de carga maxima , siendo la de Capacidad de carga de Y = 60 y la de Capacidad de carga de X = 25 ( igual que en apartado anterior ) , por lo que podemos concluir que el ecosistema es estable en el tiempo mientras que no haya alteraciones graves del medio.

La especie x alcanza su máximo en el tiempo 25, a partir del cual se estabiliza. La especie y como consecuencia crece hasta su máximo que es 60. Sus mínimos respectivamente son 2 y 7.


Comensalismo por Euler
Comensalismo por Heun



















Heun para poblacion x = 0 inicial
Heun para poblacion y = 0 inicial