Diferencia entre revisiones de «Circuitos Eléctricos RL (18B)»
| Línea 252: | Línea 252: | ||
}} | }} | ||
| − | [[Image: | + | [[Image:euler666.png|center|thumb|1000px|Sistema: Método Euler para R<sub>3</sub>=9Ω]] |
===Sistema de Ecuaciones. Método del trapecio=== | ===Sistema de Ecuaciones. Método del trapecio=== | ||
| Línea 292: | Línea 292: | ||
}} | }} | ||
| − | [[Image: | + | [[Image:trapecio666.png|center|thumb|1000px|Sistema: Método del trapecio para R<sub>3</sub>=9Ω]] |
==Valores iniciales de las intensidades== | ==Valores iniciales de las intensidades== | ||
Revisión del 22:48 2 mar 2014
| Trabajo realizado por estudiantes | |
|---|---|
| Título | Circuitos eléctricos R-L (Grupo 18) |
| Asignatura | Ecuaciones Diferenciales |
| Curso | Curso 2013-14 |
| Autores | • Arantxa Abascal Colomar • Patricia Fernández Aibar • Paula Lacanal Cuadrado • David Ortiz Liriano • Álvaro Pintor Sousa • Alberto Rodríguez Fernández |
| Este artículo ha sido escrito por estudiantes como parte de su evaluación en la asignatura | |
Contenido
1 Introducción
El circuito eléctrico mas simple esta compuesto de una resistencia,un inductor o bobina y una fuente de alimentación.
- En una resistencia R, la Ley de Ohm establece:
[math]i(t)={V(t)\over R}[/math]
- En un inductor L la Ley de Faraday dice:
[math] V(t)=L\cdot i '(t)[/math] Donde i(t) es la intensidad de corriente, V(t) el voltaje, R la resistencia y L la inductancia o bobina. Las leyes de Kirchoff dicen:
- Ley de corrientes: En cada nodo, la suma de corrientes que entra es igual a la que sale.
- Ley de tensiones: En cada ciclo cerrado, la suma de diferenciales de potencias es nula.
2 Ecuacion diferencial
Un circuito RL cerrado, mediante las leyes de Kirchoff nos da la siguiente ecuacion diferencial:
[math] i '(t)+{R\over L}i(t)-{V(t)\over L}=0 [/math]
El hecho de que en t=0 el circuito esté abierto, significa que no circula corriente, es decir que [math] i_0(t)=0 [/math]. Con estas condiciones: [math] V(t)=20V, L=0.2 y R=5Ω [/math] y la anterior nos sale como solucion de la ecuacion diferencial:
[math] i(t)=2-2e^{-25t} [/math]
con la gráfica:
Observamos que la variación de la intensidad sigue una ley exponencial , que crece con el tiempo de forma muy rápida. Esto es así porque la corriente comienza a circular por la malla de forma prácticamente instantánea, una vez que conectamos el generador y cerramos el circuito. Observamos que, corroborando lo dicho, el lapso de tiempo en el que la intensidad pasa de 0 a 2 amperios es muy corto.
3 Método de Euler
t0=0;
tN=0.5;
y0=0;
N=100;
h=(tN-t0)/100;
yy=y0;
y(1)=yy;
for n=1:N;
yy=yy+h*(50-25*yy);
y(n+1)=yy;
end
x=t0:h:tN;
plot(x,y,'-g','linewidth',3);
xlabel('Tiempo');
ylabel('Intensidad');- El paso de discretización temporal para que el método sea estable ha de ser pequeño, por estar usando un método explícito para aproximar una función exponencial de elevada pendiente.En este caso lo hemos elegido del orden de h=1/100.
4 Método del trapecio
t0=0;
tN=0.5;
y0=0;
N=50;
h=(tN-t0)/N;
yy=y0;
y(1)=yy;
for n=1:N;
yy=(yy+h*(50-12.5*yy))/(1+12.5*h);
y(n+1)=yy;
end
x=t0:h:tN;
plot(x,y,'-r','linewidth',3);
xlabel('Tiempo');
ylabel('Intensidad');
Observamos que usando el método del trapecio, podemos coger un paso mayor (del orden de 1/50 por ejemplo) y obtener igualmente una buena aproximación.Esto es asi por ser el método del trapecio un método implícito.
5 Euler con condiciones iniciales distintas
En el caso anterior analizábamos la variación de intensidad en la malla al conectar el circuito al generador (para el instante inicial i(0)=0). Ahora tenemos un circuito por el que circula una corriente de 2A y desconectamos el generador del circuito, entonces la intensidad disminuirá progresivamente en el tiempo siguiendo una ley exponencial.
t0=0;
tN=0.5;
y0=2;
N=500;
h=(tN-t0)/500;
yy=y0;
y(1)=yy;
for n=1:N;
yy=yy+h*(-25*yy);
y(n+1)=yy;
end
x=t0:h:tN;
plot(x,y,'-r','linewidth',3);
xlabel('Tiempo');
ylabel('Intensidad');
6 Sistema de ecuaciones
De acuerdo a las leyes de Kirchoff, el sistema de ecuaciones correspondiente a la figura en cuestión es el siguiente:
[math] E(t)=R_1i_1(t)+L_2i'_2(t)+R_2i_2(t)[/math]:
[math] E(t)=R_1i_1(t)+L_1i'_3(t)[/math]:
[math] i_1(t)=i_2(t)+i_3(t)[/math]
Sustituyendo la tercera ecuación en las otras dos se obtiene el sistema en términos de [math] i_2(t) [/math] e [math] i_3(t) [/math]:
[math] E(t)=R_1{i_2(t)+i_3(t)}+L_2i'_2(t)+R_2i_2(t)[/math]:
[math] E(t)=R_1{i_2(t)+i_3(t)}+L_1i'_3(t) [/math]
A partir de las condiciones iniciales [math] i_2(0)=i_3(0)=0 [/math] podemos interpretar que la corriente en el circuito es nula en el momento inicial en el que se conecta el generador.
Si añadimos un nuevo ciclo con una resistencia [math] R_3 [/math] e inductor [math] I_3 [/math] (similares a [math] R_2 [/math],[math] L_2 [/math]) el sistema de ecuaciones varía del siguiente modo:
[math] i'_3(t)={E(t)\over L_3}-{{R_1+R_2+R_3}\over L_3}i_3(t)-{{R_1+R_2}\over L_3}i_4(t)+{R_1\over L_3}i_5(t) [/math]:
[math] i'_4(t)={E(t)\over L_2}-{{R_1+R_2}\over L_2}i_3(t)-{{R_1+R_2}\over L_2}i_4(t)-{R_1\over L_2}i_5(t) [/math]:
[math] i'_5(t)={E(t)\over L_1}-{R_1\over L_1}i_3(t)-{R_1\over L_1}i_2(t)-{R_1\over L_1}i_5(t) [/math] Por último sustituimos los valores dados [math]R1=R2=6Ω, L1=0.02H, L2=0.0025H[/math] y nos sale el sistema: [math] i_2'(t)=-4800i_2(t)-2400i_3(t)+4000[/math]: [math]i_3'(t)=-300i_2(t)-300i_3(t)+500 [/math]
7 Sistema de ecuaciones: Euler
clear all
t0=0;
tN=0.3;
i0=[0 0]';
N=1000;
A=[-4800 -2400;-300 -300];
h=(tN-t0)/N;
ii=i0;
i2(1)=i0(1);
i3(1)=i0(2);
for n=1:N;
ii=ii+h*(A*ii+[4000;500]);
i2(n+1)=ii(1);
i3(n+1)=ii(2);
end
t=t0:h:tN;
figure(3)
plot(t,i2,'-g','linewidth',3);
hold on
plot(t,i3,'-r','linewidth',3);
xlabel('Tiempo');
ylabel('Intensidad');
Observamos que durante los primeros instantes de tiempo, las intensidades i2 e i3 decrecen y crecen respectivamente con mucha pendiente. Poco despues se estabilizan ambas .
8 Sistema de ecuaciones: Trapecio
clear all
t0=0;
tN=0.3;
i0=[0 0]';
N=1000;
A=[-4800 -2400;-300 -300];
h=(tN-t0)/N;
ii=i0;
i2(1)=i0(1);
i3(1)=i0(2);
for n=1:N;
ii=ii+h*(A*ii+[4000;500]);
i2(n+1)=ii(1);
i3(n+1)=ii(2);
end
t=t0:h:tN;
figure(3)
plot(t,i2'-g','linewidth',3);
plot(t,i3,'-r','linewidth',3);
xlabel('Tiempo');
ylabel('Intensidad');
hold off
9 Modificación del circuito RL
Para el circuito de la figura, el sistema obtenido aplicando las leyes de kirchhoff es el siguiente:
[math] E(t)=R_1i_1(t)+L_2i'_2(t)+R_2i_2(t)[/math]
[math] E(t)=R_1i_1(t)+L_2i'_2(t)+R_3i_3(t)[/math]
[math] i_1(t)=i_2(t)+i_3(t)[/math]
Vamos a resolverlo de nuevo para un valor de $R_{3}$ = 9Ω y posteriormente se comentaran los resultados comparándolos con los del circuito anterior.
Sustituimos los valores $R_{1}$ = 6Ω, $R_{2}$ = 6Ω, $R_{3}$ = 9Ω, $L_{1}$ = 0,3H, $L_{2}$= 0,11H y $E(t)$ = 20V,
9.1 Sistema de ecuaciones: Euler
E1=20;
R1=6;
R2=6;
R3=9;
L1= 0.3;
L2 = 0.11;
t0=0;
tN=0.4;
N=10000;
h=(tN-t0)/N;
i0 = [0 0]';
A= [-(R1+R2)/L2 -R1/L2;-R1/L1 -(R1+R3)/L1];
B=[E1/L2 E1/L1]';
i=i0;
i3(1)=i(1);
i2(1)=i(2);
for n=1:N
i=i+h*((A*i)+B);
i3(n+1)=i(1);
i2(n+1)=i(2);
end
x=t0:h:tN;
i1=i2+i3;
subplot(2,1,1)
plot(x,i1,'.;i1(t);r',x,i2,'.;i2(t);b')
xlabel('Tiempo');
ylabel('Intensidad');
subplot(3,1,3)
plot(x,i1,'.;i1(t);r',x,i2,'.;i2(t);b',x,i3,'.;i3(t);g')
xlabel('Tiempo');
ylabel('Intensidad');
9.2 Sistema de Ecuaciones. Método del trapecio
E1=20;
R1=6;
R2=6;
R3=9;
L1= 0.3;
L2 = 0.11;
t0=0;
tN=0.4;
N=10000;
h=(tN-t0)/N;
i0 = [0 0]';
A= [-(R1+R2)/L2 -R1/L2;-R1/L1 -(R1+R3)/L1];
B=[E1/L2 E1/L1]';
C=[1 0;0 1];
i=i0;
i3(1)=i(1);
i2(1)=i(2);
for n=1:N
i=inv(C-(h*A)/2)*((C+(h*A)/2)*i+h*B);
i3(n+1)=i(1);
i2(n+1)=i(2);
end
x=t0:h:tN;
i1=i2+i3;
subplot(2,1,1)
plot(x,i1,'.;i1(t);r',x,i2,'.;i2(t);b')
xlabel('Tiempo');
ylabel('Intensidad');
subplot(3,1,3)
plot(x,i1,'.;i1(t);r',x,i2,'.;i2(t);b',x,i3,'.;i3(t);g')
xlabel('Tiempo');
ylabel('Intensidad')
print('-dpng','trapecio6.png')
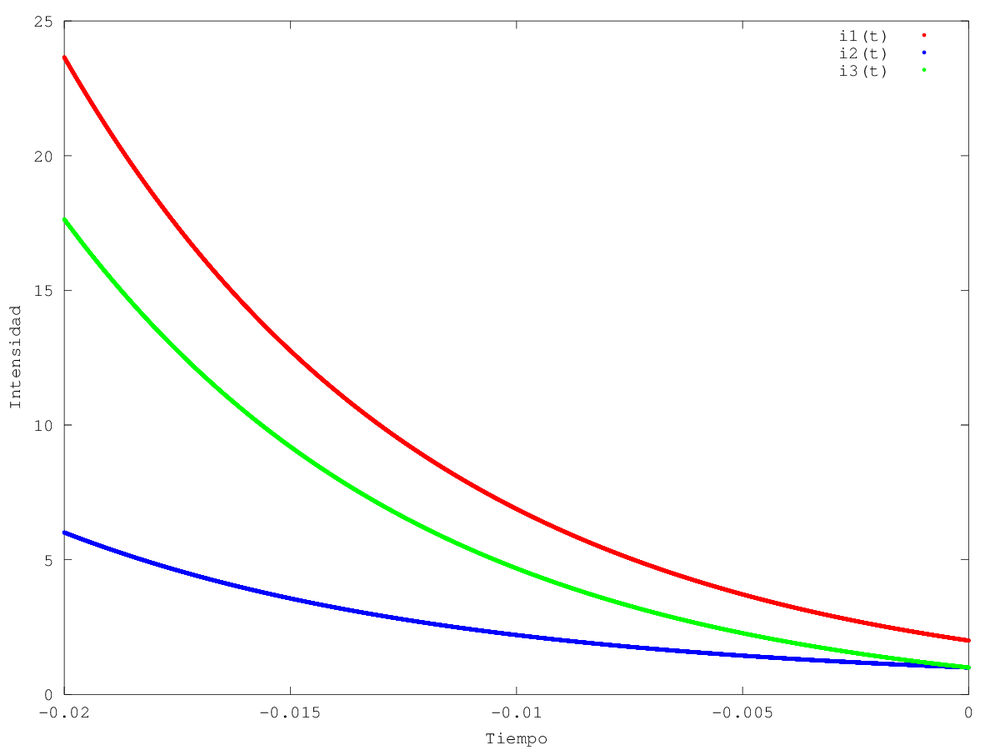
10 Valores iniciales de las intensidades
E1=20;
R1=6;
R2=6;
R3=9;
L1= 0.3;
L2 =0.11;
t0=0;
tN=-0.02;
N=10000;
h=(tN-t0)/N;
i0 = [0 0]';
A= [-(R1+R2)/L2 -R1/L2;-R1/L1 -(R1+R3)/L1];
B=[E1/L2 E1/L1]';
i=i0;
i3(1)=i(1);
i2(1)=i(2);
for n=1:N
i=i+h*((A*i)+B);
i3(n+1)=i(1);
i2(n+1)=i(2);
end
x=t0:h:tN;
i1=i2+i3;
i33=1-i3;
i22=1-i2;
i11=i22+i33;
plot(x,i11,'.;i1(t);r',x,i22,'.;i2(t);b',x,i33,'.;i3(t);g')
xlabel('Tiempo');
ylabel('Intensidad');
print('-dpng','trapecio6.png')

