Diferencia entre revisiones de «La Catenaria (Grupo 19)»

De MateWiki
Saltar a: navegación, buscar
Línea 237: Línea 237:
 
Se encuentra en la recta normal principal de la curva y su posición OZ se define por la ecuación fundamental:
 
Se encuentra en la recta normal principal de la curva y su posición OZ se define por la ecuación fundamental:
  
[[Archivo:centrocirosc.png|500px|]]
+
[[Archivo:centrocirosc.png|600px|]]
  
 
[[Archivo:circunferenciaosculatriz.png|550px|thumb|right|]]
 
[[Archivo:circunferenciaosculatriz.png|550px|thumb|right|]]

Revisión del 14:09 26 nov 2025

Trabajo realizado por estudiantes
Título La catenaria. Grupo 19
Asignatura Teoría de Campos
Curso 2025-26
Autores
  • Pedro Harguindey Domínguez
  • Sara Gozalo Jaber
  • Álvaro Espinosa Varadé
  • Lucía de la Riva Azpiri
Este artículo ha sido escrito por estudiantes como parte de su evaluación en la asignatura

Se denomina catenaria a la curva de equilibrio que adopta un hilo flexible y de densidad homogénea, al estar sujeto exclusivamente a la acción de un campo gravitatorio uniforme y con sus extremos fijos. En términos más precisos, la catenaria no constituye una curva única, sino una familia de curvas. Además, cada punto de la catenaria cumple con el principio de equilibrio estático para las componentes horizontales de fuerza, resultando en una cadena estable libre de desplazamientos laterales.

Asimismo, Galileo creyó que la catenaria era una parábola por su forma parecida pero ambas curvas son diferentes; pues mientras la parábola está descrita por una ecuación cuadrática, en la expresión de la catenaria se involucran funciones hiperbólicas. Estas son sus fórmulas:

Parabola-catenaria.png
La a de la fórmula de la catenaria indica el radio de curvatura en el vértice de la catenaria, es decir, en el punto más bajo. Como se puede ver en la imagen, la curva va cambiando según cambia la a, en este trabajo se va a usar a=3.

Catenaria-a.png

Taq Kasra Irak

1 Dibujo de la curva

Representación de la catenaria
% Definir la parametrización
 t = linspace(-1, 1, 1000);
 x = t;
 y = 3*cosh(t/3);
  % Dibujar la curva
 figure;
 plot(x, y, 'LineWidth', 2,'Color','g');
 title('Curva parametrizada: \gamma(t) = (t, 3cosh(t/3))');
 xlabel('x');
 ylabel('y');
 grid on;



2 Vector velocidad y vector aceleración

2.1 ¿Qué representan?

El vector velocidad describe cómo va cambiando la posición del punto que recorre la catenaria indicando la rapidez con la que avanza a lo largo de la curva, siendo más grande en las zonas donde la pendiente es mayor. Por su parte, el vector aceleración muestra cómo varía esa velocidad y apunta hacia arriba porque la función hiperbólica crece con rapidez en ambas direcciones del parámetro t.

2.2 Ecuaciones de velocidad y aceleración

La curva está parametrizada en coordenadas cartesianas como: Parametrizacióncurva.png con A>0 y A=3, la parametrización de la curva es Parametrizaciónen3.png Derivando esta función respecto del tiempo obtenemos la ecuación de la velocidad, volviendo a derivar respecto del tiempo se obtiene la ecuación de la aceleración.

2.2.1 Ecuación de la velocidad:

Vectorvelocidad.png

2.2.2 Ecuación de la aceleración:

Vectoraceleración.png

2.3 Código de la grafica velocidad aceleración

Representación velocidad y aceleración
% Definir la parametrización
a=3;
t = linspace(-1, 1, 20);
x = t;
y = a*cosh(t/a);
% Dibujar la curva
figure;
plot(x, y, 'LineWidth', 2);
title('Curva parametrizada: \gamma(t) = (t, a*cosh(t/a))');
xlabel('x');
ylabel('y');
grid on;

% Velocidad y aceleración 
V1 = ones(size(t));  
V2 = (a/a)*sinh(t/a);
A1 = zeros(size(t));  
A2 = (a/a^2)*cosh(t/a);

% Gráfica 
figure
hold on
plot(x, y, 'r');
quiver(x, y, V1, V2, 1, "Color", "g");
quiver(x, y, A1, A2, 1, "color", "m");
axis equal
hold off;

% Centrado de la grafica en el origen de coordenadas
ax = gca;
ax.XAxisLocation = 'origin';
ax.YAxisLocation = 'origin';

% Etiquetas
xlabel("x", "FontSize", 10);
ylabel("y", "FontSize", 10);
% Etiquetas
 title('Gráfica velocidad aceleración')
legend("Catenaria","Velocidad","Aceleración")
 axis("equal")


3 Longitud de la curva

La longitud de la curva es la distancia real medida a lo largo del recorrido entre dos puntos específicos. Matemáticamente, se define como la integral del módulo (o norma) del vector velocidad con respecto a un parámetro, t. Para una catenaria parametrizada, la longitud de la curva se calcula como la integral definida del módulo de la velocidad en el intervalo t ∈ (-1, 1). En el ámbito de la ingeniería, esta métrica es fundamental para el cálculo de materiales, ya que permite determinar con precisión la cantidad de recursos necesaria para cubrir una determinada distancia o trayectoria curva.

Longitudcurvacatenaria.png

3.1 Código de la longitud de la curva

Representación longitud de la curva
% Parámetros iniciales
a = -1; 
b = 1; 
n = 100; % Número de subintervalos
f = @(t) sqrt(1 + sinh(t/3).^2);  % Integrando (longitud de catenaria)

% Paso del intervalo
h = (b - a) / n;

% Puntos del método del rectángulo (lado izquierdo)
X = linspace(a, b-h, n);

% Cálculo numérico de la integral
valinic = sum(f(X));
integral_rect = h * valinic;

% Gráfica de la función y los rectángulos
t_valores = linspace(a, b, 500);
y_valores = f(t_valores);

figure;
hold on;
plot(t_valores, y_valores, 'b', 'LineWidth', 2);

% Dibujar rectángulos
for i = 1:n
    x_rect_plot = [X(i), X(i), X(i)+h, X(i)+h];
    y_rect_plot = [0, f(X(i)), f(X(i)), 0];
    fill(x_rect_plot, y_rect_plot, 'r', 'FaceAlpha', 0.3, 'EdgeColor', 'r');
end

title('Aproximación de la integral con el método del rectángulo');
xlabel('t');
ylabel('f(t)');
legend('Función', 'Rectángulos');
hold off;

% Resultado
fprintf('La aproximación de la integral con el método del rectángulo es: %.6f\n', integral_rect);


4 Vector tangente y normal

4.1 Vector tangente

El vector tangente es un vector paralelo a la curva en un punto dado y representa la dirección y la tasa de cambio de la curva en ese punto. Se puede conseguir a partir de la siguiente fórmula. Formulatangente.png
Este vector es unitario, es decir, tiene magnitud uno y por lo tanto se tiene que dividir la formula del vector tangente: Vtg.png entre su módulo: Mtg.png consiguiendo así el vector tangente unitario con la siguiente fórmula:
Ftg.png

Representación vector tangente
%formula catenaria
t=linspace(-1,1,20);
 x=t;
 y=3*cosh(t/3);
 % Vectores tangentes unitarios interiores
  t1i=(1)./(sqrt(1+(sinh(t/3)).^2));
  t2i=sinh(t/3)./(sqrt(1+(sinh(t/3)).^2));
  % Vectores tangentes unitarios 
  hold on
  plot(x,y,'LineWidth',2, 'Color','c');
  quiver(x,y,t1i,t2i,'Color','m');
 hold off
 % Centrado de la gráfica en el origen de coordenadas
 ax = gca;
 ax.XAxisLocation = 'origin';
 ax.YAxisLocation = 'origin';
 % Etiquetas
 title('Vector tangente unitario')
 legend("Catenaria","Vector tangente unitario")
 axis("equal")
 ax.XAxisLocation = 'origin';
 ax.YAxisLocation = 'origin';
 box on


4.2 Vector normal

Representación vector normal interior y exterior
% Definición de los parámetros
  a=-1;
  b=1;
  h=0.09;
  t=a:h:b;
  % Definición de la curva
  x=t;
  y=cosh(t);
  % Vectores normales unitarios orientación interior
 n1i=sinh(t/3)./(sqrt(1+(sinh(t/3)).^2));
 n2i=-(t./t)./(sqrt(1+(sinh(t/3)).^2));
 % Vectores normales unitarios orientación exterior
 n1e=-sinh(t/3)./(sqrt(1+(sinh(t/3)).^2));
 n2e=(t./t)./(sqrt(1+(sinh(t/3)).^2));
 hold on
 plot(x,y,'LineWidth',2,'Color','g');
 quiver(x,y,n1i,n2i,'Color','m');
 quiver(x,y,n1e,n2e,'Color','k');
 hold off
 % Centrado de la gráfica en el origen de coordenadas
 ax = gca;
 ax.XAxisLocation = 'origin';
 ax.YAxisLocation = 'origin';
 % Etiquetas
 title('Vectores normales')
 legend("Catenaria","Vector normal interior","Vector normal exterior")
 axis("equal")
 ax.XAxisLocation = 'origin';
 ax.YAxisLocation = 'origin';
 box on


5 Curvatura

Representación curvatura
n =100;
 t = linspace ( -1 , 1 , n) ;
k = (1/2)*(cosh(t/3)./((1+(sinh(t/3)).^2)).^(3/2)) ;
 figure
 plot (t ,k ,'m') ;
 axis equal
 title ('Curvatura catenaria (t). ') ;
 xlabel('t');
 ylabel('\kappa(t)');
grid on


6 Circunferencia osculatriz

La circunferencia osculatriz de una curva C en un punto P es la circunferencia que tiene el máximo orden de contacto con la curva en ese punto, es decir, comparte la misma posición, el mismo vector tangente (t) y el mismo vector normal principal (n) que la curva. En esencia, es la circunferencia que mejor se ajusta a la curva C en P. Además, se usa en ingeniería para aproximar trayectorias suaves (como en el diseño de vías) y en física para modelar el movimiento curvilíneo.

6.1 Radio de curvatura

Es el inverso de la curvatura κ(t):

Radiocirosc.png


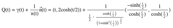
6.2 Centro de curvatura

Se encuentra en la recta normal principal de la curva y su posición OZ se define por la ecuación fundamental:

Centrocirosc.png

Circunferenciaosculatriz.png
% Punto de la catenaria donde calculamos la circunferencia osculatriz
t = -0.5;
% Curvatura k(t) de la catenaria y radio de curvatura R
k = 1./(3*(cosh(t/3)).^2);
R = 1/k;   % Radio de curvatura R = 1/k
% Punto de la catenaria: (x(t), y(t))
P = [t, 3*cosh(t/3)];
% Vector normal unitario (ya está normalizado)
n = [ -tanh(t/3), 1./cosh(t/3) ];
% Centro de la circunferencia osculatriz
C = P + R * n;
% Puntos para dibujar la circunferencia
theta = linspace(0, 2*pi, 150);
x_circ = C(1) + R*cos(theta);
y_circ = C(2) + R*sin(theta);
% DIBUJO
figure;
plot(x_circ, y_circ, 'b-', 'LineWidth', 2);
hold on;
% Catenaria
T = -1:0.05:1;
x_cat = T;
y_cat = 3*cosh(T/3);
plot(x_cat, y_cat, 'r', 'LineWidth', 3);
% Ajustes de gráfica
plot(P(1), P(2), 'ko', 'MarkerFaceColor','k'); % punto donde se aproxima
axis equal;
grid on;
title('Circunferencia Osculatriz y Catenaria');
xlabel('Eje X');
ylabel('Eje Y');
legend('Circunferencia osculatriz','Catenaria','Punto P');
hold off;


7 Parabola y catenaria

Parabolacatenaria.png
% Parámetros
A = 3; 
x = linspace(-10, 10, 500); % Rango de valores para x
% Ecuaciones
y_catenaria = A * cosh(x / A); % Ecuación de la catenaria
y_parabola = A + (x.^2) / A;   % Ecuación de la parábola
% Grafica
figure;
plot(x, y_catenaria, 'r-', 'LineWidth', 2); % Graficar catenaria en azul
hold on;
plot(x, y_parabola, 'b--', 'LineWidth', 2); % Graficar parábola en rojo
hold off;
% Personalización del gráfico
title('Catenaria vs Parábola');
legend('Catenaria: y = A cosh(x / A)', 'Parábola: y = A + x^2 / A');
axis tight;