Diferencia entre revisiones de «La Catenaria»
| Línea 103: | Línea 103: | ||
end | end | ||
}} | }} | ||
| + | |||
| + | [[Archivo:Catenaria3.jpg|380px|miniaturadeimagen|derecha|Cálculo de la longitud de la curva]] | ||
Dando como resultado queda de la siguiente forma: | Dando como resultado queda de la siguiente forma: | ||
Revisión del 17:07 11 dic 2023
| Trabajo realizado por estudiantes | |
|---|---|
| Título | La Catenaria. Grupo 12 |
| Asignatura | Teoría de Campos |
| Curso | 2023-24 |
| Autores | Alejandro Jiménez García Marta García-Moris Fontcuberta Alejandro Seises López Alberto Nuñez Cobo Álvaro Matías Acedo |
| Este artículo ha sido escrito por estudiantes como parte de su evaluación en la asignatura | |
Contenido
- 1 Introducción
- 2 Representación de la curva
- 3 Vectores velocidad y aceleración
- 4 Longitud de la curva
- 5 Vector tangente y vector normal
- 6 Curvatura y gráfica
- 7 Circunferencia osculatriz en t=0
- 8 Fenómeno descrito por la curva
- 9 Empleo de la curva en Ingeniería Civil
- 10 Superficie de revolución alrededor del eje vertical
- 11 Distribución de la densidad a lo largo de la superficie
- 12 Masa de la superficie con dicha densidad
1 Introducción
La catenaria se define como la curva generada por una cuerda o cable sin rigidez, suspendida por sus dos extremos y sometida al campo gravitatorio. En ingeniería de caminos, esta curva se encuentra en los cables principales de los puentes colgantes o en los cables de las líneas eléctricas ferroviarias, las cuales se denominan catenaria, por la curva que describe.
2 Representación de la curva
Se tiene la siguiente curva plana parametrizada en coordenadas cartesianas que representa una catenaria:
[math] γ(t) = (x(t),y(t)) = (t,cosh(t)), t∈(-1,1)[/math]
Donde:
[math]γ:t\to\mathbb{R}^2[/math]
Para dibujarla hacemos uso del software de programación y cálculo numérico Matlab/Octave.
% Definición de los parámetros
a=-1; b=1;h=0.01;
t=a:h:b;
% Definición de la curva
x=t;
y=cosh(t);
plot(x,y,"Color","b");
% Centrado de la gráfica en el origen de coordenadas
ax = gca;
ax.XAxisLocation = 'origin';
ax.YAxisLocation = 'origin';
% Etiquetas
title('Curva Catenaria')
axis("equal")
ax.XAxisLocation = 'origin';
ax.YAxisLocation = 'origin';
box on
grid minor
3 Vectores velocidad y aceleración
Siendo [math] γ(t) [/math] el vector posición:
El vector velocidad es la derivada con respecto al tiempo del vector posición.
[math] γ´(t) = x′(t)\vec i + y′(t)\vec j = 1\vec i +(sen(h)t)\vec j [/math]
El vector aceleración es la derivada segunda de la posición con respecto al tiempo (derivada de la velocidad con respecto al tiempo).
[math] γ´´(t) = x′′(t)\vec i + y′′(t)\vec j = 0\vec i + (cosh(t))\vec j[/math]
Los vectores velocidad y aceleración se representan gráficamente usando el siguiente código:
% Definición de los parámetros
a=-1;
b=1;
h=0.1;
t=a:h:b;
% Definición de la curva
x=t;
y=cosh(t);
% Definición de la velocidad
v1=t./t;
v2=sinh(t);
% Definición de la aceleración
a1=0.*t;
a2=cosh(t);
hold on
plot(x,y,'LineWidth',2);
quiver(x,y,v1,v2);
quiver(x,y,a1,a2, "Color","g");
hold off
% Centrado de la gráfica en el origen de coordenadas
ax = gca;
ax.XAxisLocation = 'origin';
ax.YAxisLocation ='origin';
% Etiquetas
title('Vector velocidad y aceleración')
legend("Catenaria","Velocidad","Aceleración")
axis("equal")
xlim([-1 1])
ylim([0.8 2])
ax.XAxisLocation = 'origin';
ax.YAxisLocation = 'origin';
box on
grid minor
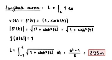
4 Longitud de la curva
La longitud de la curva se ha calculado a través del Método del Rectángulo usando el siguiente código:
function A = rectangulo(f, a, b, n)
f=@(t) sqrt(1+(sinh(t)).^2)
a=-1
b=1
n=200
A = 0;
h = (b-a)/n;
for k=1:n
xk = a + h*k; % Valor de x en el extremo del intervalo
A = A + f(xk)*h; % Sumamos el área del rectángulo
end
end
Dando como resultado queda de la siguiente forma:
L = 2,35 m
5 Vector tangente y vector normal
5.1 Código vector tangente
x=t;
y=cosh(t);
% Vectores tangentes unitarios interiores
t1i=(t./t)./(sqrt(1+(sinh(t)).^2));
t2i=sinh(t)./(sqrt(1+(sinh(t)).^2));
% Vectores tangentes unitarios
hold on
plot(x,y,'LineWidth',2);
quiver(x,y,t1i,t2i);
hold off
% Centrado de la gráfica en el origen de coordenadas
ax = gca;
ax.XAxisLocation = 'origin';
ax.YAxisLocation = 'origin';
% Etiquetas
title('Vector tangente unitario')
legend("Catenaria","Vector tangente unitario")
axis("equal")
ax.XAxisLocation = 'origin';
ax.YAxisLocation = 'origin';
box on
grid minor
5.2 Código vector normal
% Definición de los parámetros
a=-1;
b=1;
h=0.09;
t=a:h:b;
% Definición de la curva
x=t;
y=cosh(t);
% Vectores normales unitarios orientación interior
n1i=sinh(t)./(sqrt(1+(sinh(t)).^2));
n2i=-(t./t)./(sqrt(1+(sinh(t)).^2));
% Vectores normales unitarios orientación exterior
n1e=-sinh(t)./(sqrt(1+(sinh(t)).^2));
n2e=(t./t)./(sqrt(1+(sinh(t)).^2));
hold on
plot(x,y,'LineWidth',2);
quiver(x,y,n1i,n2i);
quiver(x,y,n1e,n2e);
hold off
% Centrado de la gráfica en el origen de coordenadas
ax = gca;
ax.XAxisLocation = 'origin';
ax.YAxisLocation = 'origin';
% Etiquetas
title('Vectores normales')
legend("Catenaria","Vector normal interior","Vector normal exterior")
axis("equal")
ax.XAxisLocation = 'origin';
ax.YAxisLocation = 'origin';
box on
grid minor
6 Curvatura y gráfica
6.1 Código
a=-1;
b=1;
h=0.09
t=a:h:b %Valores del intervalo
Ka=(sqrt(1+(sinh(t)).^2).^3)./cosh(t);
plot(t,Ka);
grid on
xticks([-1 1])
7 Circunferencia osculatriz en t=0
8 Fenómeno descrito por la curva
9 Empleo de la curva en Ingeniería Civil
La catenaria en ingenería civil es muy común, al tratarse de una curva natural. Este fenómeno de una cuerda o cable sometido a gravedad se da en los cable principales de los puentes colgantes, como puede ser el Puente 25 de Abril
10 Superficie de revolución alrededor del eje vertical
Podemos ver la catenaria en mediante la siguiente parametrización en coordenadas cartesianas:
[math] γ(t) = (x(t),y(t),z(t)) = (0,cosh(t),t), t∈(-1,1)[/math]
Donde:
[math]γ:t\to\mathbb{R}^3[/math]
Para obtener la superficie de revolución hacemos uso del software de programación y cálculo numérico Matlab/Octave.