Diferencia entre revisiones de «La Catenaria Grupo 38»
(→Representación de los vectores) |
(→Representación de los vectores) |
||
| Línea 155: | Línea 155: | ||
<br/> | <br/> | ||
<br/> | <br/> | ||
| − | [[Archivo:Tgynormal.jpg| | + | [[Archivo:Tgynormal.jpg|700px|miniaturadeimagen|left|<font color="00 CE D1">'''REPRESENTACIÓN DEL VECTOR TANGENTE Y NORMAL'''</font> <br />]] |
{{matlab|codigo= | {{matlab|codigo= | ||
% Definición de los vectores normales y tangentes | % Definición de los vectores normales y tangentes | ||
Revisión del 14:29 9 dic 2023
La catenaria.
Aunque el termino catenaria se emplea la mayoría de las veces para
referirse a los cables del tendido eléctrico de los ferrocarriles, en
matemáticas y arquitectura se emplea la palabra catenaria para designar la
curva cuyo trazado sigue la forma que adquiere una cadena o cuerda de
densidad uniforme y perfectamente flexible sujeta por sus dos extremos y
que se encuentra sometida únicamente a las fuerzas de la gravedad. En
sentido estricto no se trata de una curva sino una familia de curvas, en la
que cada una de ellas viene determinada por las coordenadas de sus
extremos y por su longitud.
| Trabajo realizado por estudiantes | |
|---|---|
| Título | La Catenaria. Grupo 38 |
| Asignatura | Teoría de Campos |
| Curso | 2023-24 |
| Autores | Pablo Lázaro Valdecantos José Ruiz Abselam Alejandro Porrúa Perea Adrian Garcia Diaz |
| Este artículo ha sido escrito por estudiantes como parte de su evaluación en la asignatura | |
Consideramos la curva plana dada por la parametrización en coordenadas cartesianas:
Se tiene la siguiente curva plana parametrizada en coordenadas cartesianas que representa una catenaria:
[math] γ(t) = (x(t),y(t)) = (t,cosh(t)), t∈(-1,1)[/math]
Contenido
- 1 Dibujar la curva
- 2 Calcular los vectores velocidad y aceleración, y dibujarlos junto a la curva
- 3 Calcular la longitud de la curva
- 4 Calcular los vectores tangente t(t) y normal n(t), y dibujarlos junto a la curva
- 5 Cálculo de curvatura
- 6 Circunferencia osculatriz
- 7 La catenaria
- 8 Ejemplos
- 9 Superficie reglada
- 10 Masa de la superficie reglada
1 Dibujar la curva
Para dibujarla hacemos uso del software de programación y cálculo numérico Matlab/Octave.
1.1 Código
% Definir la parametrización
t = linspace(-1, 1, 1000);
x = t;
y = cosh(t);
% Dibujar la curva
figure;
plot(x, y, 'LineWidth', 2);
title('Curva parametrizada: \gamma(t) = (t, cosh(t))');
xlabel('x');
ylabel('y');
grid on;
2 Calcular los vectores velocidad y aceleración, y dibujarlos junto a la curva
2.1 Definición vector posición, velocidad y aceleración
El vector posición es aquel que va desde el origen del sistema de referencia hasta la posición de la partícula.
El vector velocidad es la derivada del vector de posición con respecto al tiempo.
El vector aceleración es la derivada del vector velocidad. El vector aceleración [math]γ′′(t)[/math] no tiene por que ser ortogonal a [math]γ′(t)[/math] en general. Pero sí lo es si la curva [math]γ(t)[/math] está parametrizada por longitud de arco (es decir, si [math]|γ|´(t)| = 1[/math])
[math]γ(t) = (x(t),y(t)) = (t,cosh(t))[/math]
[math] γ´(t) = x′(t)\vec i + y′(t)\vec j = 1\vec i +(sen(h)t)\vec j [/math]
[math] γ´´(t) = x′′(t)\vec i + y′′(t)\vec j = 0\vec i + (cosh(t))\vec j[/math]
2.2 Representación de los vectores
% Parámetros
t = linspace(-1,1,20);
x = t;
y = cosh(t);
% Velocidad y aceleración
V1 = ones(size(t));
V2 = sinh(t);
A1 = zeros(size(t));
A2 = cosh(t);
% Gráfica
figure
hold on
plot(x, y, 'r');
quiver(x, y, V1, V2, 1, "Color", "c");
quiver(x, y, A1, A2, 1, "color", "m");
axis equal
hold off;
% Centrado de la grafica en el origen de coordenadas
ax = gca;
ax.XAxisLocation = 'origin';
ax.YAxisLocation = 'origin';
% Etiquetas
xlabel("x", "FontSize", 10);
ylabel("y", "FontSize", 10);
3 Calcular la longitud de la curva
En este apartado, realizamos el cálculo de la longitud de la catenaria con MATLAB. Utilizamos métodos numéricos para modelar la curva y determinar su longitud ya que no se puede calcular de manera teórica, utilizamos MATLAB.
% Calcular longitud de la curva
t=linspace(-1,1,50); %valores a t como vector en el intervalo dado
longitud = sum(sqrt(diff(t).^2 + diff(cosh(t)).^2)); % ponemos la fórmula de la longitud de curva como la integral del módulo del vector velocidad
disp(['Longitud de la curva: ' num2str(longitud)]); % imprime el resultado obtenido como longitud de curva
% Calcular longitud de la curva y longitud acumulativa
longitud_seg = sqrt(diff(x).^2 + diff(y).^2);
longitud_acum = [0, cumsum(longitud_seg)]; % Agregar un cero al inicio para que tengan la misma longitud
% Ajustar t para que tenga la misma longitud que longitud_acum
t_acum = linspace(-1, 1, length(longitud_acum));
% Mostrar la longitud de la curva numéricamente
longitud_total = longitud_acum(end);
disp(['Longitud total de la curva: ' num2str(longitud_total)]);
% Graficar la longitud
figure;
plot(t_acum, longitud_acum, 'LineWidth', 2);
title('Longitud de la curva');
xlabel('t');
ylabel('Longitud ');
grid on;
Obtenemos una longitud de la curva de 2.3503
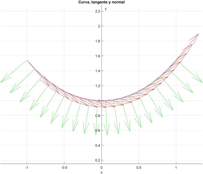
4 Calcular los vectores tangente t(t) y normal n(t), y dibujarlos junto a la curva
[math] ℓ(γ) = \int_{a}^{b}|γ′(t)|=\int_{a}^{b}\sqrt {x´(t)^2 +y´(t)^2}dt= \int_{0}^{2π}\sqrt{(1)^2 +(sinh(t))^2}[/math]
Un vector unitario tangente permite ver el cambio en la dirección sin mostrar cambios en la rapidez. Un vector unitario tangente es un vector con una magnitud de uno que es tangente de una función vectorial en un punto específico.
El vector unitario normal es un vector unitario que es perpendicular a la curva en un punto determinado. El vector unitario normal es especialmente útil cuando se trata de calcular la fuerza normal de un objeto en movimiento.
Ya que el vector unitario normal es perpendicular a la curva, también es perpendicular al vector unitario tangente. Esto significa que el producto escalar del vector unitario normal y el vector unitario tangente en cierto punto debería ser igual a 0.
Para curvas parametrizadas por longitud de arco se tiene que [math]\vec n(t) [/math] y [math]γ′′(t) [/math] son múltiplos el uno del otro. Claramente [math]\vec n(t) \neq \vec 0 [/math] , por lo que se tiene que cumplir [math] γ′′(t) = κ(t)\vec n(t) [/math]
Obtenemos el vector tangente y el vector normal a través de las siguientes fórmulas:
Vector tangente: [math] \vec t(t)=\frac{γ′(t)}{|γ′(t)|}=\frac{(x´(t)\vec i +y´(t)\vec j)}{\sqrt{x´(t)^2 + y´(t)^2}}=\frac{ (1-cost)\vec i +(sent)\vec j}{\sqrt{(1-cost)^2 +(sent)^2}}[/math]
Vector normal: [math]\vec n(t)=\frac{(-y´(t)\vec i +x´(t)\vec j)}{\sqrt{x´(t)^2 + y´(t)^2}}=\frac{ (-sent)\vec i +(1-cost)\vec j}{\sqrt{(1-cost)^2 +(sent)^2}} [/math]
4.1 Representación de los vectores
A traves de Matlab podemos visualizar los vectores tangente y normal
% Definición de los vectores normales y tangentes
t= linspace(-1,1,20); %Parámetro
x= t;
y= cosh(t);
% Velocidades/tangentes/normales
V1 = ones(size(t));
V2 = sinh(t);
mod= sqrt(V1.^2+V2.^2);
t1= V1./mod
t2= V2./mod
n1= t2;
n2= -t1;
%Representación
figure
axis equal
hold on
plot (x ,y ,'b') ;
quiver(x,y,t1,t2,1,"Color","r") ;
quiver(x,y,n1,n2,1,"Color","g") ;
grid on
hold off;
title('Curva, tangente y normal' )
% Centrado de la grafica en el origen de coordenadas
ax = gca;
ax.XAxisLocation = 'origin';
ax.YAxisLocation = 'origin';
% Labels
xlabel("x","FontSize",10);
ylabel("y","FontSize",10);
axis("equal")
5 Cálculo de curvatura
En este estudio de la curva parametrizada gamma(t) = (t, cosh(t)), examinaremos su curvatura (kappa), un parámetro que mide cómo la curva se desvía de ser recta en cada punto. La representación gráfica de kappa(t) revelará la "tensión" o "giro" de la curva en diferentes puntos, proporcionando una visión detallada de su comportamiento geométrico local.
% Definir la parametrización
t = linspace(-1, 1, 50);
x = t;
y = cosh(t);
% Velocidad y aceleración
V1 = ones(size(t));
V2 = sinh(t);
A1 = zeros(size(t));
A2 = cosh(t);
% Calcular la curvatura
numerador = V1 .* A2 - A1 .* V2;
denominador = sqrt(V1.^2 + V2.^2).^3;
curvatura = abs(numerador ./ denominador);
% Graficar la curvatura en función de t
figure;
plot(t, curvatura, 'LineWidth', 2);
title('Gráfica de la Curvatura \kappa(t)');
xlabel('t');
ylabel('\kappa(t)');
grid on;6 Circunferencia osculatriz
La circunferencia osculatriz es una circunferencia que toca una curva en un punto específico y comparte la misma derivada en ese punto. Para encontrar el centro y el radio de la circunferencia osculatriz en el punto [math]P=(γ(0),0)[/math]
% Definir el radio y el centro de la circunferencia
radio = 1;
centro = [0, 2];
% Crear un conjunto de ángulos para generar puntos en la circunferencia
theta = linspace(0, 2*pi, 100);
% Calcular las coordenadas de los puntos en la circunferencia
x_circunferencia = centro(1) + radio * cos(theta);
y_circunferencia = centro(2) + radio * sin(theta);
% Definir la parametrización de la catenaria
t_catenaria = linspace(-1, 1, 100);
x_catenaria = t_catenaria;
y_catenaria = cosh(t_catenaria);
% Dibujar la circunferencia y la catenaria en la misma gráfica
figure;
plot(x_circunferencia, y_circunferencia, 'b-', 'LineWidth', 2);
hold on; % Mantener la gráfica actual y agregar nuevas
plot(x_catenaria, y_catenaria, 'r-', 'LineWidth', 2);
% Configurar el aspecto del gráfico
axis equal; % Hace que las unidades en x e y sean iguales
grid on;
title('Circunferencia y Catenaria');
xlabel('Eje X');
ylabel('Eje Y');
legend('Circunferencia', 'Catenaria');
hold off; % Liberar la gráfica actual para futuros trazados
7 La catenaria
La curva catenaria es la forma que asume una cadena o cable idealizado cuando se suspende de sus extremos y está sujeto únicamente a la gravedad. La palabra "catenaria" proviene del latín "catena", que significa cadena. Esta curva es la solución a la ecuación diferencial que describe la forma que toma una cadena o cuerda bajo su propio peso.
En ingeniería e ingeniería civil, la curva catenaria es de interés porque se utiliza en la construcción de estructuras colgantes, como puentes colgantes. El diseño de estos puentes se basa en la estabilidad y resistencia proporcionada por la forma natural de la curva catenaria. La propiedad fundamental de la curva catenaria es que, en ausencia de otras fuerzas, su forma es estable y no cambia, lo que la hace ideal para soportar cargas distribuidas uniformemente.
Históricamente, puentes famosos como el Puente Golden Gate han utilizado la forma catenaria para garantizar la estabilidad de las estructuras. La comprensión de esta curva también es crucial en la instalación de líneas de transmisión eléctrica y cables de suspensión. En resumen, la curva catenaria tiene aplicaciones prácticas fundamentales en ingeniería, especialmente en la construcción de estructuras colgantes.
8 Ejemplos
8.1 KINTAI-KYO
El Kintai-Kyo es uno de los puentes más famosos de Japón. Está localizado en Iwakuni (a 45 km. de Hiroshima) y cruza el río Nishiki. Está compuesto por 5 arcos de madera apoyados en grandes pilares de piedra. Los 3 arcos centrales no tienen apoyos y los 2 laterales se apoyan en columnas de madera. La forma de cada arco es una catenaria invertida, lo que lo hace estructuralmente muy eficiente
8.2 GAUIDI
Para Gaudí un elemento clave en su forma de concebir la estructura era el arco parabólico o catenario, también llamado funicular de fuerzas, que utilizó como elemento más adecuado para soportar las presiones. Mediante la simulación de distintos polifuniculares experimentales determinó la forma óptima de la estructura para soportar las presiones de los arcos y las bóvedas, primero en la cripta de la Colonia Güell y después en la Sagrada Familia. Gaudí desarrolló un modelo a escala de cordeles entretejidos de los que se suspendían pequeños sacos de perdigones que simulaban los pesos; así determinaba el funicular de fuerzas y la forma de la estructura. Por tanto, a partir del estado de cargas, simulados con los saquitos de perdigones, determinó experimentalmente la forma idónea de la estructura –que él llamó estereostática–, que reproducía la estructura óptima para trabajar a tracción, y que, invirtiéndola, se obtenía la estructura idónea para trabajar a compresión
8.3 Extras
9 Superficie reglada
Consideramos la catenaria de [math] \mathbb{R}^3 [/math], que se puede parametrizar en coordenadas cartesianas como:
γ(t) = (x1(t), x2(t), x3(t)) = (0, cosh(t), t), t ∈ (−1, 1).
Dibujamos la superficie en Matlab:
% Parámetros
u = linspace(-1, 1, 100);
v = linspace(0, 2*pi, 100);
[U, V] = meshgrid(u, v);
% Parametrización de la superficie en coordenadas cilíndricas
X1 = cosh(U) .* cos(V);
X2 = cosh(U) .* sin(V);
X3 = U;
% Dibujar la superficie de revolución
figure;
surf(X1, X2, X3, 'EdgeColor', 'none');
title('Superficie de Revolución de la Catenaria alrededor del eje x3');
xlabel('x_1');
ylabel('x_2');
zlabel('x_3');
axis equal;
grid on;Un ejemplo de superficie reglada es:
10 Masa de la superficie reglada
La densidad de la superficie proporcionada es [math]f(x1,x2,x3)=x^23(x1,x2,x3)=x^23[/math]. Para describir cómo se distribuye la densidad a lo largo de la superficie, podemos considerar la variación de [math]f[/math] en la parametrización de la superficie. En este caso, la parametrización es [math]x(u,v)=(cosh(u)cos(v),cosh(u)sin(v),u)[/math]. Entonces, la densidad [math]f[/math] a lo largo de la superficie está dada por: [math]f(u,v)=x^23(u,v)=u^2[/math] Esto significa que la densidad aumenta cuadráticamente con respecto a u, la coordenada a lo largo del eje [math]x3[/math]. En otras palabras, a medida que nos alejamos del eje [math]x3[/math], la densidad aumenta.
10.1 Cálculo de la Masa de la Superficie
La masa de la superficie con la densidad [math]f[/math] dada se puede calcular utilizando la integral de la densidad sobre la superficie. La masa M se calcula de la siguiente manera: [math]M=∬SfdS[/math] donde [math]S[/math] es la superficie parametrizada. La integral se puede expresar en coordenadas paramétricas [math](u,v)[/math] como:
[math]M=\int_a^b\int_c^d f(u,v)*\sqrt[]{((∂x/∂u)^2+(∂x∂v)^2+(∂x/∂u)^2)}\; dv \; du[/math] En este caso, puedes utilizar la parametrización [math]x(u,v)=(cosh(u)cos(v),cosh(u)sin(v),u)[/math] y la densidad [math]f(u,v)=u^2[/math] en la integral.
% Parámetros
u = linspace(-1, 1, 1000);
v = linspace(0, 2*pi, 1000);
[U, V] = meshgrid(u, v);
% Parametrización de la superficie en coordenadas cilíndricas
X1 = cosh(U) .* cos(V);
X2 = cosh(U) .* sin(V);
X3 = U;
% Densidad
densidad = U.^2;
% Calcular la masa de la superficie
M = trapz(v, trapz(u, densidad .* sqrt((sinh(U).^2 + cosh(U).^2) .* U.^2), 1));
disp(['La masa de la superficie es aproximadamente: ' num2str(M)]);
Obtenemos una masa de superficie aproximadamente: 5.1203
