Diferencia entre revisiones de «Desintegración radiactiva (Grupo 13-C)»
(→.-Vida media) |
(→.-Vida media) |
||
| Línea 153: | Línea 153: | ||
hold off | hold off | ||
}} | }} | ||
| + | |||
La solución de este problema sería: | La solución de este problema sería: | ||
| − | [[Archivo:Vmedia.png|250px|thumb| | + | [[Archivo:Vmedia.png|250px|thumb|left|]] |
[[Archivo:Ejerfinal4.png|500px|thumb|centro|]] | [[Archivo:Ejerfinal4.png|500px|thumb|centro|]] | ||
Revisión del 11:43 3 mar 2015
| Trabajo realizado por estudiantes | |
|---|---|
| Título | DESINTEGRACIÓN RADIACTIVA. GRUPO 13-C |
| Asignatura | Ecuaciones Diferenciales |
| Curso | Curso 2014-15 |
| Autores | Beatriz Oliva Manzanero
Rubén Peláez Moreno José María Pérez Doval Álvaro Luis Pérez Martín Ignacio Nieto Peña María Pablos Romero |
| Este artículo ha sido escrito por estudiantes como parte de su evaluación en la asignatura | |
Este trabajo nos plantea el cálculo de la desintegración en función del tiempo de un material a otro de igual elemento. Se ha observado que todos los procesos radiactivos simples siguen una ley exponencial decreciente. Si M0 es el número de núcleos radiactivos en el instante inicial, después de un cierto tiempo t, el número de núcleos radiactivos presentes M se ha reducido a
donde k es una característica de la sustancia radiactiva denominada constante de desintegración. El signo menos aparece por que N disminuye con el tiempo a consecuencia de la desintegración. Integrando esta ecuación obtenemos la ley exponencial decreciente. M0 es el número inicial de núcleos radioactivos presentes en el instante t=0.
Contenido
1 .-Interpretación
Al interpretar las funciones M(t) y la constante k se deduce que M(t) corresponde a la masa de los materiales radiactivos que se desintegran para formar otros materiales del mismo elemento en función de la variable dependiente ‘t’. Podemos afirmar que según avanza el tiempo la masa sigue una ley inversamente proporcional de forma exponencial con respecto al tiempo, siendo k el grado de proporcionalidad.
2 .-Problema de valor inicial(Método de Euler)
Para calcular la edad de los restos arqueológicos comenzamos con el cálculo de un problema de valor inicial, eligiendo una condición inicial y aplicando el método de Euler para los intervalos h=0.1 y h=0.01.
t0=0; y0=1; h1=0.1; h2=0.01;
y1(1)=y0; y2(1)=y0;
t1(1)=t0; t2(1)=t0;
i=1; n=1; k=1.24e-04;
cond=y0*0.08;
while y1(i)>cond
y1(i+1)=y1(i)+h1*(-k*y1(i));
t1(i+1)=t1(i)+h1;
i=i+1;
end
while y2(n)>cond
t2(n+1)=t2(n)+h2;
y2(n+1)=y2(n)+h2*(-k*y2(n));
n=n+1;
end
disp('Años de antigüedad de los huesos:')
disp(t2(end))
disp(i)
hold on
plot(t1,y1)
plot(t2,y2,'--g')
legend('euler h=0.1','euler h=0.01','location','best')
hold off
3 .-Problema de valor inicial (Método del Trapecio)
t0=0;
h1=0.1;
y0=1;
z(1)=y0;
t1(1)=t0;
i=1; n=1; k=1.24*(10^(-4));
cond=y0*0.08
while z(i)>cond
z(i+1)=((1-h1*k/2)/(1+h1*k/2))*z(i);
t1(i+1)=t1(i)+h1;
i=i+1;
end
disp('tiempo final:')
disp(t1(end))
disp(i)
hold on
plot(t1,z,'m')
legend('trapecio','location','best')
hold off
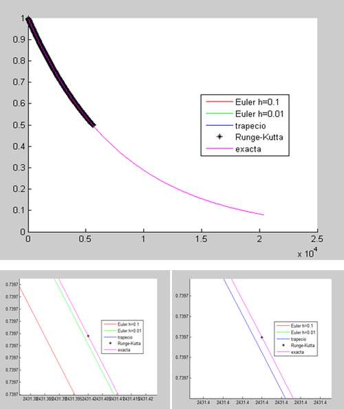
4 .-Vida media
Para cada sustancia radiactiva hay un intervalo t fijo, denominado vida media, durante el cual el número de núcleos que había al comienzo se reduce a la mitad. Poniendo en la ecuación M=M0/2 se obtiene,
que relaciona la vida media y la constante de desintegración.
En este ejercicio además de utilizar el método de Runge-Kutta, hemos realizado una comparativa con los métodos de los apartados anteriores además de la solución exacta.
t0=0;
h1=0.1;
h2=0.01;
y0=1;
y1(1)=y0;
y2(1)=y0;
trap(1)=y0;
RK(1)=y0;
ye(1)=y0;
t1(1)=t0;
t2(1)=t0;
t3(1)=t0;
i=1;
n=1;
m=1;
k=1.24e-04;
cond1=y0*0.08;
cond2=y0/2;
while trap(i)>cond1
y1(i+1)=y1(i)+h1*(-k*y1(i));
trap(i+1)=((1-h1*k/2)/(1+h1*k/2))*trap(i);
t1(i+1)=t1(i)+h1;
ye(i+1)=y0*exp(-k*t1(i+1));
i=i+1;
end
while y2(n)>cond1
t2(n+1)=t2(n)+h2;
y2(n+1)=y2(n)+h2*(-k*y2(n));
n=n+1;
end
while RK(m)>cond2
K1=-k*RK(m);
K2=-k*RK(m)-k/2*K1*h1;
K3=-k*RK(m)-k/2*K2*h1;
K4=-k*RK(m)-k*K3*h1;
RK(m+1)=RK(m)+h1/6*(K1+2*K2+2*K3+K4);
t3(m+1)=t3(m)+h1;
m=m+1;
end
disp('vida media del carbono 14:')
disp(t3(end))
hold on
plot(t1,y1,'r')
plot(t2,y2,'g')
plot(t1,trap)
plot(t3,RK,'*k')
plot(t1,ye,'m')
legend('Euler h=0.1','Euler h=0.01','trapecio','Runge-Kutta','exacta','location','best')
hold off
La solución de este problema sería:
5 .-Serie de desintegración radiactiva
Cuando una sustancia se desintegra radiactivamente, por lo general no solo se transmuta en en una sustancia estable (con lo que se detiene el proceso), sino que la primera sustancia se desintegra, forma otra sustancia radiactiva y ésta, a su vez, decaer y forma una tercera sustancia, etc.



