Diferencia entre revisiones de «Desintegración radiactiva (Grupo 13-C)»

De MateWiki
Saltar a: navegación, buscar
(.-Serie de desintegración radiactiva)
(.-Problema de valor inicial(Método de Euler))
Línea 25: Línea 25:
  
 
==.-Problema de valor inicial(Método de Euler)==
 
==.-Problema de valor inicial(Método de Euler)==
 +
[[Archivo:Grafica32.png|250px|thumb|right|]]
 +
 
==.-Problema de valor inicial(Método del Trapecio)==
 
==.-Problema de valor inicial(Método del Trapecio)==
 
==.-Vida media==
 
==.-Vida media==

Revisión del 11:44 24 feb 2015

Trabajo realizado por estudiantes
Título DESINTEGRACIÓN RADIACTIVA. GRUPO 13-C
Asignatura Ecuaciones Diferenciales
Curso Curso 2014-15
Autores Beatriz Oliva Manzanero

Rubén Peláez Moreno

José María Pérez Doval

Álvaro Luis Pérez Martín

Ignacio Nieto Peña

María Pablos Romero

Este artículo ha sido escrito por estudiantes como parte de su evaluación en la asignatura


Este trabajo nos plantea el cálculo de la desintegración en función del tiempo de un material a otro de igual elemento. Se ha observado que todos los procesos radiactivos simples siguen una ley exponencial decreciente. Si M0 es el número de núcleos radiactivos en el instante inicial, después de un cierto tiempo t, el número de núcleos radiactivos presentes M se ha reducido a

M=M0exp(-kt)

donde k es una característica de la sustancia radiactiva denominada constante de desintegración. El signo menos aparece por que N disminuye con el tiempo a consecuencia de la desintegración. Integrando esta ecuación obtenemos la ley exponencial decreciente. M0 es el número inicial de núcleos radioactivos presentes en el instante t=0.

1 .-Interpretación

Al interpretar las funciones M(t) y la constante k se deduce que M(t) corresponde a la masa de los materiales radiactivos que se desintegran para formar otros materiales del mismo elemento en función de la variable dependiente ‘t’. Podemos afirmar que según avanza el tiempo la masa sigue una ley inversamente proporcional de forma exponencial con respecto al tiempo, siendo k el grado de proporcionalidad.

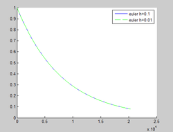
2 .-Problema de valor inicial(Método de Euler)

Grafica32.png

3 .-Problema de valor inicial(Método del Trapecio)

4 .-Vida media

Para cada sustancia radiactiva hay un intervalo t fijo, denominado vida media, durante el cual el número de núcleos que había al comienzo se reduce a la mitad. Poniendo en la ecuación M=M0/2 se obtiene

τ=log 2/k

que relaciona la vida media y la constante de desintegración.

5 .-Serie de desintegración radiactiva

Cuando una sustancia se desintegra radiactivamente, por lo general no solo se transmuta en en una sustancia estable (con lo que se detiene el proceso), sino que la primera sustancia se desintegra, forma otra sustancia radiactiva y ésta, a su vez, decaer y forma una tercera sustancia, etc.

Serie desintegración radiactiva
dfgdfgdgfgd