Diferencia entre revisiones de «Circuitos RL (grupo B)»

De MateWiki
Saltar a: navegación, buscar
(Página creada con «{{ TrabajoED | Circuitos RL. Grupo 2-B | Ecuaciones Diferenciales|Curso 2013-14 | Diego Solano López,Lucia...»)
 
Línea 1: Línea 1:
 
{{ TrabajoED | Circuitos RL. Grupo 2-B | [[:Categoría:Ecuaciones Diferenciales|Ecuaciones Diferenciales]]|[[:Categoría:ED13/14|Curso 2013-14]] | Diego Solano López,Lucia López Sánchez,Adela González Barbado,Araceli Martín Candilejo,Ignacio Díaz Caneja Camblor,Alberto Fernández Pérez }}
 
{{ TrabajoED | Circuitos RL. Grupo 2-B | [[:Categoría:Ecuaciones Diferenciales|Ecuaciones Diferenciales]]|[[:Categoría:ED13/14|Curso 2013-14]] | Diego Solano López,Lucia López Sánchez,Adela González Barbado,Araceli Martín Candilejo,Ignacio Díaz Caneja Camblor,Alberto Fernández Pérez }}
 +
==== 4. Circuito 2. ====
 +
<br /><br />
 +
[[Archivo:Circuito 2 completo.jpg|300px|thumb|center| ]]
 +
<br /><br />
 +
==== 5.CALCULO DE LAS INTENSIDADES DEL CIRCUITO DOS A PARTIR DEL METODO DE EULER Y DEL TRAPECIO. ====
 +
Ya se ha visto que la expresión de las intensidades i2 e i3 de este circuito RL vienen dadas por dos ecuaciones diferenciales que conforman un sistema. Este sistema de ecuaciones diferenciales se puede resolver numéricamente a partir del método de Euler y del trapecio, los cuales se basan en la aproximación de las áreas de esa ecuación diferencial al valor real de la función en cada momento.
 +
* ''' MÉTODO DE EULER: '''
 +
'''OCTAVE'''
 +
DATOS:
 +
 +
clc;clear all;
 +
    %tiempo inicial
 +
t0=0;
 +
    %t0=tiempo máximo a evaluar
 +
tN=0.04;
 +
    %tN=soluciones en y0 para las variables i2 e i3
 +
y0=0;
 +
    %y0=intervalos en los que se dividen
 +
N=25;
 +
%h=salto de intervalo en intervalo
 +
h=(tN-t0)/N;
 +
    %i1,i2,i3=vectores solución desde t0 a tN de h en h
 +
i1=t0:h:tN;
 +
 +
i2=t0:h:tN;
 +
 +
i3=t0:h:tN;
 +
 +
    %y=vector de ceros y que va a almacenar las soluciones.Tendrá N+1 términos porque el primero es el cero y el ultimo el N
 +
    %la intensidad dos es y(:,1),es decir, la fila 1.
 +
    %la intensidad tres es y(:,2),es decir, la fila 2.
 +
    %la intensidad uno es y(:,3),es decir, la fila 3.
 +
y=zeros(N+1,3);
 +
y(1,1)=y0;
 +
y(1,2)=y0;
 +
y(1,3)=y0;
 +
%AHORA SE EMPIEZA A RESOLVER POR EULER EL SISTEMA.
 +
%y(n+1)=y(n)+h*f(t(n),y(n))
 +
%f(t,i2)=((E/L2)-R1*(i2+i3)+R2*i2)/L2
 +
%f(t,i3)=((E/L1)-R1*(i2+i3)+R3*i3)/L1
 +
for n=1:N
 +
    y(n+1,1)=y(n,1)+h*((20/0.11)-(6*(y(n,1)+y(n,2))+6*y(n,1))/0.11);
 +
    y(n+1,2)=y(n,2)+h*((20/0.3)-(6*(y(n,1)+y(n,2))+3*y(n,2))/0.3);
 +
    y(n+1,3)=y(n+1,1)+y(n+1,2);
 +
end
 +
hold on
 +
plot(i1,y(:,3),'+')
 +
plot(i2,y(:,1),'r+')
 +
plot(i3,y(:,2),'g+')
 +
 +
* ''' MÉTODO DEL TRAPECIO: '''
 +
'''OCTAVE'''
 +
DATOS:
 +
clc;clear all;
 +
    %tiempo inicial
 +
t0=0;
 +
    %tiempo máximo a evaluar
 +
tN=0.04;
 +
    %soluciones en y0 para las variables i2 e i3
 +
y0=0;
 +
    %intervalos en los que se dividen
 +
N=25;
 +
%salto de intervalo en intervalo
 +
h=(tN-t0)/N;
 +
    %vectores solución desde t0 a tN de h en h
 +
i1=t0:h:tN;
 +
i2=t0:h:tN;
 +
i3=t0:h:tN;
 +
    %vector de ceros y que va a almacenar las soluciones
 +
    %tendra N+1 términos porque el primero es el cero y el ultimo el N
 +
    %la intensidad dos es y(:,1)
 +
    %la intensidad tres es y(:,2)
 +
    %la intensidad uno es y(:,3)
 +
y=zeros(N+1,3);
 +
y(1,1)=y0;
 +
y(1,2)=y0;
 +
y(1,3)=y0;
 +
PARA RESOLVER POR EL MÉTODO DEL TRAPECIO:
 +
%y(n+1)=y(n)+(h/2)*(f(t(n),y(n)+f(t(n+1),y(n+1))
 +
%f(t,i2)=((E/L2)-R1*(i2+i3)+R2*i2)/L2
 +
%f(t,i3)=((E/L1)-R1*(i2+i3)+R3*i3)/L1
 +
for n=1:N
 +
    y(n+1,1)=y(n,1)+(h/2)*(((20/0.11)-(6*(y(n,1)+y(n,2))+6*y(n,1))/0.11)+((20/0.11)-(6*(y(n+1,1)+y(n+1,2))+6*y(n+1,1))/0.11));
 +
    y(n+1,2)=y(n,2)+(h/2)*(((20/0.3)-(6*(y(n,1)+y(n,2))+3*y(n,2))/0.3)+((20/0.3)-(6*(y(n+1,1)+y(n+1,2))+3*y(n+1,2))/0.3)); 
 +
    y(n+1,3)=y(n+1,1)+y(n+1,2);
 +
end
 +
plot(i1,y(:,3))
 +
plot(i2,y(:,1),'r')
 +
plot(i3,y(:,2),'g')
 +
hold off
 +
 +
<br /><br />
 +
[[Archivo:GRAFICAEJ5.png|800px|thumb|center| ]]
 +
<br /><br />
  
 
[[Categoría:Ecuaciones Diferentiales]]
 
[[Categoría:Ecuaciones Diferentiales]]
 
[[Categoría:ED13/14]]
 
[[Categoría:ED13/14]]
 
[[Categoría:Trabajos 2013-14]]
 
[[Categoría:Trabajos 2013-14]]

Revisión del 00:48 28 feb 2014

Trabajo realizado por estudiantes
Título Circuitos RL. Grupo 2-B
Asignatura Ecuaciones Diferenciales
Curso Curso 2013-14
Autores Diego Solano López,Lucia López Sánchez,Adela González Barbado,Araceli Martín Candilejo,Ignacio Díaz Caneja Camblor,Alberto Fernández Pérez
Este artículo ha sido escrito por estudiantes como parte de su evaluación en la asignatura

1 4. Circuito 2.



Circuito 2 completo.jpg



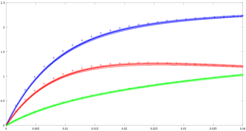
2 5.CALCULO DE LAS INTENSIDADES DEL CIRCUITO DOS A PARTIR DEL METODO DE EULER Y DEL TRAPECIO.

Ya se ha visto que la expresión de las intensidades i2 e i3 de este circuito RL vienen dadas por dos ecuaciones diferenciales que conforman un sistema. Este sistema de ecuaciones diferenciales se puede resolver numéricamente a partir del método de Euler y del trapecio, los cuales se basan en la aproximación de las áreas de esa ecuación diferencial al valor real de la función en cada momento.

  • MÉTODO DE EULER:

OCTAVE DATOS:

clc;clear all;

   %tiempo inicial

t0=0;

   %t0=tiempo máximo a evaluar

tN=0.04;

   %tN=soluciones en y0 para las variables i2 e i3

y0=0;

   %y0=intervalos en los que se dividen

N=25; %h=salto de intervalo en intervalo h=(tN-t0)/N;

   %i1,i2,i3=vectores solución desde t0 a tN de h en h

i1=t0:h:tN;

i2=t0:h:tN;

i3=t0:h:tN;

   %y=vector de ceros y que va a almacenar las soluciones.Tendrá N+1 términos porque el primero es el cero y el ultimo el N
   %la intensidad dos es y(:,1),es decir, la fila 1.
   %la intensidad tres es y(:,2),es decir, la fila 2.
   %la intensidad uno es y(:,3),es decir, la fila 3.

y=zeros(N+1,3); y(1,1)=y0; y(1,2)=y0; y(1,3)=y0; %AHORA SE EMPIEZA A RESOLVER POR EULER EL SISTEMA. %y(n+1)=y(n)+h*f(t(n),y(n)) %f(t,i2)=((E/L2)-R1*(i2+i3)+R2*i2)/L2 %f(t,i3)=((E/L1)-R1*(i2+i3)+R3*i3)/L1 for n=1:N

   y(n+1,1)=y(n,1)+h*((20/0.11)-(6*(y(n,1)+y(n,2))+6*y(n,1))/0.11);
   y(n+1,2)=y(n,2)+h*((20/0.3)-(6*(y(n,1)+y(n,2))+3*y(n,2))/0.3);
   y(n+1,3)=y(n+1,1)+y(n+1,2);

end hold on plot(i1,y(:,3),'+') plot(i2,y(:,1),'r+') plot(i3,y(:,2),'g+')

  • MÉTODO DEL TRAPECIO:

OCTAVE DATOS: clc;clear all;

   %tiempo inicial

t0=0;

   %tiempo máximo a evaluar

tN=0.04;

   %soluciones en y0 para las variables i2 e i3

y0=0;

   %intervalos en los que se dividen

N=25; %salto de intervalo en intervalo h=(tN-t0)/N;

   %vectores solución desde t0 a tN de h en h

i1=t0:h:tN; i2=t0:h:tN; i3=t0:h:tN;

   %vector de ceros y que va a almacenar las soluciones
   %tendra N+1 términos porque el primero es el cero y el ultimo el N
   %la intensidad dos es y(:,1)
   %la intensidad tres es y(:,2)
   %la intensidad uno es y(:,3)

y=zeros(N+1,3); y(1,1)=y0; y(1,2)=y0; y(1,3)=y0; PARA RESOLVER POR EL MÉTODO DEL TRAPECIO: %y(n+1)=y(n)+(h/2)*(f(t(n),y(n)+f(t(n+1),y(n+1)) %f(t,i2)=((E/L2)-R1*(i2+i3)+R2*i2)/L2 %f(t,i3)=((E/L1)-R1*(i2+i3)+R3*i3)/L1 for n=1:N

   y(n+1,1)=y(n,1)+(h/2)*(((20/0.11)-(6*(y(n,1)+y(n,2))+6*y(n,1))/0.11)+((20/0.11)-(6*(y(n+1,1)+y(n+1,2))+6*y(n+1,1))/0.11));
   y(n+1,2)=y(n,2)+(h/2)*(((20/0.3)-(6*(y(n,1)+y(n,2))+3*y(n,2))/0.3)+((20/0.3)-(6*(y(n+1,1)+y(n+1,2))+3*y(n+1,2))/0.3));  
   y(n+1,3)=y(n+1,1)+y(n+1,2);

end plot(i1,y(:,3)) plot(i2,y(:,1),'r') plot(i3,y(:,2),'g') hold off



GRAFICAEJ5.png