Diferencia entre revisiones de «Series de Fourier (Arturo, Mario)»

De MateWiki
Saltar a: navegación, buscar
(Apartado 2: Aproximación de una función continua)
(. Cambio de intervalo)
 
(No se muestran 207 ediciones intermedias de 2 usuarios)
Línea 1: Línea 1:
 
{{ TrabajoED | Series de Fourier. Grupo 6-A | [[:Categoría:EDP|EDP]]|[[:Categoría:EDP23/24|2023-24]] | Arturo Barrena García Mario Ríos Manjón }}
 
{{ TrabajoED | Series de Fourier. Grupo 6-A | [[:Categoría:EDP|EDP]]|[[:Categoría:EDP23/24|2023-24]] | Arturo Barrena García Mario Ríos Manjón }}
=.Introducción=
+
=. Introducción=
 
Las Series de Fourier, nombradas en honor al matemático francés Jean-Baptiste Joseph Fourier, han emergido como un pilar fundamental en el estudio de funciones periódicas y en la resolución de problemas en diversos campos de la ciencia y la ingeniería. Estas series representan una herramienta matemática potente y versátil que permite descomponer funciones periódicas complejas en una combinación infinita de senos y cosenos, revelando así una estructura subyacente que facilita el análisis y la comprensión de fenómenos periódicos.
 
Las Series de Fourier, nombradas en honor al matemático francés Jean-Baptiste Joseph Fourier, han emergido como un pilar fundamental en el estudio de funciones periódicas y en la resolución de problemas en diversos campos de la ciencia y la ingeniería. Estas series representan una herramienta matemática potente y versátil que permite descomponer funciones periódicas complejas en una combinación infinita de senos y cosenos, revelando así una estructura subyacente que facilita el análisis y la comprensión de fenómenos periódicos.
  
Línea 8: Línea 8:
  
 
Además, las Series de Fourier no solo se limitan a funciones periódicas clásicas, sino que su aplicación se extiende a funciones no periódicas mediante el concepto de transformada de Fourier. Este enfoque ampliado permite analizar señales no periódicas y ofrece un puente entre la teoría de funciones periódicas y la teoría de distribuciones, lo que hace que las Series de Fourier sean una herramienta matemática fundamental en la resolución de problemas prácticos y teóricos.
 
Además, las Series de Fourier no solo se limitan a funciones periódicas clásicas, sino que su aplicación se extiende a funciones no periódicas mediante el concepto de transformada de Fourier. Este enfoque ampliado permite analizar señales no periódicas y ofrece un puente entre la teoría de funciones periódicas y la teoría de distribuciones, lo que hace que las Series de Fourier sean una herramienta matemática fundamental en la resolución de problemas prácticos y teóricos.
=.Preliminar=
 
Tomemos  el espacio de Hilbert <math>L^2([-\pi,\pi])</math>, así como una base de Hilbert de dicho espacio <math>\{ \frac{1}{2},\cos(nx),\sin(nx)\}_{n \in \mathbb{N}}</math>. Sea <math> f \in L^2 ([-\pi,\pi]) </math>  se define la serie de Fourier como la serie convergente tal que:
 
  
<center><math> f(x) = \frac{a_0}{2}+ \sum_{n=1}^\infty[ a_n \sin(n \pi x) +b_n \cos(n\pi x)] </math></center>
+
=. Preliminares=
 +
==. Series de Fourier==
 +
Tomemos  el espacio de Hilbert <math>L^2(-\pi,\pi)</math>, así como una base de dicho espacio <math>\{ \frac{1}{2},\cos(nx),\sin(nx)\}_{n \in \mathbb{N}}</math>. Esto significa que cualquier función cuadrado-integrable en <math> [-\pi,\pi]</math> puede ser expresada como una combinación lineal de estas funciones de la base (en casi todo punto). Formalmente, sea <math> f \in L^2 ([-\pi,\pi]) </math> se define la serie de Fourier como la serie convergente tal que:
  
Esto significa que cualquier función cuadrado-integrable en ese intervalo puede ser expresada como una combinación lineal de estas funciones.
+
<center><math> f(x) = \frac{a_0}{2}+ \sum_{n=1}^\infty[ a_n \cos(nx) +b_n \sin(nx)]  </math> e.c.t.p,</center>
Los términos <math> a_0,a_n, b_n \in \mathbb{R} </math> reciben el nombre de coeficientes de Fourier y se calculan como sigue:
+
  
<center> <math>a_0 =\frac{1}{\pi}\int_{-\pi}^{\pi} f(x) dx, \hspace{30px} a_n =\frac{1}{\pi}\int_{-\pi}^{\pi} f(x) \sin(n \pi x) dx, \hspace{30px} b_n =\frac{1}{\pi}\int_{-\pi}^{\pi} f(x) \cos(n \pi x) dx  </math> </center>
+
resultado de expresar la función <math>f</math> como combinación lineal de los términos de la base anterior. Los coeficientes <math> a_0,a_n, b_n \in \mathbb{R} </math> reciben el nombre de coeficientes de Fourier. Además, esta base es ortogonal ya que usando la definición de producto escalar de <math>L^{2}</math> obtenemos:
  
Debemos observar que <math>\{ \frac{1}{2},\cos(n\pi x),\sin(n \pi x)\}_{n \in \mathbb{N}}</math> es una base de Hilbert salvo reescalamiento, es decir, que las componentes de la base no están normalizadas.
+
<center><math> ((1/2,\cos(n x))_{L^2} = \int_{-\pi}^{\pi} \frac{\cos(n x)}{2} dx =0</math></center>
 +
<center><math>  ((1/2,\sin(n x))_{L^2} = \int_{-\pi}^{\pi} \frac{\sin(n x)}{2} dx =0</math></center>
 +
<center><math>(\cos(m x),\cos(n x))_{L^2} =\int_{-\pi}^{\pi} \cos(n x)\cdot \cos(m x) dx =0 </math></center>
 +
<center><math>(\cos(n x),\sin(m x))_{L^2}=\int_{-\pi}^{\pi} \cos(n x)\cdot \sin(m x) dx =0.  </math></center>
 +
<center><math>(\sin(n x),\sin(m x))_{L^2}=\int_{-\pi}^{\pi} \sin(n x)\cdot \sin(m x) dx =0. </math></center>
  
Otra cosa importante a recalcar es que la definición anterior se ha hecho para funciones definidas sobre el compacto <math>[-\pi,\pi]</math>. Sin embargo, esto se puede definir para cualquier otro intervalo de la forma <math>[-T,T]</math> mediante el cambio de variable <math>y=x\frac{T}{\pi}</math>, obteniendo la base:
+
Sin embargo, se debe observar que <math>\{ \frac{1}{2},\cos(n x),\sin(n  x)\}_{n \in \mathbb{N}}</math> es una base ortogonal pero no ortonormal, es decir, que las componentes de la base no están normalizadas. Por tanto, es posible calcular los coeficientes de Fourier de la siguiente forma:
 +
 
 +
<center><math>  a_0=\frac{\langle f , 1/2  \rangle _{L^2(-\pi,\pi)}}{|| \frac{1}{2}||^{2}_{L^2(-\pi,\pi)}}, \hspace{30px} a_n=\frac{\langle f , \cos(nx)  \rangle _{L^2(-\pi,\pi)}}{||\cos(nx)||^{2}_{L^2(-\pi,\pi)}} \hspace{15px} \text{y} \hspace{15px} b_n=\frac{\langle f , \sin(nx)  \rangle _{L^2(-\pi,\pi)}}{||\sin(nx)||^{2}_{L^2(-\pi,\pi)}}.  </math></center>
 +
 
 +
Desarrollando, se llega a que es posible calcularlos de la siguiente forma:
 +
 
 +
<center> <math>a_0 =\frac{1}{\pi}\int_{-\pi}^{\pi} f(x) dx, \hspace{30px} a_n =\frac{1}{\pi}\int_{-\pi}^{\pi} f(x) \cos(nx) dx, \hspace{30px} b_n =\frac{1}{\pi}\int_{-\pi}^{\pi} f(x) \sin(nx) dx  </math> </center>
 +
 
 +
Otra cosa importante a recalcar es que la definición anterior se ha hecho para funciones definidas sobre el compacto <math>[-\pi,\pi]</math>. Sin embargo, esto se puede definir para cualquier otro intervalo de la forma <math>[-T,T]</math> mediante el cambio de variable <math>y=x\frac{T}{\pi}</math>, obteniendo la base ortogonal de <math>L^2([-T,T])</math>:
  
 
<center><math>\lbrace \frac{1}{2},\cos(\frac{n\pi}{T} y),\sin(\frac{n\pi}{T} y)\rbrace_{n \in \mathbb{N}}</math></center>
 
<center><math>\lbrace \frac{1}{2},\cos(\frac{n\pi}{T} y),\sin(\frac{n\pi}{T} y)\rbrace_{n \in \mathbb{N}}</math></center>
  
A partir de esto también es posible generalizarlo a intervalos de la forma <math> [a,b] </math>. Bastaría utilizar la base del espacio <math>L^2([-\frac{b-a}{2},\frac{b-a}{2}])</math>, ya que estaría conformada por funciones periodicas de periodo <math>b-a</math>, que coincidiría con la longitud del intervalo de definición de la función que queremos aproximar.
+
En este caso, los coeficientes de Fourier se podrían calcular simplemente haciendo:
 +
<center> <math>a_0 =\frac{1}{T}\int_{-T}^{T} f(y) dy, \hspace{30px} a_n =\frac{1}{T}\int_{-T}^{T} f(y) \cos(\frac{n\pi}{T} y) dy, \hspace{30px} b_n =\frac{1}{T}\int_{-T}^{T} f(y) \sin(\frac{n\pi}{T} y) dy  </math> </center>
 +
 
 +
También es posible generalizar a intervalos de la forma <math> [a,b] </math>. Expresar la serie de Fourier de la función <math>f(x)</math> en el intervalo <math> [a,b] </math> es equivalente a expresar la serie de la función desplazada <math>g(x)=f(x-a-\frac{b-a}{2})</math> en el intervalo <math>[-\frac{b-a}{2},\frac{b-a}{2}]</math>, el cual es de la forma anterior (simétrico con respecto al 0), y luego deshacer el desplazamiento. Como ya hemos visto, la base ortogonal que hemos usado de <math>L^2(-\frac{b-a}{2},\frac{b-a}{2})</math> es:
 +
<center><math>\lbrace \frac{1}{2},\cos(\frac{2 n\pi}{b-a} x),\sin(\frac{2 n\pi}{b-a} x)\rbrace_{n \in \mathbb{N}}</math></center>.
 +
 
 +
Con esto, tendremos que:
 +
<center><math> g(x)= \bar{a_0}/2 + \sum_{k=1}^\infty [\bar{a_k} \cos(\frac{2 n\pi}{b-a} x) + \bar{b_k} \sin(\frac{2 n\pi}{b-a} x)]</math> e.c.t.p,</center>
 +
donde:
 +
<center><math>\bar{a_0}=\int_{-1}^1 g(x)/2 dx</math></center>
 +
<center><math>\bar{a_k}=\int_{-1}^1 g(x) \cos(\frac{2 n\pi}{b-a} x) dx</math></center>
 +
<center><math>\bar{b_k}=\int_{-1}^1 g(x) \sin(\frac{2 n\pi}{b-a} x) dx</math></center>
 +
 
 +
Sin embargo, usando propiedades trigonométricas llegamos a que podemos expresar <math>f</math> de la siguiente forma:
 +
<center><math> f(x)= a_0/2 + \sum_{k=1}^\infty [a_k \cos(\frac{2 n\pi}{b-a} x) + b_k \sin(\frac{2 n\pi}{b-a} x)]</math> e.c.t.p,</center>
 +
para algunos <math>a_0, a_k, b_k</math> con <math>k\in \mathbb{N} </math> por lo que la base ortogonal <math>\lbrace \frac{1}{2},\cos(\frac{2 n\pi}{b-a} x),\sin(\frac{2 n\pi}{b-a} x)\rbrace_{n \in \mathbb{N}}</math> de <math>L^2(-\frac{b-a}{2},\frac{b-a}{2})</math> también es base ortogonal de <math>L^2(a,b)</math>. Por tanto, podemos calcular los coeficientes de la siguiente forma:
 +
<center><math>  a_0=\frac{\langle f , 1/2  \rangle _{L^2(a,b)}}{|| \frac{1}{2}||^{2}_{L^2(a,b)}}, \hspace{30px} a_k=\frac{\langle f , \sin(\frac{2 n\pi}{b-a}  \rangle _{L^2(a,b)}}{||\sin(\frac{2 n\pi}{b-a}||^{2}_{L^2(a,b)}} \hspace{15px} \text{y} \hspace{15px} b_n=\frac{\langle f , \cos(\frac{2 n\pi}{b-a}  \rangle _{L^2(a,b)}}{||\cos(\frac{2 n\pi}{b-a}||^{2}_{L^2(a,b)}}.  </math></center>
 +
==. Extensión par e impar ==
 +
Dada una función <math>f</math> en un intervalo de la forma <math> [0,T] </math> es muy típico aproximar este tipo de funciones extendiéndola de forma par o impar. De este modo conseguimos que nuestra nueva función <math>g</math> esté definida en <math> [-T,T] </math> y al ser par o impar, varios coeficientes de Fourier se hacen <math>0</math>.
 +
 
 +
Extender de forma par una función <math>f</math> es muy sencillo, basta con definir:
 +
 
 +
<math> g_1(x)= \left \{ \begin{array}{ll}
 +
 
 +
f(x), & \quad x\in [0,T], \\
 +
 
 +
 
 +
 
 +
f(-x), & \quad x \in [-T,0).
 +
 
 +
\end{array} \right. </math>
 +
 
 +
Veamos cómo son los coeficientes de esta función par <math>g_1</math>:
 +
<center> <math>a_0 =\frac{1}{T}\int_{-T}^{T} g_1(x) dx=0, \hspace{30px} a_n =\frac{1}{T}\int_{-T}^{T} g_1(x) \cos(\frac{n\pi}{T} x) dx=0, \hspace{30px} b_n =\frac{1}{T}\int_{-T}^{T} g_1(x) \sin(\frac{n\pi}{T} x) dx </math>, </center>
 +
donde los coeficientes que son <math>0</math> lo son debido a que la integral de una función par en un intervalo simétrico con respecto al <math>0</math> es igual a <math>0</math> y el producto de funciones pares (<math>g_1</math> y el coseno) es par.
 +
Por lo tanto, se tiene que:
 +
 
 +
<center><math> g_1(x)= \sum_{k=1}^\infty b_k \sin(\frac{2 n\pi}{b-a} x)</math> e.c.t.p,</center>
 +
 
 +
Finalmente, basta restringir <math> g_1 </math> a <math> [0,T] </math> para obtener el desarrollo de <math> f </math>. Es decir, esto también demuestra que <math>\lbrace \sin(\frac{n\pi}{T} x)\rbrace_{n \in \mathbb{N}}</math> es una base ortogonal de <math>L^2(0,T)</math>.
 +
 
 +
De igual forma, para extender <math>f</math> de forma impar definimos:
 +
 
 +
<math> g_2(x)= \left \{ \begin{array}{ll}
 +
 
 +
f(x), & \quad x\in [0,T], \\
 +
 
 +
 
 +
 
 +
-f(-x), & \quad x \in [-T,0).
 +
 
 +
\end{array} \right. </math>
 +
 
 +
Veamos cómo son los coeficientes de esta función par <math>g_2</math>:
 +
 
 +
<center> <math>a_0 =\frac{1}{T}\int_{-T}^{T} g_2(x) dx, \hspace{30px} a_n =\frac{1}{T}\int_{-T}^{T} g_2(x) \cos(\frac{n\pi}{T} x) dx, \hspace{30px} b_n =\frac{1}{T}\int_{-T}^{T} g_2(x) \sin(\frac{n\pi}{T} x) dx=0 </math>, </center>
 +
donde los coeficientes que son <math>0</math> lo son debido a que de nuevo la integral de una función par en un intervalo simétrico con respecto al <math>0</math> es igual a <math>0</math> y el producto de funciones impares (<math>g_2</math> y el seno) es par.
 +
Por lo tanto, se tiene que:
 +
 
 +
<center><math> g_2(x)= a_0/2 + \sum_{k=1}^\infty a_k \cos(\frac{2 n\pi}{b-a} x)</math> e.c.t.p,</center>
 +
 
 +
Finalmente, basta restringir <math> g_2 </math> a <math> [0,T] </math> para obtener el desarrollo de <math> f </math>. Es decir, esto también demuestra que <math>\lbrace 1/2,\cos(\frac{n\pi}{T} x)\rbrace_{n \in \mathbb{N}}</math> es una base ortogonal de <math>L^2(0,T)</math>.
 +
 
 +
=. Base trigonométrica=
 +
 
 +
[[Archivo:Basecos1.png|300px|thumb|right|Términos de la base <math> \cos(n\pi x)</math> para n=1,2,...10.]]
 +
[[Archivo:Basesen1.png|300px|thumb|right|Términos de la base <math> \sin(n\pi x)</math> para n=1,2,...10.]]
 +
Para familiarizarse con las bases empleadas en los desarrollos en series de Fourier es imprescindible dibujar en una gráfica algunos términos de una base. En este caso, se van a dibujar algunos de los términos de la base trigonométrica <math> \left\{\frac{1}{2}, \cos(n\pi x), \sin(n\pi x)\right\}_{n \in \mathbb{N}} </math> de <math> L^2(−1, 1) </math>.
 +
 
 +
 
 +
 
 +
El periodo de una función trigonométrica, como el seno o el coseno, determina la longitud de un ciclo completo de la función. En el caso del seno y el coseno estándar, el periodo es <math> 2\pi </math>. Sin embargo, al cambiar el periodo, se modifica la longitud del ciclo, lo que afectará la frecuencia y la variación de la función en el dominio.
 +
 
 +
En este caso, el periodo tanto para el seno como para el coseno es <math>T= \frac{2}{n}</math>. Se puede observar a medida que <math>n</math> es mayor el periodo se hace mas pequeño, eso quiere decir que la frecuencia disminuye por lo tanto el tiempo que tarda en completar un ciclo es menor (si se interpreta el eje x como el tiempo), consecuentemente hay mayor número de oscilaciones ya que la curva completa un mayor numero de ciclos en menos tiempo tal y como se puede observar en las figuras mostradas.
 +
 
 +
[[Archivo:Constante.png|300px|thumb|right|Término de la base constante igual a <math> 1/2 </math>.]]
 +
 
 +
 
 +
 
 +
 
 +
 
 +
 
 +
 
 +
 
 +
 
 +
 
 +
 
 +
 
 +
 
 +
 
  
La serie de Fourier converge puntualmente al valor de la función en los puntos de continuidad de la función original. Sin embargo, la convergencia puede ser problemática en puntos de discontinuidad.
 
  
=.Apartado 1: Base trigonométrica=
+
Véase que el código de matlab será:
Se pide dibujar en una gráfica los 10 primeros términos de la base
+
trigonométrica <math>  \left\{\frac{1}{2}, \cos(n\pi x), \sin(n\pi x)\right\}, \, n \in \mathbb{N}
+
</math> en el intervalo  <math> x \in [−1, 1] </math>.
+
 
{{matlab|codigo=close all
 
{{matlab|codigo=close all
 
clear all
 
clear all
Línea 70: Línea 166:
 
title('1/2')
 
title('1/2')
 
}}
 
}}
<br/>
 
<br/>
 
[[Archivo:Constante.png|400px|thumb|right|Término de la base constante.]]
 
[[Archivo:Basecos1.png|400px|thumb|right|Término de la base <math> \cos(n\pi x)</math> que se muestra en rojo.]]
 
[[Archivo:Basesen1.png|400px|thumb|right|Término de la base <math> \sin(n\pi x)</math> se muestra en verde.]]
 
  
 +
=. Aproximación de una función continua=
 +
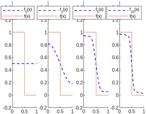
[[Archivo:Fotoejer2 1.png|400px|thumb|right|Aproximación de <math>f</math> mediante <math>f_n</math> para <math>n=1,5,10</math>.]]
  
 
 
El periodo de una función trigonométrica, como el seno o el coseno, determina la longitud de un ciclo completo de la función. En el caso del seno y el coseno estándar, el periodo es <math> 2\pi </math>. Sin embargo, al aumentar el periodo, estás modificando la longitud del ciclo, lo que afectará la frecuencia y la variación de la función en el dominio.
 
 
Aumento del periodo del coseno:
 
 
Efecto en el dominio: Si aumentas el periodo del coseno, la función se extenderá a lo largo del eje x antes de repetirse. Esto significa que la variación de la función se ralentizará, ya que se necesitará un rango x más amplio para completar un ciclo. La frecuencia disminuirá.
 
 
En el gráfico: Verás una elongación horizontal de la onda coseno. Los puntos donde la función alcanza sus máximos y mínimos se distanciarán más en el eje x.
 
 
Aumento del periodo del seno:
 
 
Efecto en el dominio: Similar al coseno, aumentar el periodo del seno también significa que la función tardará más en repetirse. La frecuencia disminuirá, y la función se extenderá a lo largo del eje x antes de volver a repetirse.
 
En el gráfico: Observarás una onda seno que se estira horizontalmente. Los puntos donde la función cruza el eje x y alcanza sus extremos se distanciarán más en el eje x.
 
En términos prácticos, aumentar el periodo de estas funciones afectará la rapidez con la que oscilan a lo largo del eje x. Es importante notar que, a medida que ajustas el periodo, también afectas la frecuencia angular de la función, ya que la frecuencia angular está relacionada con el inverso del periodo.
 
 
En resumen, aumentar el periodo disminuirá la frecuencia y extenderá la longitud de un ciclo completo de la función trigonométrica en el eje x.
 
 
=Apartado 2: Aproximación de una función continua=
 
 
Una vez se tiene una cierta familiaridad con la base trigonométrica, lo cual se ha logrado en la anterior sección, es hora de tratar de aproximar una función mediante la serie de Fourier usando dicha base. Por simplicidad, lo normal es comenzar aproximando una función continua. En esta sección, se escogerá:
 
Una vez se tiene una cierta familiaridad con la base trigonométrica, lo cual se ha logrado en la anterior sección, es hora de tratar de aproximar una función mediante la serie de Fourier usando dicha base. Por simplicidad, lo normal es comenzar aproximando una función continua. En esta sección, se escogerá:
 
<center><math> f(x)=x(1−x) </math></center>
 
<center><math> f(x)=x(1−x) </math></center>
la cual se tratará de aproximar en el intervalo [0,1].
+
la cual se tratará de aproximar en el intervalo <math>[0,1]</math>.
Para aproximar en este intervalo, simplemente podemos extender nuestra función de forma impar al intervalo [-1,1] de manera que la función siga siendo continua y usar las funciones impares de la base trigonométrica en [−1,1], es decir, <math>\left\{\sin(n\pi x)\right\}_{n \in \mathbb{N}}</math>. Con esto, tendremos que:
+
Para aproximar en este intervalo, simplemente podemos extender nuestra función de forma impar al intervalo <math>[-1,1]</math> de manera que la función siga siendo continua y usar las funciones impares de la base trigonométrica en <math>L^2(−1,1)</math>, es decir, <math>\left\{\sin(n\pi x)\right\}_{n \in \mathbb{N}}</math>, usando lo visto en los preliminares. Con esto, tendremos que:
<center><math> f(x)= \sum_{k=1}^\infty a_k \sin(k \pi x)</math> e.c.t.p,</center>
+
<center><math> f(x)= \sum_{k=1}^\infty b_k \sin(k \pi x)</math> e.c.t.p,</center>
 
donde:
 
donde:
<center><math>a_k=\int_0^1 f(x) \sin(k \pi x) dx</math></center>
+
<center><math>b_k=\int_0^1 f(x) \sin(k \pi x) dx</math></center>
 
Si llamamos:
 
Si llamamos:
<center><math> f_n(x)= \sum_{k=1}^n a_k \sin(k \pi x)</math></center>
+
<center><math> f_n(x)= \sum_{k=1}^n b_k \sin(k \pi x)</math></center>
Esto permite aproximar <math>f</math> con <math> f_n </math> para varios valores de <math>n</math>, observando cómo cuánto mayor sea <math>n</math> mejor es la aproximación. Para <math>n=1,5,10</math> se tienen las siguientes gráficas:
+
Esto permite aproximar <math>f</math> con <math> f_n </math> para varios valores de <math>n</math>, observando cómo cuánto mayor sea <math>n</math> mejor es la aproximación. Haciendo esto, se han dibujado las gráficas para <math>n=1,5,10</math>.
[[Archivo:Fotoejer2 1.png|400px|thumb|right|Término de la base constante.]]
+
 
 +
[[Archivo:AproxContError.png|400px|thumb|right|Error en norma en escala logarítmica para <math>n=0,1,...,10</math> y error uniforme para <math>n=0,1,...,10</math> de la aproximación por <math>f_n</math>.]]
 +
 
 
Visualmente, es posible observar la mejora en la aproximación con el aumento del valor de <math>n</math>. Sin embargo, para una mayor rigurosidad, se deben observar los errores para cada <math>n</math> y cómo disminuyen con el aumento de la <math>n</math>. En este caso se calcula el error en la norma <math>L^2(0,1)</math> y el error uniforme para <math>n=1,2,...,10</math>:
 
Visualmente, es posible observar la mejora en la aproximación con el aumento del valor de <math>n</math>. Sin embargo, para una mayor rigurosidad, se deben observar los errores para cada <math>n</math> y cómo disminuyen con el aumento de la <math>n</math>. En este caso se calcula el error en la norma <math>L^2(0,1)</math> y el error uniforme para <math>n=1,2,...,10</math>:
 
<center><math> ErrorNorma=\left(\int_0^1|f(x)-f_n(x)|^2 dx\right)^{1/2}</math>.</center>
 
<center><math> ErrorNorma=\left(\int_0^1|f(x)-f_n(x)|^2 dx\right)^{1/2}</math>.</center>
 
<center><math> ErrorUnif=sup_{x\in [0,1]}|f(x)-f_n(x)|</math>.</center>
 
<center><math> ErrorUnif=sup_{x\in [0,1]}|f(x)-f_n(x)|</math>.</center>
Representando los errores en una gráfica se tiene lo siguiente:
+
Se han calculado dichos errores para cada <math>n</math> y se han dibujado en una gráfica, donde es posible observar cómo ambos decrecen al aumentar la <math>n</math>, lo cual quiere decir que la serie converge uniformemente y en norma de <math>L^2(0,1)</math> a <math>f</math>.
[Archivo:Fotoejer2 2.png|400px|thumb|right|Término de la base constante.]
+
 
En esta gráfica se puede ver claramente cómo ambos errores decrecen cuando se aumenta la <math>n</math>.
+
 
 +
 
 +
 
 
{{matlab|codigo=
 
{{matlab|codigo=
 
close all
 
close all
Línea 157: Línea 235:
 
figure(2)
 
figure(2)
 
subplot(1,2,1)
 
subplot(1,2,1)
plot(1:10,ErrorNorma)
+
semilogy(1:10,ErrorNorma)
 
ylim([0,0.009])
 
ylim([0,0.009])
 
legend('Error Norma')
 
legend('Error Norma')
 
subplot(1,2,2)
 
subplot(1,2,2)
plot(1:10,ErrorUnif)
+
semilogy(1:10,ErrorUnif)
 
ylim([0,0.013])
 
ylim([0,0.013])
 
legend('Error Uniforme')
 
legend('Error Uniforme')
 
}}
 
}}
  
=Apartado 3: Aproximación de una función  discontinua=
+
=. Aproximación de una función  discontinua=
 +
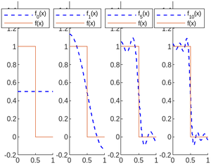
[[Archivo: AproxDisc 1.png|300px|thumb|right|Aproximación de <math>f</math> mediante <math>f_n</math> para <math>n=0,1,5,10</math>.]]
 +
[[Archivo:AproxDisc2Error.png|300px|thumb|right|Error en norma en escala logarítmica para <math>n=0,1,...,10</math> y error uniforme para <math>n=0,1,...,10</math> de la aproximación por <math>f_n</math>.]]
 +
[[Archivo:AproxDisc3.png|300px|thumb|right|Aproximación de <math>f</math> mediante <math>S_N</math> para <math>N=0,1,5,10</math>.]]
 +
[[Archivo:AproxDisc4Error.png|300px|thumb|right|Error en norma en escala logarítmica para <math>n=0,1,...,10</math> y error uniforme para <math>n=0,1,...,10</math> de la aproximación por <math>S_n</math>.]]
 +
 
 +
En la anterior sección se usó la base trigonométrica para aproximar una función por su serie de Fourier. Sin embargo, esta función era continua. En esta sección se observará qué ocurre cuando una función no es continua, además de estudiar los errores que se tienen en la aproximación para distintos <math>n</math> tal y como se hizo para la función continua.
 +
 
 +
Se escoge la siguiente función discontinua:
 +
<center><math> f(x)=1_{[0,1/2]}(x)</math> (función característica en [0,1/2]).</center>
 +
Trataremos de aproximarla en [0,1] al igual que en el caso anterior. Para aproximar en este intervalo, simplemente podemos extender nuestra función de forma par al intervalo [-1,1] y usar las funciones pares de la base trigonométrica en [−1,1], es decir, <math>\left\{1/2,\cos(n\pi x)\right\}_{n \in \mathbb{N}}</math>, usando lo visto en los preliminares. Con esto, tendremos que:
 +
<center><math> f(x)= a_0/2 + \sum_{k=1}^\infty a_k \cos(k \pi x)</math> e.c.t.p,</center>
 +
donde:
 +
<center><math>a_0=\int_0^1 f(x)/2 dx</math></center>
 +
<center><math>a_k=\int_0^1 f(x) \cos(k \pi x) dx</math></center>
 +
Si llamamos:
 +
<center><math> f_n(x)= a_0/2 + \sum_{k=1}^n a_k \cos(k \pi x)</math>,</center>
 +
esto permite aproximar <math>f</math> con <math> f_n </math> para varios valores de <math>n</math>, observando cómo cuánto mayor sea <math>n</math> mejor es la aproximación. Haciendo esto, se han dibujado las gráficas para <math>n=1,5,10</math>.
 +
 
 +
De nuevo, visualmente, es posible observar la mejora en la aproximación con el aumento del valor de <math>n</math>. Sin embargo, parecen aparecer unas oscilaciones en los extremos que hacen que la aproximación no parezca tan exacta como en el caso anterior. Para estudiar esta aproximación de forma más rigurosa, se han vuelto a calcular el error en norma y el error uniforme, dibujándolos en una gráfica para distintos valores de <math>n</math>.
 +
 
 +
Es fácil ver que el error en norma, al igual que antes, se reduce al aumentar la <math>n</math>.Sin embargo, el error uniforme se mantiene en <math>1/2</math> todo el rato. Esto se debe a que la serie de Fourier en <math>x=1/2</math> tomará el valor medio entre <math>1</math> y <math>0</math>, es decir, <math>1/2</math>. Esto hace que para cualquier <math>n</math> la función <math>f_n</math> aproxime <math>f(1/2)\approx 1/2</math>, causando así siempre un error uniforme de valor <math>1/2</math>. Esto también nos muestra que la serie de Fourier no converge uniformemente a <math>f</math> (lo cual tiene sentido pues una sucesión de funciones continuas no puede converger uniformemente a una función discontinua). Además, la mala aproximación de la serie en <math>x=1/2</math> hace que se provoquen esas oscilaciones que pueden observarse en la gráfica. Estas oscilaciones se conocen como el fenómeno de Gibbs. Una forma de reducir el efecto del fenómeno de Gibbs es usar las sumas de Cesàro para aproximar la función <math>f</math>. Estas se definen como:
 +
<center><math> S_N(x)= \frac{1}{N+1}\sum_{n=0}^N f_n(x)</math>.</center>
 +
Representando en una gráfica las sumas de Cesàro junto con la función f, podemos observar cómo se reducen las oscilaciones del fenómeno de Gibbs.
 +
 
 +
De nuevo, para una mayor rigurosidad, se deben observar los errores para cada <math>N</math> y cómo disminuyen con el aumento de la <math>N</math> en el caso de las sumas de Cesàro. En este caso, tal y cómo se ve en la gráfica, el error en norma aumenta un poco con respecto a la aproximación anterior y el error uniforme se mantiene igual. Sin embargo, el efecto de las oscilaciones se ha reducido por completo.
 +
 
 
{{matlab|codigo=
 
{{matlab|codigo=
 
close all
 
close all
 
clear all
 
clear all
 
%Trapecio
 
%Trapecio
f=@(x) x<=1/2;
+
f=@(x)x.*(1-x);
 
xx=0:0.001:1;
 
xx=0:0.001:1;
Y=zeros(length(xx));
+
Y=zeros(10,length(xx));
Y(1,:)=1/2*ones(1,length(xx));
+
for i = 1:10
for i = 1:9
+
     g=@(x) f(x).*sin(i.*pi.*x);
     g=@(x) f(x).*cos(i.*pi.*x);
+
 
     a=2*trapz(xx,g(xx));
 
     a=2*trapz(xx,g(xx));
     h=@(x)a.*cos(i.*pi.*x);
+
     h=@(x)a.*sin(i.*pi.*x);
     Y(i+1,:)=h(xx);
+
     Y(i,:)=h(xx);
 
end
 
end
F=zeros(length(xx));
+
F=zeros(10,length(xx));
 
F(1,:)=Y(1,:);
 
F(1,:)=Y(1,:);
 
for i= 2:10
 
for i= 2:10
Línea 188: Línea 291:
  
 
%Gráficas
 
%Gráficas
for i=1:10
+
Ns=[1,5,10];
     subplot(2,5,i)
+
for i=1:length(Ns)
 +
     subplot(1,3,i)
 
     hold on
 
     hold on
     plot(xx,F(i,:), 'b--', "LineWidth",1)
+
     plot(xx,F(Ns(i),:), 'b--', "LineWidth",1)
 
     plot(xx,f(xx))
 
     plot(xx,f(xx))
 
     hold off
 
     hold off
     ylim([-0.2,1.5])
+
     ylim([0,0.35])
     legend('f_{i}(x)', 'f(x)')
+
     legend("f_{"+num2str(Ns(i))+"}(x)", 'f(x)')
 
end
 
end
  
Línea 211: Línea 315:
 
figure(2)
 
figure(2)
 
subplot(1,2,1)
 
subplot(1,2,1)
plot(1:10,ErrorNorma)
+
semilogy(1:10,ErrorNorma)
ylim([0,0.7])
+
ylim([0,0.009])
 
legend('Error Norma')
 
legend('Error Norma')
 
subplot(1,2,2)
 
subplot(1,2,2)
plot(1:10,ErrorUnif)
+
semilogy(1:10,ErrorUnif)
ylim([0,0.7])
+
ylim([0,0.013])
 
legend('Error Uniforme')
 
legend('Error Uniforme')
  
 +
%Sumas de Cesaro
 +
S=zeros(11,length(xx));
 +
S(1,:)=F(1,:);
 +
for N=2:11
 +
    S(N,:)=1/N.*sum(F(1:N,:));
 +
end
 +
 +
%Gráficas sumas de Cesaro
 +
for i=1:length(Ns)
 +
    figure(3)
 +
    subplot(1,4,i)
 +
    hold on
 +
    plot(xx,S(Ns(i),:), 'b--', "LineWidth",1)
 +
    plot(xx,f(xx))
 +
    hold off
 +
    ylim([-0.2,1.5])
 +
    legend("f_{"+num2str(Ns(i)-1)+"}(x)", 'f(x)')
 +
end
 +
 +
%Errores
 +
ErrorNorma=zeros(1,10);
 +
ErrorUnif=zeros(1,10);
 +
for i=1:11
 +
    Resta=abs(f(xx)-S(i,:));
 +
    %Error norma
 +
    Integral=trapz(xx,Resta.^2);
 +
    ErrorNorma(i)=Integral^(1/2);
 +
    %Error uniforme
 +
    ErrorUnif(i)=max(Resta);
 +
end
 +
figure(4)
 +
subplot(1,2,1)
 +
semilogy(0:10,ErrorNorma)
 +
legend('Error Norma')
 +
subplot(1,2,2)
 +
plot(0:10,ErrorUnif)
 +
ylim([0,0.7])
 +
legend('Error Uniforme')
 
}}
 
}}
=Apartado 4: Cambio de intervalo=
 
Se pide la base trigonométrica para el intervalo [1, 3] y aproximar la función <math> f(x) = xe^{-x} </math>
 
con los primeros 5, 10 y 20 términos de la serie. La base trigonométrica será <math>  B = \left\{\frac{1}{2}, \cos(n\pi x), \sin(n\pi x)\right\}, \, n \in \mathbb{N} </math> en el intervalo  <math> x \in [1, 3] </math> .
 
  
De este modo seremos capaces de calcular los coeficientes de Fourier para realizar la aproximación de la función f(x), véase que los coeficientes se calculan del siguiente modo:  
+
=. Cambio de intervalo=
<center> <math>a_0 =\int_{1}^{3} xe^{-x} dx, \hspace{30px} a_n =\int_{1}^{3} xe^{-x} \sin(n \pi x) dx, \hspace{30px} b_n =\int_{1}^{3} xe^{-x} \cos(n \pi x) dx  </math> </center>
+
 
 +
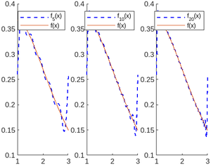
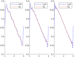
[[Archivo:CambioInt trapz.png|300px|thumb|right|Se muestran las gráficas correspondientes a la serie de Fourier que aproxima a <math> f(x)= x \cdot e^{-x} </math> donde se tendrán las aproximaciones para n= 5, 10, 20. Se han obtenido los coeficientes aplicando la fórmula del trapecio]]
 +
 
 +
 
 +
 
 +
En las secciones anteriores se ha tratado de aproximar funciones siempre en un intervalo simétrico respecto al cero, más específicamente en [-1,1] (cuando se aproximaba una función en [0,1] simplemente se extendía de forma par o impar a [-1,1] y se hacía la aproximación en este intervalo para luego restringirla a [0,1]). Sin embargo, el desarrollo en series de Fourier permite aproximar una función en cualquier intervalo, no necesariamente uno simétrico con respecto al 0. Para ello, en esta sección se hará una aproximación de una función en el intervalo [1,3].
 +
 
 +
En este caso, aproximaremos la función <math> f(x) = xe^{-x} </math> en [1, 3]. Como vimos en los preliminares, aproximar la función <math>f(x)</math> en el intervalo [1,3] es equivalente a aproximar la función desplazada <math>g(x)=f(x+2)</math> en el intervalo [-1,1] y luego deshacer el desplazamiento una vez obtenida la aproximación. De aquí se deducía que una base ortogonal de <math> L^2(1,3) </math> es la propia base ortogonal que usábamos en <math> L^2(-1,1) </math>. Como ya hemos visto en los anteriores apartados, la base trigonométrica de <math> L^2(-1,1) </math> es <math>\left\{1/2,\sin(n\pi x),\cos(n\pi x)\right\}_{n \in \mathbb{N}}</math>.
 +
 
 +
Con esto, tendremos que:
 +
<center><math> f(x)= a_0/2 + \sum_{k=1}^\infty [a_k \cos(k \pi x) + b_k \sin(k \pi x)]</math> e.c.t.p,</center>
 +
donde:
 +
<center> <math>a_0 =\frac{\int_{1}^{3} f(x)/2 dx}{\int_{1}^{3} 1/4 dx}=\int_{1}^{3} f(x) dx, \hspace{30px} a_k =\frac{\int_{1}^{3} f(x) \sin(k \pi x) dx}{\int_{1}^{3} \sin(k \pi x)^2 dx}=\int_{1}^{3} f(x) \sin(k \pi x) dx, \hspace{30px} b_k =\frac{\int_{1}^{3} f(x) \cos(k \pi x) dx}{\int_{1}^{3} \cos(k \pi x)^2 dx}=\int_{1}^{3} f(x) \cos(k \pi x) dx  </math> </center>
  
 
Obteniendo el siguiente resutado para los coeficientes:
 
Obteniendo el siguiente resutado para los coeficientes:
Línea 231: Línea 382:
 
<center> <math> a_0 = \mathrm{e}^{-3}\cdot\left(\mathrm{e}^2-2\right) </math> </center>
 
<center> <math> a_0 = \mathrm{e}^{-3}\cdot\left(\mathrm{e}^2-2\right) </math> </center>
  
<center> <math> a_n = -\dfrac{\mathrm{e}^{-3}\cdot\left(2\left({\pi}^2n^2+2\right)\sin\left(3{\pi}n\right)+{\pi}n\cdot\left(3{\pi}^2n^2+5\right)\cos\left(3{\pi}n\right)-2\mathrm{e}^2\sin\left({\pi}n\right)-\mathrm{e}^2{\pi}n\cdot\left({\pi}^2n^2+3\right)\cos\left({\pi}n\right)\right)}{\left({\pi}^2n^2+1\right)^2}  
+
<center> <math> a_k = -\frac{\mathrm{e}^{-3}\cdot\left(2\left({\pi}^2k^2+2\right)\sin\left(3{\pi}k\right)+{\pi}k\cdot\left(3{\pi}^2k^2+5\right)\cos\left(3{\pi}k\right)-2\mathrm{e}^2\sin\left({\pi}k\right)-\mathrm{e}^2{\pi}k\cdot\left({\pi}^2k^2+3\right)\cos\left({\pi}k\right)\right)}{\left({\pi}^2k^2+1\right)^2}
 +
 
 
</math> </center>
 
</math> </center>
  
<center> <math> b_n = \dfrac{\mathrm{e}^{-3}\cdot\left({\pi}n\cdot\left(3{\pi}^2n^2+5\right)\sin\left(3{\pi}n\right)-2\left({\pi}^2n^2+2\right)\cos\left(3{\pi}n\right)-\mathrm{e}^2{\pi}n\cdot\left({\pi}^2n^2+3\right)\sin\left({\pi}n\right)+2\mathrm{e}^2\cos\left({\pi}n\right)\right)}{\left({\pi}^2n^2+1\right)^2} </math> </center>
+
<center> <math> b_k = \frac{\mathrm{e}^{-3}\cdot\left({\pi}k\cdot\left(3{\pi}^2k^2+5\right)\sin\left(3{\pi}k\right)-2\left({\pi}^2k^2+2\right)\cos\left(3{\pi}k\right)-\mathrm{e}^2{\pi}k\cdot\left({\pi}^2k^2+3\right)\sin\left({\pi}k\right)+2\mathrm{e}^2\cos\left({\pi}k\right)\right)}{\left({\pi}^2k^2+1\right)^2} </math> </center>
[[Archivo:Serie.png|600px|thumb|right|Se muestran las gráficas correspondientes a la serie de Fourier que aproxima a <math> f(x)= x \cdot e^{-x} </math> donde se tendrán dichos términos para N= 5, 10, 20.]]
+
 
 +
De forma análoga a lo que se hizo en las anteriores secciones, si definimos:
 +
<center><math> f_n(x)= a_0/2 + \sum_{k=1}^n [a_k \cos(k \pi x) + b_k \sin(k \pi x)]</math>, con <math>f_0(x)=a_0/2</math></center>
 +
esto permite aproximar <math>f</math> con <math> f_n </math> para varios valores de <math>n</math>, observando cómo cuánto mayor sea <math>n</math> mejor es la aproximación. Haciendo esto, se han dibujado las gráficas para <math>n=5,10,20</math>.
 +
 
 +
[[Archivo:CambioInt exac.png|300px|thumb|right|Se muestran las gráficas correspondientes a la serie de Fourier que aproxima a <math> f(x)= x \cdot e^{-x} </math> donde se tendrán dichos términos para n= 5, 10, 20. Se usan los coeficientes calculados anteriormente.]]
 +
 
 +
Se puede observar que aproxima bastante bien en la gráfica. Sin embargo, vuelven a aparecer las oscilaciones del fenómeno de Gibbs aunque la función en este caso sea continua. Esto se debe a que la serie trata de aproximar la función con funciones periódicas aunque la función no sea periódica. Lo que trata de aproximar la serie es la función en <math>[1,3]</math> pero extendida periódicamente en cada intervalo de longitud 2, de forma que en <math>[3,5]</math> toma los mismos valores que en <math>[1,3]</math>. Esta función, es discontinua, ya que cada vez que comienza el siguiente periodo hay una discontinuidad, esto hace que las <math>f_n</math> aproximen constantemente <math>f(3)\approx \frac{f(1)+f(3)}{2}</math> para cualquier <math>n</math> y causa el efecto de Gibbs visto en la anterior sección.
  
 
{{matlab|codigo=
 
{{matlab|codigo=
Línea 291: Línea 450:
  
 
}}
 
}}
Este primer código calcula los coeficientes de la serie de Fourier aproximando las integrales por el método del trapecio, de esa forma verificamos que las expresiones mostradas previamente son correctas. Ahora aportamos un segundo código utilizando los coeficientes anteriormente calculados.
+
Este primer código calcula los coeficientes de la serie de Fourier aproximando las integrales por el método del trapecio, ya que calcular los coeficientes analíticamente no suele ser sencillo y no es aplicable a todos los casos. Ahora aportamos un segundo código utilizando los coeficientes anteriormente calculados, en el cual se comprueba que efectivamente son correctos.
 
{{matlab|codigo=
 
{{matlab|codigo=
 
clear all
 
clear all
 
close all
 
close all
 
f=@(x)x.*exp(-x);
 
f=@(x)x.*exp(-x);
xx=-1:0.001:1;
+
xx=1:0.001:3;
  
 
A=zeros(21,length(xx));
 
A=zeros(21,length(xx));
 
B=zeros(20,length(xx));
 
B=zeros(20,length(xx));
a_0=trapz(xx,f(xx+2)/2);
+
A(1,:)=(exp(-3) * (exp(2) - 2)).*ones(1,length(xx));
 +
for k=1:20
 +
    a_k = -(exp(-3) * (2 * (pi^2 * k.^2 + 2) .* sin(3 * pi * k) + pi * k .* (3 * pi^2 * k.^2 + 5) .* cos(3 * pi * k) - 2 * exp(2) * sin(pi * k) - exp(2) * pi * k .* (pi^2 * k.^2 + 3) .* cos(pi * k))) ./ (pi^2 * k.^2 + 1).^2;
 +
    b_k = (exp(-3) * (pi * k .* (3 * pi^2 * k.^2 + 5) .* sin(3 * pi * k) - 2 * (pi^2 * k.^2 + 2) .* cos(3 * pi * k) - exp(2) * pi * k .* (pi^2 * k.^2 + 3) .* sin(pi * k) + 2 * exp(2) * cos(pi * k))) ./ (pi^2 * k.^2 + 1).^2;
 +
   
 +
    h1=@(x)a_k.*sin(k.*pi.*x);
 +
    h2=@(x)b_k.*cos(k.*pi.*x);
 +
   
 +
    A(k+1,:)=h1(xx);
 +
    B(k,:)=h2(xx);
 +
end
 +
 
 +
F=zeros(21,length(xx));
 +
F(1,:)=A(1,:);
 +
F(2,:)=sum(A(1:2,:))+B(1,:);
 +
for i= 3:21
 +
    F(i,:)=sum(A(1:i,:)) + sum(B(1:i-1,:));
 +
end
 +
 
 +
%Gráficas
 +
subplot(1,3,1)
 +
hold on
 +
plot(xx,F(6,:), 'b--', "LineWidth",1)
 +
plot(xx,f(xx))
 +
hold off
 +
legend('f_{5}(x)', 'f(x)')
 +
 
 +
subplot(1,3,2)
 +
hold on
 +
plot(xx,F(11,:), 'b--', "LineWidth",1)
 +
plot(xx,f(xx))
 +
hold off
 +
legend('f_{10}(x)', 'f(x)')
 +
 
 +
subplot(1,3,3)
 +
hold on
 +
plot(xx,F(21,:), 'b--', "LineWidth",1)
 +
plot(xx,f(xx))
 +
hold off
 +
legend('f_{20}(x)', 'f(x)')
 +
 
 +
 
 +
 
 +
}}
 +
 
 +
=. Base trigonométrica compleja=
 +
Finalmente, se verá brevemente cómo también es posible aproximar funciones usando la base trigonométrica compleja. En <math>[-\pi,\pi]</math> la base trigonométrica compleja es <math>\left\{e^{inx}\right\}_{n \in \mathbb{Z}}</math>.
 +
 
 +
En este caso, se aproximará la función <math> f(x) = 4x(1/2-x)^2 </math> en [0,1]. Para ello, adaptamos la base trigonométrica compleja a este intervalo, de forma que tenemos la base <math>\left\{e^{2\pi inx}\right\}_{n \in \mathbb{Z}}</math> de <math>L^2(0,1)</math>. Con esto, tendremos que:
 +
<center><math> f(x)= \sum_{k=-\infty}^\infty a_k e^{2\pi inx}</math> e.c.t.p,</center>
 +
donde:
 +
 
 +
<center><math>a_k=\int_0^1 f(x) \overline{e^{2\pi inx}} dx</math></center>
 +
 
 +
Si llamamos:
 +
 
 +
 
 +
<center><math> f_n(x)= \sum_{k=-n}^n a_k e^{2\pi inx}</math>,</center>
 +
 
 +
esto permite aproximar <math>f</math> con <math> f_n </math> para varios valores de <math>n</math>, observando cómo cuánto mayor sea <math>n</math> mejor es la aproximación. De nuevo, se han dibujado gráficas para <math>n=5,10,20</math>.
 +
 
 +
 
 +
Al igual que antes, se puede ver claramente cómo al aumentar la <math>n</math> la aproximación es mejor, aunque aparecen de nuevo algunas oscilaciones que representan el fenómeno de Gibbs al no ser <math>f</math> una función periódica.
 +
 
 +
[[Archivo:Fotoej5.png|400px|thumb|right|Término de la base constante.]]
 +
 
 +
{{matlab|codigo=
 +
clear all
 +
close all
 +
f=@(x)4.*x.*(1/2-x).^2;
 +
xx=0:0.001:1;
 +
 
 +
A=zeros(21,length(xx));
 +
B=zeros(20,length(xx));
 +
a_0=trapz(xx,f(xx));
 
A(1,:)=a_0.*ones(1,length(xx));
 
A(1,:)=a_0.*ones(1,length(xx));
 
for k=1:20
 
for k=1:20
     g1=@(x)f(x+2).*sin(k.*pi.*x);
+
     g1=@(x)f(x).*conj(exp(k.*2i.*pi.*x));
     g2=@(x)f(x+2).*cos(k.*pi.*x);
+
     g2=@(x)f(x).*conj(exp(-k.*2i.*pi.*x));
  
 
     a_k= trapz(xx,g1(xx));
 
     a_k= trapz(xx,g1(xx));
 
     b_k= trapz(xx,g2(xx));
 
     b_k= trapz(xx,g2(xx));
  
     h1=@(x)a_k.*sin(k.*pi.*x);
+
     h1=@(x)a_k.*exp(k.*2i.*pi.*x);
     h2=@(x)b_k.*cos(k.*pi.*x);
+
     h2=@(x)b_k.*exp(-k.*2i.*pi.*x);
 
      
 
      
 
     A(k+1,:)=h1(xx);
 
     A(k+1,:)=h1(xx);
Línea 326: Línea 559:
 
subplot(1,3,1)
 
subplot(1,3,1)
 
hold on
 
hold on
plot(xx+2,F(6,:), 'b--', "LineWidth",1)
+
plot(xx,F(6,:), 'b--', "LineWidth",1)
plot(xx+2,f(xx+2))
+
plot(xx,f(xx))
 
hold off
 
hold off
 
legend('f_{5}(x)', 'f(x)')
 
legend('f_{5}(x)', 'f(x)')
Línea 333: Línea 566:
 
subplot(1,3,2)
 
subplot(1,3,2)
 
hold on
 
hold on
plot(xx+2,F(11,:), 'b--', "LineWidth",1)
+
plot(xx,F(11,:), 'b--', "LineWidth",1)
plot(xx+2,f(xx+2))
+
plot(xx,f(xx))
 
hold off
 
hold off
 
legend('f_{10}(x)', 'f(x)')
 
legend('f_{10}(x)', 'f(x)')
Línea 340: Línea 573:
 
subplot(1,3,3)
 
subplot(1,3,3)
 
hold on
 
hold on
plot(xx+2,F(21,:), 'b--', "LineWidth",1)
+
plot(xx,F(21,:), 'b--', "LineWidth",1)
plot(xx+2,f(xx+2))
+
plot(xx,f(xx))
 
hold off
 
hold off
 
legend('f_{20}(x)', 'f(x)')
 
legend('f_{20}(x)', 'f(x)')
 +
}}
  
}}
+
=Referencias=
  
A medida que aumentamos el número de términos en la serie de Fourier, la aproximación converge puntualmente a la función original en puntos específicos del dominio. Eso quiere decir que a medida que el número de términos de la serie aumenta, la calidad de la aproximación es mejor reduciendo de igual modo su error.
+
* [https://www.dmae.upct.es/~paredes/am_ti/apuntes/Tema%202.%20Series%20y%20transformadas%20de%20Fourier.pdf Series y transformadas de Fourier. Domingo Alcaraz Candela.]
 +
* [https://www.dmae.upct.es/~paredes/am_ti/apuntes/Tema%202.%20Series%20y%20transformadas%20de%20Fourier.pdf]
 +
*[https://espanol.libretexts.org/Ingenieria/Ingenier%C3%ADa_El%C3%A9ctrica_(Johnson)/04%3A_Dominio_de_frecuencia/4.02%3A_Serie_compleja_de_Fourier Serie compleja de Fourier]
 +
* [http://www.sc.ehu.es/sbweb/fisica3/oscilaciones/fourier/fourier.html]
  
=Apartado 5: Base trigonométrica compleja=
+
[[Categoría:EDP]]
 +
[[Categoría:EDP23/24]]

Revisión actual del 01:20 16 feb 2024

Trabajo realizado por estudiantes
Título Series de Fourier. Grupo 6-A
Asignatura EDP
Curso 2023-24
Autores Arturo Barrena García Mario Ríos Manjón
Este artículo ha sido escrito por estudiantes como parte de su evaluación en la asignatura

1 . Introducción

Las Series de Fourier, nombradas en honor al matemático francés Jean-Baptiste Joseph Fourier, han emergido como un pilar fundamental en el estudio de funciones periódicas y en la resolución de problemas en diversos campos de la ciencia y la ingeniería. Estas series representan una herramienta matemática potente y versátil que permite descomponer funciones periódicas complejas en una combinación infinita de senos y cosenos, revelando así una estructura subyacente que facilita el análisis y la comprensión de fenómenos periódicos.

En esencia, las Series de Fourier ofrecen una perspectiva única para entender cómo las funciones periódicas pueden expresarse como la suma ponderada de armónicos simples. Este enfoque proporciona un método efectivo para analizar señales periódicas en términos de sus componentes fundamentales, permitiendo la resolución de problemas desde la teoría de control hasta el procesamiento de señales y la física aplicada.

El proceso de descomposición armónica propuesto por Fourier es particularmente relevante en el análisis de señales periódicas en el ámbito de la teoría de la comunicación, la ingeniería eléctrica, la física teórica y otras disciplinas. La capacidad de representar funciones periódicas complejas mediante la suma infinita de funciones senoidales y cosenoidales simplifica la resolución de ecuaciones diferenciales, el estudio de fenómenos ondulatorios y la síntesis de señales complejas en términos de componentes más simples.

Además, las Series de Fourier no solo se limitan a funciones periódicas clásicas, sino que su aplicación se extiende a funciones no periódicas mediante el concepto de transformada de Fourier. Este enfoque ampliado permite analizar señales no periódicas y ofrece un puente entre la teoría de funciones periódicas y la teoría de distribuciones, lo que hace que las Series de Fourier sean una herramienta matemática fundamental en la resolución de problemas prácticos y teóricos.

2 . Preliminares

2.1 . Series de Fourier

Tomemos el espacio de Hilbert [math]L^2(-\pi,\pi)[/math], así como una base de dicho espacio [math]\{ \frac{1}{2},\cos(nx),\sin(nx)\}_{n \in \mathbb{N}}[/math]. Esto significa que cualquier función cuadrado-integrable en [math] [-\pi,\pi][/math] puede ser expresada como una combinación lineal de estas funciones de la base (en casi todo punto). Formalmente, sea [math] f \in L^2 ([-\pi,\pi]) [/math] se define la serie de Fourier como la serie convergente tal que:

[math] f(x) = \frac{a_0}{2}+ \sum_{n=1}^\infty[ a_n \cos(nx) +b_n \sin(nx)] [/math] e.c.t.p,

resultado de expresar la función [math]f[/math] como combinación lineal de los términos de la base anterior. Los coeficientes [math] a_0,a_n, b_n \in \mathbb{R} [/math] reciben el nombre de coeficientes de Fourier. Además, esta base es ortogonal ya que usando la definición de producto escalar de [math]L^{2}[/math] obtenemos:

[math] ((1/2,\cos(n x))_{L^2} = \int_{-\pi}^{\pi} \frac{\cos(n x)}{2} dx =0[/math]
[math] ((1/2,\sin(n x))_{L^2} = \int_{-\pi}^{\pi} \frac{\sin(n x)}{2} dx =0[/math]
[math](\cos(m x),\cos(n x))_{L^2} =\int_{-\pi}^{\pi} \cos(n x)\cdot \cos(m x) dx =0 [/math]
[math](\cos(n x),\sin(m x))_{L^2}=\int_{-\pi}^{\pi} \cos(n x)\cdot \sin(m x) dx =0. [/math]
[math](\sin(n x),\sin(m x))_{L^2}=\int_{-\pi}^{\pi} \sin(n x)\cdot \sin(m x) dx =0. [/math]

Sin embargo, se debe observar que [math]\{ \frac{1}{2},\cos(n x),\sin(n x)\}_{n \in \mathbb{N}}[/math] es una base ortogonal pero no ortonormal, es decir, que las componentes de la base no están normalizadas. Por tanto, es posible calcular los coeficientes de Fourier de la siguiente forma:

[math] a_0=\frac{\langle f , 1/2 \rangle _{L^2(-\pi,\pi)}}{|| \frac{1}{2}||^{2}_{L^2(-\pi,\pi)}}, \hspace{30px} a_n=\frac{\langle f , \cos(nx) \rangle _{L^2(-\pi,\pi)}}{||\cos(nx)||^{2}_{L^2(-\pi,\pi)}} \hspace{15px} \text{y} \hspace{15px} b_n=\frac{\langle f , \sin(nx) \rangle _{L^2(-\pi,\pi)}}{||\sin(nx)||^{2}_{L^2(-\pi,\pi)}}. [/math]

Desarrollando, se llega a que es posible calcularlos de la siguiente forma:

[math]a_0 =\frac{1}{\pi}\int_{-\pi}^{\pi} f(x) dx, \hspace{30px} a_n =\frac{1}{\pi}\int_{-\pi}^{\pi} f(x) \cos(nx) dx, \hspace{30px} b_n =\frac{1}{\pi}\int_{-\pi}^{\pi} f(x) \sin(nx) dx [/math]

Otra cosa importante a recalcar es que la definición anterior se ha hecho para funciones definidas sobre el compacto [math][-\pi,\pi][/math]. Sin embargo, esto se puede definir para cualquier otro intervalo de la forma [math][-T,T][/math] mediante el cambio de variable [math]y=x\frac{T}{\pi}[/math], obteniendo la base ortogonal de [math]L^2([-T,T])[/math]:

[math]\lbrace \frac{1}{2},\cos(\frac{n\pi}{T} y),\sin(\frac{n\pi}{T} y)\rbrace_{n \in \mathbb{N}}[/math]

En este caso, los coeficientes de Fourier se podrían calcular simplemente haciendo:

[math]a_0 =\frac{1}{T}\int_{-T}^{T} f(y) dy, \hspace{30px} a_n =\frac{1}{T}\int_{-T}^{T} f(y) \cos(\frac{n\pi}{T} y) dy, \hspace{30px} b_n =\frac{1}{T}\int_{-T}^{T} f(y) \sin(\frac{n\pi}{T} y) dy [/math]

También es posible generalizar a intervalos de la forma [math] [a,b] [/math]. Expresar la serie de Fourier de la función [math]f(x)[/math] en el intervalo [math] [a,b] [/math] es equivalente a expresar la serie de la función desplazada [math]g(x)=f(x-a-\frac{b-a}{2})[/math] en el intervalo [math][-\frac{b-a}{2},\frac{b-a}{2}][/math], el cual es de la forma anterior (simétrico con respecto al 0), y luego deshacer el desplazamiento. Como ya hemos visto, la base ortogonal que hemos usado de [math]L^2(-\frac{b-a}{2},\frac{b-a}{2})[/math] es:

[math]\lbrace \frac{1}{2},\cos(\frac{2 n\pi}{b-a} x),\sin(\frac{2 n\pi}{b-a} x)\rbrace_{n \in \mathbb{N}}[/math]
.

Con esto, tendremos que:

[math] g(x)= \bar{a_0}/2 + \sum_{k=1}^\infty [\bar{a_k} \cos(\frac{2 n\pi}{b-a} x) + \bar{b_k} \sin(\frac{2 n\pi}{b-a} x)][/math] e.c.t.p,

donde:

[math]\bar{a_0}=\int_{-1}^1 g(x)/2 dx[/math]
[math]\bar{a_k}=\int_{-1}^1 g(x) \cos(\frac{2 n\pi}{b-a} x) dx[/math]
[math]\bar{b_k}=\int_{-1}^1 g(x) \sin(\frac{2 n\pi}{b-a} x) dx[/math]

Sin embargo, usando propiedades trigonométricas llegamos a que podemos expresar [math]f[/math] de la siguiente forma:

[math] f(x)= a_0/2 + \sum_{k=1}^\infty [a_k \cos(\frac{2 n\pi}{b-a} x) + b_k \sin(\frac{2 n\pi}{b-a} x)][/math] e.c.t.p,

para algunos [math]a_0, a_k, b_k[/math] con [math]k\in \mathbb{N} [/math] por lo que la base ortogonal [math]\lbrace \frac{1}{2},\cos(\frac{2 n\pi}{b-a} x),\sin(\frac{2 n\pi}{b-a} x)\rbrace_{n \in \mathbb{N}}[/math] de [math]L^2(-\frac{b-a}{2},\frac{b-a}{2})[/math] también es base ortogonal de [math]L^2(a,b)[/math]. Por tanto, podemos calcular los coeficientes de la siguiente forma:

[math] a_0=\frac{\langle f , 1/2 \rangle _{L^2(a,b)}}{|| \frac{1}{2}||^{2}_{L^2(a,b)}}, \hspace{30px} a_k=\frac{\langle f , \sin(\frac{2 n\pi}{b-a} \rangle _{L^2(a,b)}}{||\sin(\frac{2 n\pi}{b-a}||^{2}_{L^2(a,b)}} \hspace{15px} \text{y} \hspace{15px} b_n=\frac{\langle f , \cos(\frac{2 n\pi}{b-a} \rangle _{L^2(a,b)}}{||\cos(\frac{2 n\pi}{b-a}||^{2}_{L^2(a,b)}}. [/math]

2.2 . Extensión par e impar

Dada una función [math]f[/math] en un intervalo de la forma [math] [0,T] [/math] es muy típico aproximar este tipo de funciones extendiéndola de forma par o impar. De este modo conseguimos que nuestra nueva función [math]g[/math] esté definida en [math] [-T,T] [/math] y al ser par o impar, varios coeficientes de Fourier se hacen [math]0[/math].

Extender de forma par una función [math]f[/math] es muy sencillo, basta con definir:

[math] g_1(x)= \left \{ \begin{array}{ll} f(x), & \quad x\in [0,T], \\ f(-x), & \quad x \in [-T,0). \end{array} \right. [/math]

Veamos cómo son los coeficientes de esta función par [math]g_1[/math]:

[math]a_0 =\frac{1}{T}\int_{-T}^{T} g_1(x) dx=0, \hspace{30px} a_n =\frac{1}{T}\int_{-T}^{T} g_1(x) \cos(\frac{n\pi}{T} x) dx=0, \hspace{30px} b_n =\frac{1}{T}\int_{-T}^{T} g_1(x) \sin(\frac{n\pi}{T} x) dx [/math],

donde los coeficientes que son [math]0[/math] lo son debido a que la integral de una función par en un intervalo simétrico con respecto al [math]0[/math] es igual a [math]0[/math] y el producto de funciones pares ([math]g_1[/math] y el coseno) es par. Por lo tanto, se tiene que:

[math] g_1(x)= \sum_{k=1}^\infty b_k \sin(\frac{2 n\pi}{b-a} x)[/math] e.c.t.p,

Finalmente, basta restringir [math] g_1 [/math] a [math] [0,T] [/math] para obtener el desarrollo de [math] f [/math]. Es decir, esto también demuestra que [math]\lbrace \sin(\frac{n\pi}{T} x)\rbrace_{n \in \mathbb{N}}[/math] es una base ortogonal de [math]L^2(0,T)[/math].

De igual forma, para extender [math]f[/math] de forma impar definimos:

[math] g_2(x)= \left \{ \begin{array}{ll} f(x), & \quad x\in [0,T], \\ -f(-x), & \quad x \in [-T,0). \end{array} \right. [/math]

Veamos cómo son los coeficientes de esta función par [math]g_2[/math]:

[math]a_0 =\frac{1}{T}\int_{-T}^{T} g_2(x) dx, \hspace{30px} a_n =\frac{1}{T}\int_{-T}^{T} g_2(x) \cos(\frac{n\pi}{T} x) dx, \hspace{30px} b_n =\frac{1}{T}\int_{-T}^{T} g_2(x) \sin(\frac{n\pi}{T} x) dx=0 [/math],

donde los coeficientes que son [math]0[/math] lo son debido a que de nuevo la integral de una función par en un intervalo simétrico con respecto al [math]0[/math] es igual a [math]0[/math] y el producto de funciones impares ([math]g_2[/math] y el seno) es par. Por lo tanto, se tiene que:

[math] g_2(x)= a_0/2 + \sum_{k=1}^\infty a_k \cos(\frac{2 n\pi}{b-a} x)[/math] e.c.t.p,

Finalmente, basta restringir [math] g_2 [/math] a [math] [0,T] [/math] para obtener el desarrollo de [math] f [/math]. Es decir, esto también demuestra que [math]\lbrace 1/2,\cos(\frac{n\pi}{T} x)\rbrace_{n \in \mathbb{N}}[/math] es una base ortogonal de [math]L^2(0,T)[/math].

3 . Base trigonométrica

Términos de la base [math] \cos(n\pi x)[/math] para n=1,2,...10.
Términos de la base [math] \sin(n\pi x)[/math] para n=1,2,...10.

Para familiarizarse con las bases empleadas en los desarrollos en series de Fourier es imprescindible dibujar en una gráfica algunos términos de una base. En este caso, se van a dibujar algunos de los términos de la base trigonométrica [math] \left\{\frac{1}{2}, \cos(n\pi x), \sin(n\pi x)\right\}_{n \in \mathbb{N}} [/math] de [math] L^2(−1, 1) [/math].


El periodo de una función trigonométrica, como el seno o el coseno, determina la longitud de un ciclo completo de la función. En el caso del seno y el coseno estándar, el periodo es [math] 2\pi [/math]. Sin embargo, al cambiar el periodo, se modifica la longitud del ciclo, lo que afectará la frecuencia y la variación de la función en el dominio.

En este caso, el periodo tanto para el seno como para el coseno es [math]T= \frac{2}{n}[/math]. Se puede observar a medida que [math]n[/math] es mayor el periodo se hace mas pequeño, eso quiere decir que la frecuencia disminuye por lo tanto el tiempo que tarda en completar un ciclo es menor (si se interpreta el eje x como el tiempo), consecuentemente hay mayor número de oscilaciones ya que la curva completa un mayor numero de ciclos en menos tiempo tal y como se puede observar en las figuras mostradas.

Término de la base constante igual a [math] 1/2 [/math].









Véase que el código de matlab será:

close all
clear all
vectorx=-1:0.001:1;
for n=1:10
   g1=@(x) cos(n.*pi.*x);
   subplot(2,5,n);
   xline(0);
   hold on
   yline(0);
   plot(vectorx,g1(vectorx),'r')
   axis equal
   xlim([-1,1])
   ylim([-1,1])
   title(['$cos(', num2str(n), '\pi x)$'], 'Interpreter', 'latex');    
   hold off
end
vectory=zeros(1,length(vectorx));
for n=1:10
    g2=@(x) (sin(n*pi*x));
    for i=1:length(vectorx)
        vectory(i)=g2(vectorx(i));
    end
    figure(2)
    subplot(2,5,n);
    xline(0);
    hold on
    yline(0);
    plot(vectorx,vectory,'g')
    axis equal
    xlim([-1,1])
    ylim([-1,1])
    title(['$sen(', num2str(n), '\pi x)$'], 'Interpreter', 'latex');   
    hold off
end
figure(3)
plot(vectorx,1/2.*ones(1,length(vectorx)));
title('1/2')


4 . Aproximación de una función continua

Aproximación de [math]f[/math] mediante [math]f_n[/math] para [math]n=1,5,10[/math].

Una vez se tiene una cierta familiaridad con la base trigonométrica, lo cual se ha logrado en la anterior sección, es hora de tratar de aproximar una función mediante la serie de Fourier usando dicha base. Por simplicidad, lo normal es comenzar aproximando una función continua. En esta sección, se escogerá:

[math] f(x)=x(1−x) [/math]

la cual se tratará de aproximar en el intervalo [math][0,1][/math]. Para aproximar en este intervalo, simplemente podemos extender nuestra función de forma impar al intervalo [math][-1,1][/math] de manera que la función siga siendo continua y usar las funciones impares de la base trigonométrica en [math]L^2(−1,1)[/math], es decir, [math]\left\{\sin(n\pi x)\right\}_{n \in \mathbb{N}}[/math], usando lo visto en los preliminares. Con esto, tendremos que:

[math] f(x)= \sum_{k=1}^\infty b_k \sin(k \pi x)[/math] e.c.t.p,

donde:

[math]b_k=\int_0^1 f(x) \sin(k \pi x) dx[/math]

Si llamamos:

[math] f_n(x)= \sum_{k=1}^n b_k \sin(k \pi x)[/math]

Esto permite aproximar [math]f[/math] con [math] f_n [/math] para varios valores de [math]n[/math], observando cómo cuánto mayor sea [math]n[/math] mejor es la aproximación. Haciendo esto, se han dibujado las gráficas para [math]n=1,5,10[/math].

Error en norma en escala logarítmica para [math]n=0,1,...,10[/math] y error uniforme para [math]n=0,1,...,10[/math] de la aproximación por [math]f_n[/math].

Visualmente, es posible observar la mejora en la aproximación con el aumento del valor de [math]n[/math]. Sin embargo, para una mayor rigurosidad, se deben observar los errores para cada [math]n[/math] y cómo disminuyen con el aumento de la [math]n[/math]. En este caso se calcula el error en la norma [math]L^2(0,1)[/math] y el error uniforme para [math]n=1,2,...,10[/math]:

[math] ErrorNorma=\left(\int_0^1|f(x)-f_n(x)|^2 dx\right)^{1/2}[/math].
[math] ErrorUnif=sup_{x\in [0,1]}|f(x)-f_n(x)|[/math].

Se han calculado dichos errores para cada [math]n[/math] y se han dibujado en una gráfica, donde es posible observar cómo ambos decrecen al aumentar la [math]n[/math], lo cual quiere decir que la serie converge uniformemente y en norma de [math]L^2(0,1)[/math] a [math]f[/math].



close all
clear all
%Trapecio
f=@(x)x.*(1-x);
xx=0:0.001:1;
Y=zeros(10,length(xx));
for i = 1:10
    g=@(x) f(x).*sin(i.*pi.*x);
    a=2*trapz(xx,g(xx));
    h=@(x)a.*sin(i.*pi.*x);
    Y(i,:)=h(xx);
end
F=zeros(10,length(xx));
F(1,:)=Y(1,:);
for i= 2:10
    F(i,:)=sum(Y(1:i,:));
end

%Gráficas
Ns=[1,5,10];
for i=1:length(Ns)
    subplot(1,3,i)
    hold on
    plot(xx,F(Ns(i),:), 'b--', "LineWidth",1)
    plot(xx,f(xx))
    hold off
    ylim([0,0.35])
    legend("f_{"+num2str(Ns(i))+"}(x)", 'f(x)')
end

%Errores
ErrorNorma=zeros(1,10);
ErrorUnif=zeros(1,10);
for i=1:10
    Resta=abs(f(xx)-F(i,:));
    %Error norma
    Integral=trapz(xx,Resta.^2);
    ErrorNorma(i)=Integral^(1/2);
    %Error uniforme
    ErrorUnif(i)=max(Resta);
end
figure(2)
subplot(1,2,1)
semilogy(1:10,ErrorNorma)
ylim([0,0.009])
legend('Error Norma')
subplot(1,2,2)
semilogy(1:10,ErrorUnif)
ylim([0,0.013])
legend('Error Uniforme')


5 . Aproximación de una función discontinua

Aproximación de [math]f[/math] mediante [math]f_n[/math] para [math]n=0,1,5,10[/math].
Error en norma en escala logarítmica para [math]n=0,1,...,10[/math] y error uniforme para [math]n=0,1,...,10[/math] de la aproximación por [math]f_n[/math].
Aproximación de [math]f[/math] mediante [math]S_N[/math] para [math]N=0,1,5,10[/math].
Error en norma en escala logarítmica para [math]n=0,1,...,10[/math] y error uniforme para [math]n=0,1,...,10[/math] de la aproximación por [math]S_n[/math].

En la anterior sección se usó la base trigonométrica para aproximar una función por su serie de Fourier. Sin embargo, esta función era continua. En esta sección se observará qué ocurre cuando una función no es continua, además de estudiar los errores que se tienen en la aproximación para distintos [math]n[/math] tal y como se hizo para la función continua.

Se escoge la siguiente función discontinua:

[math] f(x)=1_{[0,1/2]}(x)[/math] (función característica en [0,1/2]).

Trataremos de aproximarla en [0,1] al igual que en el caso anterior. Para aproximar en este intervalo, simplemente podemos extender nuestra función de forma par al intervalo [-1,1] y usar las funciones pares de la base trigonométrica en [−1,1], es decir, [math]\left\{1/2,\cos(n\pi x)\right\}_{n \in \mathbb{N}}[/math], usando lo visto en los preliminares. Con esto, tendremos que:

[math] f(x)= a_0/2 + \sum_{k=1}^\infty a_k \cos(k \pi x)[/math] e.c.t.p,

donde:

[math]a_0=\int_0^1 f(x)/2 dx[/math]
[math]a_k=\int_0^1 f(x) \cos(k \pi x) dx[/math]

Si llamamos:

[math] f_n(x)= a_0/2 + \sum_{k=1}^n a_k \cos(k \pi x)[/math],

esto permite aproximar [math]f[/math] con [math] f_n [/math] para varios valores de [math]n[/math], observando cómo cuánto mayor sea [math]n[/math] mejor es la aproximación. Haciendo esto, se han dibujado las gráficas para [math]n=1,5,10[/math].

De nuevo, visualmente, es posible observar la mejora en la aproximación con el aumento del valor de [math]n[/math]. Sin embargo, parecen aparecer unas oscilaciones en los extremos que hacen que la aproximación no parezca tan exacta como en el caso anterior. Para estudiar esta aproximación de forma más rigurosa, se han vuelto a calcular el error en norma y el error uniforme, dibujándolos en una gráfica para distintos valores de [math]n[/math].

Es fácil ver que el error en norma, al igual que antes, se reduce al aumentar la [math]n[/math].Sin embargo, el error uniforme se mantiene en [math]1/2[/math] todo el rato. Esto se debe a que la serie de Fourier en [math]x=1/2[/math] tomará el valor medio entre [math]1[/math] y [math]0[/math], es decir, [math]1/2[/math]. Esto hace que para cualquier [math]n[/math] la función [math]f_n[/math] aproxime [math]f(1/2)\approx 1/2[/math], causando así siempre un error uniforme de valor [math]1/2[/math]. Esto también nos muestra que la serie de Fourier no converge uniformemente a [math]f[/math] (lo cual tiene sentido pues una sucesión de funciones continuas no puede converger uniformemente a una función discontinua). Además, la mala aproximación de la serie en [math]x=1/2[/math] hace que se provoquen esas oscilaciones que pueden observarse en la gráfica. Estas oscilaciones se conocen como el fenómeno de Gibbs. Una forma de reducir el efecto del fenómeno de Gibbs es usar las sumas de Cesàro para aproximar la función [math]f[/math]. Estas se definen como:

[math] S_N(x)= \frac{1}{N+1}\sum_{n=0}^N f_n(x)[/math].

Representando en una gráfica las sumas de Cesàro junto con la función f, podemos observar cómo se reducen las oscilaciones del fenómeno de Gibbs.

De nuevo, para una mayor rigurosidad, se deben observar los errores para cada [math]N[/math] y cómo disminuyen con el aumento de la [math]N[/math] en el caso de las sumas de Cesàro. En este caso, tal y cómo se ve en la gráfica, el error en norma aumenta un poco con respecto a la aproximación anterior y el error uniforme se mantiene igual. Sin embargo, el efecto de las oscilaciones se ha reducido por completo.

close all
clear all
%Trapecio
f=@(x)x.*(1-x);
xx=0:0.001:1;
Y=zeros(10,length(xx));
for i = 1:10
    g=@(x) f(x).*sin(i.*pi.*x);
    a=2*trapz(xx,g(xx));
    h=@(x)a.*sin(i.*pi.*x);
    Y(i,:)=h(xx);
end
F=zeros(10,length(xx));
F(1,:)=Y(1,:);
for i= 2:10
    F(i,:)=sum(Y(1:i,:));
end

%Gráficas
Ns=[1,5,10];
for i=1:length(Ns)
    subplot(1,3,i)
    hold on
    plot(xx,F(Ns(i),:), 'b--', "LineWidth",1)
    plot(xx,f(xx))
    hold off
    ylim([0,0.35])
    legend("f_{"+num2str(Ns(i))+"}(x)", 'f(x)')
end

%Errores
ErrorNorma=zeros(1,10);
ErrorUnif=zeros(1,10);
for i=1:10
    Resta=abs(f(xx)-F(i,:));
    %Error norma
    Integral=trapz(xx,Resta.^2);
    ErrorNorma(i)=Integral^(1/2);
    %Error uniforme
    ErrorUnif(i)=max(Resta);
end
figure(2)
subplot(1,2,1)
semilogy(1:10,ErrorNorma)
ylim([0,0.009])
legend('Error Norma')
subplot(1,2,2)
semilogy(1:10,ErrorUnif)
ylim([0,0.013])
legend('Error Uniforme')

%Sumas de Cesaro
S=zeros(11,length(xx));
S(1,:)=F(1,:);
for N=2:11
    S(N,:)=1/N.*sum(F(1:N,:));
end

%Gráficas sumas de Cesaro
for i=1:length(Ns)
    figure(3)
    subplot(1,4,i)
    hold on
    plot(xx,S(Ns(i),:), 'b--', "LineWidth",1)
    plot(xx,f(xx))
    hold off
    ylim([-0.2,1.5])
    legend("f_{"+num2str(Ns(i)-1)+"}(x)", 'f(x)')
end

%Errores
ErrorNorma=zeros(1,10);
ErrorUnif=zeros(1,10);
for i=1:11
    Resta=abs(f(xx)-S(i,:));
    %Error norma
    Integral=trapz(xx,Resta.^2);
    ErrorNorma(i)=Integral^(1/2);
    %Error uniforme
    ErrorUnif(i)=max(Resta);
end
figure(4)
subplot(1,2,1)
semilogy(0:10,ErrorNorma)
legend('Error Norma')
subplot(1,2,2)
plot(0:10,ErrorUnif)
ylim([0,0.7])
legend('Error Uniforme')


6 . Cambio de intervalo

Se muestran las gráficas correspondientes a la serie de Fourier que aproxima a [math] f(x)= x \cdot e^{-x} [/math] donde se tendrán las aproximaciones para n= 5, 10, 20. Se han obtenido los coeficientes aplicando la fórmula del trapecio


En las secciones anteriores se ha tratado de aproximar funciones siempre en un intervalo simétrico respecto al cero, más específicamente en [-1,1] (cuando se aproximaba una función en [0,1] simplemente se extendía de forma par o impar a [-1,1] y se hacía la aproximación en este intervalo para luego restringirla a [0,1]). Sin embargo, el desarrollo en series de Fourier permite aproximar una función en cualquier intervalo, no necesariamente uno simétrico con respecto al 0. Para ello, en esta sección se hará una aproximación de una función en el intervalo [1,3].

En este caso, aproximaremos la función [math] f(x) = xe^{-x} [/math] en [1, 3]. Como vimos en los preliminares, aproximar la función [math]f(x)[/math] en el intervalo [1,3] es equivalente a aproximar la función desplazada [math]g(x)=f(x+2)[/math] en el intervalo [-1,1] y luego deshacer el desplazamiento una vez obtenida la aproximación. De aquí se deducía que una base ortogonal de [math] L^2(1,3) [/math] es la propia base ortogonal que usábamos en [math] L^2(-1,1) [/math]. Como ya hemos visto en los anteriores apartados, la base trigonométrica de [math] L^2(-1,1) [/math] es [math]\left\{1/2,\sin(n\pi x),\cos(n\pi x)\right\}_{n \in \mathbb{N}}[/math].

Con esto, tendremos que:

[math] f(x)= a_0/2 + \sum_{k=1}^\infty [a_k \cos(k \pi x) + b_k \sin(k \pi x)][/math] e.c.t.p,

donde:

[math]a_0 =\frac{\int_{1}^{3} f(x)/2 dx}{\int_{1}^{3} 1/4 dx}=\int_{1}^{3} f(x) dx, \hspace{30px} a_k =\frac{\int_{1}^{3} f(x) \sin(k \pi x) dx}{\int_{1}^{3} \sin(k \pi x)^2 dx}=\int_{1}^{3} f(x) \sin(k \pi x) dx, \hspace{30px} b_k =\frac{\int_{1}^{3} f(x) \cos(k \pi x) dx}{\int_{1}^{3} \cos(k \pi x)^2 dx}=\int_{1}^{3} f(x) \cos(k \pi x) dx [/math]

Obteniendo el siguiente resutado para los coeficientes:

[math] a_0 = \mathrm{e}^{-3}\cdot\left(\mathrm{e}^2-2\right) [/math]
[math] a_k = -\frac{\mathrm{e}^{-3}\cdot\left(2\left({\pi}^2k^2+2\right)\sin\left(3{\pi}k\right)+{\pi}k\cdot\left(3{\pi}^2k^2+5\right)\cos\left(3{\pi}k\right)-2\mathrm{e}^2\sin\left({\pi}k\right)-\mathrm{e}^2{\pi}k\cdot\left({\pi}^2k^2+3\right)\cos\left({\pi}k\right)\right)}{\left({\pi}^2k^2+1\right)^2} [/math]
[math] b_k = \frac{\mathrm{e}^{-3}\cdot\left({\pi}k\cdot\left(3{\pi}^2k^2+5\right)\sin\left(3{\pi}k\right)-2\left({\pi}^2k^2+2\right)\cos\left(3{\pi}k\right)-\mathrm{e}^2{\pi}k\cdot\left({\pi}^2k^2+3\right)\sin\left({\pi}k\right)+2\mathrm{e}^2\cos\left({\pi}k\right)\right)}{\left({\pi}^2k^2+1\right)^2} [/math]

De forma análoga a lo que se hizo en las anteriores secciones, si definimos:

[math] f_n(x)= a_0/2 + \sum_{k=1}^n [a_k \cos(k \pi x) + b_k \sin(k \pi x)][/math], con [math]f_0(x)=a_0/2[/math]

esto permite aproximar [math]f[/math] con [math] f_n [/math] para varios valores de [math]n[/math], observando cómo cuánto mayor sea [math]n[/math] mejor es la aproximación. Haciendo esto, se han dibujado las gráficas para [math]n=5,10,20[/math].

Se muestran las gráficas correspondientes a la serie de Fourier que aproxima a [math] f(x)= x \cdot e^{-x} [/math] donde se tendrán dichos términos para n= 5, 10, 20. Se usan los coeficientes calculados anteriormente.

Se puede observar que aproxima bastante bien en la gráfica. Sin embargo, vuelven a aparecer las oscilaciones del fenómeno de Gibbs aunque la función en este caso sea continua. Esto se debe a que la serie trata de aproximar la función con funciones periódicas aunque la función no sea periódica. Lo que trata de aproximar la serie es la función en [math][1,3][/math] pero extendida periódicamente en cada intervalo de longitud 2, de forma que en [math][3,5][/math] toma los mismos valores que en [math][1,3][/math]. Esta función, es discontinua, ya que cada vez que comienza el siguiente periodo hay una discontinuidad, esto hace que las [math]f_n[/math] aproximen constantemente [math]f(3)\approx \frac{f(1)+f(3)}{2}[/math] para cualquier [math]n[/math] y causa el efecto de Gibbs visto en la anterior sección.

clear all
close all
f=@(x)x.*exp(-x);
xx=-1:0.001:1;

A=zeros(21,length(xx));
B=zeros(20,length(xx));
a_0=trapz(xx,f(xx+2)/2);
A(1,:)=a_0.*ones(1,length(xx));
for k=1:20
    g1=@(x)f(x+2).*sin(k.*pi.*x);
    g2=@(x)f(x+2).*cos(k.*pi.*x);

    a_k= trapz(xx,g1(xx));
    b_k= trapz(xx,g2(xx));

    h1=@(x)a_k.*sin(k.*pi.*x);
    h2=@(x)b_k.*cos(k.*pi.*x);
    
    A(k+1,:)=h1(xx);
    B(k,:)=h2(xx);
end

F=zeros(21,length(xx));
F(1,:)=A(1,:);
F(2,:)=sum(A(1:2,:))+B(1,:);
for i= 3:21
    F(i,:)=sum(A(1:i,:)) + sum(B(1:i-1,:));
end

%Gráficas
subplot(1,3,1)
hold on
plot(xx+2,F(6,:), 'b--', "LineWidth",1)
plot(xx+2,f(xx+2))
hold off
legend('f_{5}(x)', 'f(x)')

subplot(1,3,2)
hold on
plot(xx+2,F(11,:), 'b--', "LineWidth",1)
plot(xx+2,f(xx+2))
hold off
legend('f_{10}(x)', 'f(x)')

subplot(1,3,3)
hold on
plot(xx+2,F(21,:), 'b--', "LineWidth",1)
plot(xx+2,f(xx+2))
hold off
legend('f_{20}(x)', 'f(x)')

Este primer código calcula los coeficientes de la serie de Fourier aproximando las integrales por el método del trapecio, ya que calcular los coeficientes analíticamente no suele ser sencillo y no es aplicable a todos los casos. Ahora aportamos un segundo código utilizando los coeficientes anteriormente calculados, en el cual se comprueba que efectivamente son correctos.

clear all
close all
f=@(x)x.*exp(-x);
xx=1:0.001:3;

A=zeros(21,length(xx));
B=zeros(20,length(xx));
A(1,:)=(exp(-3) * (exp(2) - 2)).*ones(1,length(xx));
for k=1:20
    a_k = -(exp(-3) * (2 * (pi^2 * k.^2 + 2) .* sin(3 * pi * k) + pi * k .* (3 * pi^2 * k.^2 + 5) .* cos(3 * pi * k) - 2 * exp(2) * sin(pi * k) - exp(2) * pi * k .* (pi^2 * k.^2 + 3) .* cos(pi * k))) ./ (pi^2 * k.^2 + 1).^2;
    b_k = (exp(-3) * (pi * k .* (3 * pi^2 * k.^2 + 5) .* sin(3 * pi * k) - 2 * (pi^2 * k.^2 + 2) .* cos(3 * pi * k) - exp(2) * pi * k .* (pi^2 * k.^2 + 3) .* sin(pi * k) + 2 * exp(2) * cos(pi * k))) ./ (pi^2 * k.^2 + 1).^2;
    
    h1=@(x)a_k.*sin(k.*pi.*x);
    h2=@(x)b_k.*cos(k.*pi.*x);
    
    A(k+1,:)=h1(xx);
    B(k,:)=h2(xx);
end

F=zeros(21,length(xx));
F(1,:)=A(1,:);
F(2,:)=sum(A(1:2,:))+B(1,:);
for i= 3:21
    F(i,:)=sum(A(1:i,:)) + sum(B(1:i-1,:));
end

%Gráficas
subplot(1,3,1)
hold on
plot(xx,F(6,:), 'b--', "LineWidth",1)
plot(xx,f(xx))
hold off
legend('f_{5}(x)', 'f(x)')

subplot(1,3,2)
hold on
plot(xx,F(11,:), 'b--', "LineWidth",1)
plot(xx,f(xx))
hold off
legend('f_{10}(x)', 'f(x)')

subplot(1,3,3)
hold on
plot(xx,F(21,:), 'b--', "LineWidth",1)
plot(xx,f(xx))
hold off
legend('f_{20}(x)', 'f(x)')


7 . Base trigonométrica compleja

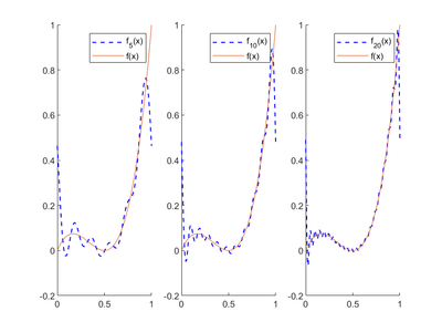
Finalmente, se verá brevemente cómo también es posible aproximar funciones usando la base trigonométrica compleja. En [math][-\pi,\pi][/math] la base trigonométrica compleja es [math]\left\{e^{inx}\right\}_{n \in \mathbb{Z}}[/math].

En este caso, se aproximará la función [math] f(x) = 4x(1/2-x)^2 [/math] en [0,1]. Para ello, adaptamos la base trigonométrica compleja a este intervalo, de forma que tenemos la base [math]\left\{e^{2\pi inx}\right\}_{n \in \mathbb{Z}}[/math] de [math]L^2(0,1)[/math]. Con esto, tendremos que:

[math] f(x)= \sum_{k=-\infty}^\infty a_k e^{2\pi inx}[/math] e.c.t.p,

donde:

[math]a_k=\int_0^1 f(x) \overline{e^{2\pi inx}} dx[/math]

Si llamamos:


[math] f_n(x)= \sum_{k=-n}^n a_k e^{2\pi inx}[/math],

esto permite aproximar [math]f[/math] con [math] f_n [/math] para varios valores de [math]n[/math], observando cómo cuánto mayor sea [math]n[/math] mejor es la aproximación. De nuevo, se han dibujado gráficas para [math]n=5,10,20[/math].


Al igual que antes, se puede ver claramente cómo al aumentar la [math]n[/math] la aproximación es mejor, aunque aparecen de nuevo algunas oscilaciones que representan el fenómeno de Gibbs al no ser [math]f[/math] una función periódica.

Término de la base constante.
clear all
close all
f=@(x)4.*x.*(1/2-x).^2;
xx=0:0.001:1;

A=zeros(21,length(xx));
B=zeros(20,length(xx));
a_0=trapz(xx,f(xx));
A(1,:)=a_0.*ones(1,length(xx));
for k=1:20
    g1=@(x)f(x).*conj(exp(k.*2i.*pi.*x));
    g2=@(x)f(x).*conj(exp(-k.*2i.*pi.*x));

    a_k= trapz(xx,g1(xx));
    b_k= trapz(xx,g2(xx));

    h1=@(x)a_k.*exp(k.*2i.*pi.*x);
    h2=@(x)b_k.*exp(-k.*2i.*pi.*x);
    
    A(k+1,:)=h1(xx);
    B(k,:)=h2(xx);
end

F=zeros(21,length(xx));
F(1,:)=A(1,:);
F(2,:)=sum(A(1:2,:))+B(1,:);
for i= 3:21
    F(i,:)=sum(A(1:i,:)) + sum(B(1:i-1,:));
end

%Gráficas
subplot(1,3,1)
hold on
plot(xx,F(6,:), 'b--', "LineWidth",1)
plot(xx,f(xx))
hold off
legend('f_{5}(x)', 'f(x)')

subplot(1,3,2)
hold on
plot(xx,F(11,:), 'b--', "LineWidth",1)
plot(xx,f(xx))
hold off
legend('f_{10}(x)', 'f(x)')

subplot(1,3,3)
hold on
plot(xx,F(21,:), 'b--', "LineWidth",1)
plot(xx,f(xx))
hold off
legend('f_{20}(x)', 'f(x)')


8 Referencias