Diferencia entre revisiones de «Cicloide (grupo del Retiro)»
(→La Longitud de la Cicloide) |
|||
| (No se muestran 64 ediciones intermedias de 3 usuarios) | |||
| Línea 1: | Línea 1: | ||
| + | |||
{{ TrabajoED | La Cicloide. Grupo Retiro | [[:Categoría:Teoría de Campos|Teoría de Campos]]|[[:Categoría:TC23/24|2023-24]] | Adrian Benito Jimenez, Isaac Bronstein Rubinstein y Santiago Rafael Rodriguez Uzcategui }} | {{ TrabajoED | La Cicloide. Grupo Retiro | [[:Categoría:Teoría de Campos|Teoría de Campos]]|[[:Categoría:TC23/24|2023-24]] | Adrian Benito Jimenez, Isaac Bronstein Rubinstein y Santiago Rafael Rodriguez Uzcategui }} | ||
| − | == | + | == Introducción == |
La cicloide se puede describir como el recorrido/trayectoria que sigue un punto de una circunferencia cuando esta rueda a lo largo de una línea recta sin deslizamiento. | La cicloide se puede describir como el recorrido/trayectoria que sigue un punto de una circunferencia cuando esta rueda a lo largo de una línea recta sin deslizamiento. | ||
| − | Esto | + | Esto explica que hay infinidad de cicloides, es decir, dependiendo del tamaño del radio de la circunferencia dependerá el tamaño del cicloide. |
| − | ¿Y qué pasaría si la circunferencia no da la vuelta completa? Pues esto solo trazaría parte | + | ¿Y qué pasaría si la circunferencia no da la vuelta completa? Pues esto solo trazaría parte de la cicloide, es decir si la circunferencia recorre media vuelta, π radianes, solo se trazará media cicloide. |
| − | + | Después de estas 2 observaciones podemos afirmar que una cicloide depende del radio de la circunferencia y el ángulo (las vueltas que esté de). | |
| − | + | Es decir que esto nos da las ecuaciones paramétricas de una cicloide, que a posteriori podemos modificar para tener. | |
x=rθ-rsinθ | x=rθ-rsinθ | ||
y=r-rcosθ | y=r-rcosθ | ||
| − | + | Despejando Theta obtenemos: | |
| − | [[Archivo:Ecdespejadacicloide.jpg|miniaturadeimagen|Figura 1: Ecuación de la cicloide, cuyo ángulo ha sido despejado]] | + | [[Archivo:Ecdespejadacicloide.jpg|miniaturadeimagen|centro|Figura 1: Ecuación de la cicloide, cuyo ángulo ha sido despejado.]] |
| + | |||
== Representación de la Curva== | == Representación de la Curva== | ||
| + | [[Archivo:cicloide.png|miniaturadeimagen|centro|Figura 2: La Cicloide ]] | ||
| + | |||
| + | La curva generada con el código de MATLAB: | ||
| + | |||
| + | 1 t=linspace(0,2*pi,100); | ||
| + | 2 x=t-sin(t); | ||
| + | 3 y=1-cos(t); | ||
| + | 4 | ||
| + | 5 % Cicloide | ||
| + | 6 plot(x,y,'r') | ||
| + | 7 xticks([0 pi()/2 pi() 3*pi()/2 2*pi()]) | ||
| + | 8 xticklabels({'0' '\pi/2' '\pi' '3\pi/2' '2\pi'}) | ||
| + | 9 xlim([0 2*pi]) | ||
| + | 10 ylim([0 2*pi]) | ||
| + | 11 title('Cicloide') | ||
| + | |||
| + | == Los vectores de velocidad y aceleración de la Cicloide == | ||
| + | |||
| + | [[Archivo:campos2graf.png|miniaturadeimagen|centro|Figura 3: Cicloide, velocidades y aceleraciones ]] | ||
| + | |||
| + | Los vectores representados con la curva en código de MATLAB: | ||
| + | 1 T=linspace(0,2*pi,50); | ||
| + | 2 P=0:pi/6:2*pi; | ||
| + | 3 x=T-sin(T); | ||
| + | 4 y=1-cos(T); | ||
| + | 5 j=P-sin(P); | ||
| + | 6 a=1-cos(P); | ||
| + | 7 b=sin(P); | ||
| + | 8 c=cos(P); | ||
| + | 9 | ||
| + | 10 %Representación gráficas | ||
| + | 11 hold on | ||
| + | 12 plot(x,y,'k') | ||
| + | 13 xticks([0 pi()/2 pi() 3*pi()/2 2*pi()]) | ||
| + | 14 xticklabels({'0' '\pi/2' '\pi' '3\pi/2' '2\pi'}) | ||
| + | 15 quiver(j,a,a,b) | ||
| + | 16 quiver(j,a,b,c,'b') | ||
| + | 17 xlim([-0.33 6.5]) | ||
| + | 18 ylim([-0.33 4]) | ||
| + | 19 title('Cicloide, velocidades y aceleraciones') | ||
| + | 20 hold off | ||
| + | |||
| + | == La Longitud de la Cicloide == | ||
| + | Teniendo en cuenta los límites del parametro t, la parametrización de la curva y las derivadas de x e y respecto de t: | ||
| + | |||
| + | 0≤t≤2*π | ||
| + | x=t-sin(t) | ||
| + | y=1-cos(t) | ||
| + | dx/dt=1-cos(t) | ||
| + | dy/dt=sin(t) | ||
| + | |||
| + | Y también que la longitud de una curva culquiera=ʃ<sub>t=a</sub><sup>t=b</sup>((dx/dt)²+(dy/dt)²)^1/2 dt, calcularemos la longitud de la curva: | ||
| + | |||
| + | '''Longitud de la cicloide='''ʃ<sub>t=0</sub><sup>t=2*π</sup>((1-cos(t))²+(sin(t))²)^1/2 dt = ʃ<sub>t=0</sub><sup>t=2*π</sup>(1+cos²(t)-2cos(t)+sin²(t))^1/2 dt = *'''como sabemos que cos²(t)+sin²(t)=1, sustituimos, por tanto'''*= | ||
| + | = ʃ<sub>t=0</sub><sup>t=2*π</sup>(2-2cos(t))^1/2 dt = *'''sacamos factor común de √2, entonces'''* = √2ʃ<sub>t=0</sub><sup>t=2*π</sup>(1-cos(t))^1/2 dt = *'''multiplicamos y dividimos por (1+cos(t))^1/2, el conjugado'''* = | ||
| + | = √2ʃ<sub>t=0</sub><sup>t=2*π</sup>((1-cos(t))^1/2)*((1+cos(t))^1/2)/((1+cos(t))^1/2) dt = √2ʃ<sub>t=0</sub><sup>t=2*π</sup>((1-cos²(t))^1/2)/((1+cos(t))^1/2) dt = *'''sin²=1-cos²(t)'''* = √2ʃ<sub>t=0</sub><sup>t=2*π</sup>((sin²(t))^1/2)/((1+cos(t))^1/2) dt = | ||
| + | = √2ʃ<sub>t=0</sub><sup>t=2*π</sup>|sin(t)|/((1+cos(t))^1/2) dt = *'''separamos la integral debido al valor absoluto'''* = √2*(ʃ<sub>t=0</sub><sup>t=π</sup>sin(t)/((1+cos(t))^1/2) dt + ʃ<sub>t=π</sub><sup>t=2*π</sup>sin(t)/((1+cos(t))^1/2) dt) = *'''resolvemos'''* = | ||
| + | = √2*[(-2*(1+cos(t))^1/2)<sub>t=0</sub><sup>t=π</sup> + (2*(1+cos(t))^1/2)<sub>t=π</sub><sup>t=2*π</sup>] = √2*[-2*((1+cos(π))^1/2-(1+cos(0))^1/2) + 2*((1+cos(2*π))^1/2-(1+cos(π))^1/2)] = | ||
| + | = √2*[-2*(0-√2) + 2*(√2-0)]------>'''Longitud de la cicloide = 8 unidades.''' | ||
| + | |||
| + | == Los vectores de tangentes y normales de la Cicloide == | ||
| + | [[Archivo:campos4fig.png|miniaturadeimagen|centro|Figura 4: Cicloide, vectores tangentes y normales ]] | ||
| + | |||
| + | Los vectores representados con la curva en código de MATLAB: | ||
| + | 1 T=linspace(0,2*pi,50); | ||
| + | 2 P=0:pi/6:2*pi; | ||
| + | 3 x=T-sin(T); | ||
| + | 4 y=1-cos(T); | ||
| + | 5 j=P-sin(P); | ||
| + | 6 a=1-cos(P); | ||
| + | 7 b=sin(P); | ||
| + | 8 | ||
| + | 9 %Representación gráficas | ||
| + | 10 hold on | ||
| + | 11 plot(x,y,'k') | ||
| + | 12 quiver(j,a,a,b) | ||
| + | 13 quiver(j,a,-b,a,'b') | ||
| + | 14 xticks([0 pi()/2 pi() 3*pi()/2 2*pi()]) | ||
| + | 15 xticklabels({'0' '\pi/2' '\pi' '3\pi/2' '2\pi'}) | ||
| + | 16 xlim([-0.5 6.8]) | ||
| + | 17 ylim([-0.5 4.5]) | ||
| + | 18 title('Cicloide, vectores tangentes y normales') | ||
| + | 19 hold off | ||
| + | |||
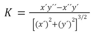
| + | == La Curvatura de la Cicloide == | ||
| + | La magnitud de desvío de la trayectoria recta de una cicloide en un punto dado, es conocida como curvatura. Para medir la curvatura en sí de cualquier curva, se emplea la misma ecuación, la cual es: | ||
| + | [[Archivo:Ec1Ap5.png|miniaturadeimagen|centro|Figura 5: Ecuación de curvatura ]] | ||
| + | Considerando las derivadas de la ecuación de la cicloide, se puede sustituir en la ecuación de la curvatura para que quede simplificada para nuestro trabajo, esto se muestra a continuación: | ||
| + | [[Archivo:Ec2Ap5.png|miniaturadeimagen|centro|Figura 6: Ecuación de curvatura de la cicloide ]] | ||
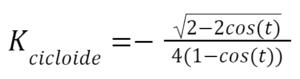
| + | Para calcular la curvatura en función del ángulo theta se empleó el debido código en MATLAB, asimismo se realizó su respectiva gráfica. | ||
| + | t=linspace(0,2*pi(),1000); | ||
| + | K=-((sqrt(2-2.*cos(t)))./(4.*(1-cos(t)))); | ||
| + | plot(t,K); | ||
| + | xlim([0 2*pi()]) | ||
| + | ylim([-5.1 0.1]) | ||
| + | xticks([0 pi() 2*pi()]) | ||
| + | xticklabels({'0' '\pi' '2\pi'}) | ||
| + | yticks([-0.25 0]) | ||
| + | axis("equal") | ||
| + | grid on | ||
| + | [[Archivo:Ap5Graf.png|miniaturadeimagen|centro|Figura 7: Gráfica de la curvatura en función del ángulo de la cicloide ]] | ||
| + | |||
| + | == La Circunferencia Osculatriz de una Cicloide == | ||
| + | |||
| + | Para hallar la Circunferencia Osculatriz, tenemos que primero hallar el radio y luego el punto en el que se encuentra el centro de dicha circunferencia. | ||
| + | |||
| + | El radio es el inverso de la curvatura en valor absoluto, es decir: | ||
| + | |||
| + | [[Archivo:fig1212.png|miniaturadeimagen|centro|Figura 8: El radio de la Circunferencia Osculatriz ]] | ||
| + | |||
| + | y las coordenadas del centro se encuentran tangente al vector normal a la misma distancia del radio en el punto de la curva donde φ=0.3, es decir: | ||
| + | |||
| + | [[Archivo:fig12212.png|miniaturadeimagen|centro|Figura 9: Las coordenadas del Centro de la Circunferencia Osculatriz ]] | ||
| + | |||
| + | [[Archivo:fig1112.png|miniaturadeimagen|centro|Figura 10: La Circunferencia Osculatriz ]] | ||
| + | |||
| + | La circunferencia osculatriz cuando φ=0.3 en código de MATLAB: | ||
| + | t=linspace(0,2*pi,1000); | ||
| + | xcic=t-sin(t); | ||
| + | ycic=1-cos(t); | ||
| + | T=0.3; | ||
| + | K=-((sqrt(2-2.*cos(T)))./(4.*(1-cos(T)))); | ||
| + | R=1/abs(K); | ||
| + | x=T-sin(T); | ||
| + | y=1-cos(T); | ||
| + | v=[x;y]; | ||
| + | n=[sin(T);-1+cos(T)]; | ||
| + | mod=sqrt((sin(T)).^2+(-1+cos(T)).^2); | ||
| + | N=n/mod; | ||
| + | C=v+R.*N; | ||
| + | xunit = R * cos(t)+C(1); | ||
| + | yunit = R * sin(t)+C(2); | ||
| + | hold on | ||
| + | plot(xcic,ycic,'r') | ||
| + | plot(xunit, yunit,'b'); | ||
| + | xticks([0 pi()/2 pi() 3*pi()/2 2*pi()]) | ||
| + | xticklabels({'0' '\pi/2' '\pi' '3\pi/2' '2\pi'}) | ||
| + | xlim([0 2*pi]); | ||
| + | ylim([-2 4]); | ||
| + | hold off | ||
| + | |||
| + | == La Cicloide en R<sup>3</sup> == | ||
| + | |||
| + | Para llegar a representar la superficie en la cicloide, primeramente se debe conocer la respectiva ecuación con su parametrización en cartesianas con 2 parámetros: | ||
| + | [[Archivo:EcR3.png|miniaturadeimagen|centro|Figura 11: Ecuación de la cicloide en R<sup>3 ]] | ||
| + | |||
| + | x1=V; | ||
| + | x2=T-sin(T); | ||
| + | x3=1+cos(T); | ||
| + | Los valores de V pertenecen entre 0 y 1, mientras que los de T entre 0 y 2π. | ||
| + | |||
| + | La representación de la curva según estos parámetro es la siguiente: | ||
| + | [[Archivo:fig12121.png|miniaturadeimagen|centro|Figura 12: La Cicloide en R<sup>3 ]] | ||
| + | |||
| + | El código de matlab para la Cicloide en R<sup>3: | ||
| + | t=linspace(0,2*pi,100); | ||
| + | v=linspace(0,1,100); | ||
| + | [T,V]=meshgrid(t,v); | ||
| + | x1=V; | ||
| + | x2=T-sin(T); | ||
| + | x3=1+cos(T); | ||
| + | surf(x1,x2,x3) | ||
| + | yticks([0 pi()/2 pi() 3*pi()/2 2*pi()]) | ||
| + | yticklabels({'0' '\pi/2' '\pi' '3\pi/2' '2\pi'}) | ||
| + | xlim([0 1]) | ||
| + | ylim([0 2*pi]) | ||
| + | zlim([0 4]) | ||
| + | title('Superficie reglada: Cicloide') | ||
| + | |||
| + | == La Masa de una Cicloide como superficie== | ||
| + | Suponiendo que la la densidad de la superficie de la superficie anterior viene dada por: | ||
| + | [[Archivo:EcDens.png|miniaturadeimagen|centro|Figura 13: Ecuación de la densidad de la cicloide]] | ||
| + | La densidad en la cicloide varía dependiendo del propio ángulo theta de la superficie, ya que el valor de x<sub>2</sub> sale de la ecuación de la superficie mostrada anteriormente, además dicho ángulo comparte concepto con los apartados anteriores, solo que ahora se extiende sobre una superficie en lugar de un alambre. A continuación se adjunta como se distribuye para el valor absoluto, ya que la densidad no puede ser negativa: | ||
| + | [[Archivo:GrafDens.png|miniaturadeimagen|centro|Figura 14: Gráfica de la densidad de la cicloide en función de theta]] | ||
| + | Para llegar a esta gráfica se utilizó el siguiente código en MATLAB: | ||
| + | t=linspace(0,2*pi,1000); | ||
| + | X2=t-sin(t); | ||
| + | Dens=abs(cos(X2)); | ||
| + | plot(t,Dens) | ||
| + | xticks([0 pi()/2 pi() 3*pi()/2 2*pi()]) | ||
| + | xticklabels({'0' '\pi/2' '\pi' '3\pi/2' '2\pi'}) | ||
| + | xlabel('Ángulo Theta') | ||
| + | ylabel('Densidad') | ||
| + | title('Distribución de densidad en función del ángulo') | ||
| + | xlim([0,2*pi]) | ||
| + | |||
| + | Mediante la misma parametrización en cartesianas de la superficie y la ecuación de densidad anterior, se procede a calcular la masa de la superficie expuesta. La ecuación para calcular la masa es la siguiente: | ||
| + | [[Archivo:EcMasa.png|miniaturadeimagen|centro|Figura 15: Ecuación de la masa de una superficie]] | ||
| + | La resolución de dicha ecuación: | ||
| + | [[Archivo:CalcMasa.png|miniaturadeimagen|centro|Figura 16: Cálculo de la masa]] | ||
| + | |||
| + | == Cicloides en el mundo real == | ||
| + | En el campo ingenieril, los cicloides se usan para describir movimientos y en el diseño de sistemas mecánicos. | ||
| + | |||
| + | Como ejemplo de una obra civil la cual usa cicloides está la Torre Eiffel, que para los lados de la pirámide en vez de ser rectos, son curvados en forma de medio cicloide girado y deformado definiéndose la x como x=n(1+cos(t)) y la y como y=m(t-sen(t)), siendo m>n, y t variando desde 0 hasta un valor un poco inferior a pi, debido a que no acaba exactamente en el punto de corte de los 4 cicloides, todo esto teniendo en cuenta que esta es la función del lado derecho que se vería en un alzado de la Torre Eiffel: | ||
| + | [[Archivo: TEiffel.png|miniaturadeimagen|centro|Figura 17: Torre Eiffel ]],[[Archivo: EiffelGeogebra.png|miniaturadeimagen|centro|Figura 18: Aproximación de la Torre Eiffel con m=6 y n=1 y t entre 0 y π-0,5 ]] | ||
| + | |||
| + | == Referencias externas == | ||
| + | https://byjusexamprep.com/gate-me/cycloidal-gear#:~:text=The%20results%20curve%20is%20a,motion%20and%20design%20mechanical%20systems | ||
| + | |||
| + | https://es.khanacademy.org/math/multivariable-calculus/multivariable-derivatives/curvature/v/curvature-of-a-cycloid | ||
| + | |||
| + | https://rysullivan.medium.com/celebrating-the-cycloid-be4350ff187b | ||
| + | |||
| + | https://www.wikiwand.com/es/Circunferencia_osculatriz | ||
| + | |||
| + | https://www.youtube.com/watch?v=d1NSiH-ilcw | ||
| + | |||
| + | https://www.youtube.com/watch?v=KSljGW_zxfE&ab_channel=LearnPlaySolve | ||
[[Categoría:Teoría de Campos]] | [[Categoría:Teoría de Campos]] | ||
[[Categoría:TC23/24]] | [[Categoría:TC23/24]] | ||
Revisión actual del 17:53 19 dic 2023
| Trabajo realizado por estudiantes | |
|---|---|
| Título | La Cicloide. Grupo Retiro |
| Asignatura | Teoría de Campos |
| Curso | 2023-24 |
| Autores | Adrian Benito Jimenez, Isaac Bronstein Rubinstein y Santiago Rafael Rodriguez Uzcategui |
| Este artículo ha sido escrito por estudiantes como parte de su evaluación en la asignatura | |
Contenido
- 1 Introducción
- 2 Representación de la Curva
- 3 Los vectores de velocidad y aceleración de la Cicloide
- 4 La Longitud de la Cicloide
- 5 Los vectores de tangentes y normales de la Cicloide
- 6 La Curvatura de la Cicloide
- 7 La Circunferencia Osculatriz de una Cicloide
- 8 La Cicloide en R3
- 9 La Masa de una Cicloide como superficie
- 10 Cicloides en el mundo real
- 11 Referencias externas
1 Introducción
La cicloide se puede describir como el recorrido/trayectoria que sigue un punto de una circunferencia cuando esta rueda a lo largo de una línea recta sin deslizamiento. Esto explica que hay infinidad de cicloides, es decir, dependiendo del tamaño del radio de la circunferencia dependerá el tamaño del cicloide. ¿Y qué pasaría si la circunferencia no da la vuelta completa? Pues esto solo trazaría parte de la cicloide, es decir si la circunferencia recorre media vuelta, π radianes, solo se trazará media cicloide. Después de estas 2 observaciones podemos afirmar que una cicloide depende del radio de la circunferencia y el ángulo (las vueltas que esté de). Es decir que esto nos da las ecuaciones paramétricas de una cicloide, que a posteriori podemos modificar para tener.
x=rθ-rsinθ
y=r-rcosθ
Despejando Theta obtenemos:
2 Representación de la Curva
La curva generada con el código de MATLAB:
1 t=linspace(0,2*pi,100);
2 x=t-sin(t);
3 y=1-cos(t);
4
5 % Cicloide
6 plot(x,y,'r')
7 xticks([0 pi()/2 pi() 3*pi()/2 2*pi()])
8 xticklabels({'0' '\pi/2' '\pi' '3\pi/2' '2\pi'})
9 xlim([0 2*pi])
10 ylim([0 2*pi])
11 title('Cicloide')
3 Los vectores de velocidad y aceleración de la Cicloide
Los vectores representados con la curva en código de MATLAB:
1 T=linspace(0,2*pi,50);
2 P=0:pi/6:2*pi;
3 x=T-sin(T);
4 y=1-cos(T);
5 j=P-sin(P);
6 a=1-cos(P);
7 b=sin(P);
8 c=cos(P);
9
10 %Representación gráficas
11 hold on
12 plot(x,y,'k')
13 xticks([0 pi()/2 pi() 3*pi()/2 2*pi()])
14 xticklabels({'0' '\pi/2' '\pi' '3\pi/2' '2\pi'})
15 quiver(j,a,a,b)
16 quiver(j,a,b,c,'b')
17 xlim([-0.33 6.5])
18 ylim([-0.33 4])
19 title('Cicloide, velocidades y aceleraciones')
20 hold off
4 La Longitud de la Cicloide
Teniendo en cuenta los límites del parametro t, la parametrización de la curva y las derivadas de x e y respecto de t:
0≤t≤2*π x=t-sin(t) y=1-cos(t) dx/dt=1-cos(t) dy/dt=sin(t)
Y también que la longitud de una curva culquiera=ʃt=at=b((dx/dt)²+(dy/dt)²)^1/2 dt, calcularemos la longitud de la curva:
Longitud de la cicloide=ʃt=0t=2*π((1-cos(t))²+(sin(t))²)^1/2 dt = ʃt=0t=2*π(1+cos²(t)-2cos(t)+sin²(t))^1/2 dt = *como sabemos que cos²(t)+sin²(t)=1, sustituimos, por tanto*= = ʃt=0t=2*π(2-2cos(t))^1/2 dt = *sacamos factor común de √2, entonces* = √2ʃt=0t=2*π(1-cos(t))^1/2 dt = *multiplicamos y dividimos por (1+cos(t))^1/2, el conjugado* = = √2ʃt=0t=2*π((1-cos(t))^1/2)*((1+cos(t))^1/2)/((1+cos(t))^1/2) dt = √2ʃt=0t=2*π((1-cos²(t))^1/2)/((1+cos(t))^1/2) dt = *sin²=1-cos²(t)* = √2ʃt=0t=2*π((sin²(t))^1/2)/((1+cos(t))^1/2) dt = = √2ʃt=0t=2*π|sin(t)|/((1+cos(t))^1/2) dt = *separamos la integral debido al valor absoluto* = √2*(ʃt=0t=πsin(t)/((1+cos(t))^1/2) dt + ʃt=πt=2*πsin(t)/((1+cos(t))^1/2) dt) = *resolvemos* = = √2*[(-2*(1+cos(t))^1/2)t=0t=π + (2*(1+cos(t))^1/2)t=πt=2*π] = √2*[-2*((1+cos(π))^1/2-(1+cos(0))^1/2) + 2*((1+cos(2*π))^1/2-(1+cos(π))^1/2)] = = √2*[-2*(0-√2) + 2*(√2-0)]------>Longitud de la cicloide = 8 unidades.
5 Los vectores de tangentes y normales de la Cicloide
Los vectores representados con la curva en código de MATLAB:
1 T=linspace(0,2*pi,50);
2 P=0:pi/6:2*pi;
3 x=T-sin(T);
4 y=1-cos(T);
5 j=P-sin(P);
6 a=1-cos(P);
7 b=sin(P);
8
9 %Representación gráficas
10 hold on
11 plot(x,y,'k')
12 quiver(j,a,a,b)
13 quiver(j,a,-b,a,'b')
14 xticks([0 pi()/2 pi() 3*pi()/2 2*pi()])
15 xticklabels({'0' '\pi/2' '\pi' '3\pi/2' '2\pi'})
16 xlim([-0.5 6.8])
17 ylim([-0.5 4.5])
18 title('Cicloide, vectores tangentes y normales')
19 hold off
6 La Curvatura de la Cicloide
La magnitud de desvío de la trayectoria recta de una cicloide en un punto dado, es conocida como curvatura. Para medir la curvatura en sí de cualquier curva, se emplea la misma ecuación, la cual es:
Considerando las derivadas de la ecuación de la cicloide, se puede sustituir en la ecuación de la curvatura para que quede simplificada para nuestro trabajo, esto se muestra a continuación:
Para calcular la curvatura en función del ángulo theta se empleó el debido código en MATLAB, asimismo se realizó su respectiva gráfica.
t=linspace(0,2*pi(),1000);
K=-((sqrt(2-2.*cos(t)))./(4.*(1-cos(t))));
plot(t,K);
xlim([0 2*pi()])
ylim([-5.1 0.1])
xticks([0 pi() 2*pi()])
xticklabels({'0' '\pi' '2\pi'})
yticks([-0.25 0])
axis("equal")
grid on
7 La Circunferencia Osculatriz de una Cicloide
Para hallar la Circunferencia Osculatriz, tenemos que primero hallar el radio y luego el punto en el que se encuentra el centro de dicha circunferencia.
El radio es el inverso de la curvatura en valor absoluto, es decir:
y las coordenadas del centro se encuentran tangente al vector normal a la misma distancia del radio en el punto de la curva donde φ=0.3, es decir:
La circunferencia osculatriz cuando φ=0.3 en código de MATLAB:
t=linspace(0,2*pi,1000);
xcic=t-sin(t);
ycic=1-cos(t);
T=0.3;
K=-((sqrt(2-2.*cos(T)))./(4.*(1-cos(T))));
R=1/abs(K);
x=T-sin(T);
y=1-cos(T);
v=[x;y];
n=[sin(T);-1+cos(T)];
mod=sqrt((sin(T)).^2+(-1+cos(T)).^2);
N=n/mod;
C=v+R.*N;
xunit = R * cos(t)+C(1);
yunit = R * sin(t)+C(2);
hold on
plot(xcic,ycic,'r')
plot(xunit, yunit,'b');
xticks([0 pi()/2 pi() 3*pi()/2 2*pi()])
xticklabels({'0' '\pi/2' '\pi' '3\pi/2' '2\pi'})
xlim([0 2*pi]);
ylim([-2 4]);
hold off
8 La Cicloide en R3
Para llegar a representar la superficie en la cicloide, primeramente se debe conocer la respectiva ecuación con su parametrización en cartesianas con 2 parámetros:
x1=V; x2=T-sin(T); x3=1+cos(T);
Los valores de V pertenecen entre 0 y 1, mientras que los de T entre 0 y 2π.
La representación de la curva según estos parámetro es la siguiente:
El código de matlab para la Cicloide en R3:
t=linspace(0,2*pi,100);
v=linspace(0,1,100);
[T,V]=meshgrid(t,v);
x1=V;
x2=T-sin(T);
x3=1+cos(T);
surf(x1,x2,x3)
yticks([0 pi()/2 pi() 3*pi()/2 2*pi()])
yticklabels({'0' '\pi/2' '\pi' '3\pi/2' '2\pi'})
xlim([0 1])
ylim([0 2*pi])
zlim([0 4])
title('Superficie reglada: Cicloide')
9 La Masa de una Cicloide como superficie
Suponiendo que la la densidad de la superficie de la superficie anterior viene dada por:
La densidad en la cicloide varía dependiendo del propio ángulo theta de la superficie, ya que el valor de x2 sale de la ecuación de la superficie mostrada anteriormente, además dicho ángulo comparte concepto con los apartados anteriores, solo que ahora se extiende sobre una superficie en lugar de un alambre. A continuación se adjunta como se distribuye para el valor absoluto, ya que la densidad no puede ser negativa:
Para llegar a esta gráfica se utilizó el siguiente código en MATLAB:
t=linspace(0,2*pi,1000);
X2=t-sin(t);
Dens=abs(cos(X2));
plot(t,Dens)
xticks([0 pi()/2 pi() 3*pi()/2 2*pi()])
xticklabels({'0' '\pi/2' '\pi' '3\pi/2' '2\pi'})
xlabel('Ángulo Theta')
ylabel('Densidad')
title('Distribución de densidad en función del ángulo')
xlim([0,2*pi])
Mediante la misma parametrización en cartesianas de la superficie y la ecuación de densidad anterior, se procede a calcular la masa de la superficie expuesta. La ecuación para calcular la masa es la siguiente:
La resolución de dicha ecuación:
10 Cicloides en el mundo real
En el campo ingenieril, los cicloides se usan para describir movimientos y en el diseño de sistemas mecánicos.
Como ejemplo de una obra civil la cual usa cicloides está la Torre Eiffel, que para los lados de la pirámide en vez de ser rectos, son curvados en forma de medio cicloide girado y deformado definiéndose la x como x=n(1+cos(t)) y la y como y=m(t-sen(t)), siendo m>n, y t variando desde 0 hasta un valor un poco inferior a pi, debido a que no acaba exactamente en el punto de corte de los 4 cicloides, todo esto teniendo en cuenta que esta es la función del lado derecho que se vería en un alzado de la Torre Eiffel:
,11 Referencias externas
https://rysullivan.medium.com/celebrating-the-cycloid-be4350ff187b
https://www.wikiwand.com/es/Circunferencia_osculatriz
https://www.youtube.com/watch?v=d1NSiH-ilcw
https://www.youtube.com/watch?v=KSljGW_zxfE&ab_channel=LearnPlaySolve