Diferencia entre revisiones de «Circuitos eléctricos RL (Resistencia-Inductancia)»
(→Método de Euler) |
(→Método del trapecio) |
||
| Línea 203: | Línea 203: | ||
t0=0; | t0=0; | ||
tf=0.4; | tf=0.4; | ||
| + | R1=6; | ||
| + | R2=6; | ||
| + | R3=3; | ||
| + | L1=0.3; | ||
| + | L2=0.11; | ||
| + | E=20; | ||
i0=[0 0]'; | i0=[0 0]'; | ||
| − | A=[- | + | A=[-(R1+R2)/L2 -R1/L2 ; -R1/L1 -(R1+R3)/L1]; |
| − | + | ||
N=400; | N=400; | ||
h=(tf-t0)/N; | h=(tf-t0)/N; | ||
t=t0:h:tf; | t=t0:h:tf; | ||
i=zeros(2,N+1); | i=zeros(2,N+1); | ||
| − | |||
i(:,1)=i0; | i(:,1)=i0; | ||
ii=i0; | ii=i0; | ||
% Iteraciones y(t_n) --> y(t_n+1) | % Iteraciones y(t_n) --> y(t_n+1) | ||
for n=1:N | for n=1:N | ||
| − | gn=[ | + | gn=[E/L2 E/L1]'; |
gnp1=gn; | gnp1=gn; | ||
ii=(eye(2)-h/2*A)\((eye(2)+h/2*A)*ii+h/2*(gn+gnp1)); | ii=(eye(2)-h/2*A)\((eye(2)+h/2*A)*ii+h/2*(gn+gnp1)); | ||
| Línea 221: | Línea 225: | ||
end | end | ||
clf | clf | ||
| − | plot(t,i,'-','linewidth', | + | plot(t,i,'-','linewidth',3) |
legend('i2(t)','i3(t)') | legend('i2(t)','i3(t)') | ||
xlabel('Tiempo en segundos') | xlabel('Tiempo en segundos') | ||
Revisión del 13:27 4 mar 2014
| Trabajo realizado por estudiantes | |
|---|---|
| Título | Circuitos eléctricos RL. Grupo 10-B |
| Asignatura | Ecuaciones Diferenciales |
| Curso | Curso 2013-14 |
| Autores | Alejandro Giménez Alves, Miguel Aparicio Martín Romo, Nuria Trapote García, Karlo André Palomino Paredes |
| Este artículo ha sido escrito por estudiantes como parte de su evaluación en la asignatura | |
Contenido
1 Circuito eléctrico RL
El circuito eléctrico RL más simple tiene un inductor o bobina, una resistencia y una fuente de alimentación.
- En una resistencia R, la ley de Ohm establece:: [math]i(t) = \frac{v(t)}{R}[/math]
donde:
[math] i(t) [/math] = intesidad de corriente ([math]A[/math])
[math] v(t) [/math] = voltaje ([math]V[/math])
[math] R [/math] = coeficiente de resistencia ([math]Ω[/math])
- En un inductor L, la ley de Faraday establece:: [math]v(t) = L\frac{d}{d_t}i(t)=L\cdot i'(t)[/math]
donde:
[math] L [/math] = coeficiente de autoinducción ([math]H[/math])
Las leyes de Kirchoff establecen el comportamiento de los circuitos:
- Ley de corriente: en cada nodo la suma de corrientes que entra coincide con la suma de corrientes que sale.
- Ley de tensiones: en cada ciclo cerrado, la suma de las diferencias de potencial eléctrico es nula.
2 Ley de Kirchoff en un circuito simple (malla 1)
Cuando cerramos el circuito, la cantidad de voltaje total segun "la ley de tensiones de Kirchoff" será la suma del voltaje que hay en la resistencia (intensidad por resistencia) y el que hay en la bobina (resistencia de la bobina por la derivada de la intensidad con respecto al tiempo). En un circuito RL cerrado, aplicando las leyes de Kirchoff, nos da la siguiente ecuación diferencial::
[math] i'(t)+{R\over L}i(t)-{V(t)\over L}=0 [/math]
2.1 Método analítico
En el instante t=0, el circuito está abierto, por lo que la intensidad que circula es nula ([math] i_0(t)=0 [/math]). En el momento en el que t>0, el circuito adquiere una intensidad, que con las condiciones:
[math] V(t)=20V [/math]
[math] L=0.2 [/math]
[math]R=5Ω [/math]
hará que la ecuacion diferencial sea:
[math]L\frac{d}{dt}i(t)+R\cdot i=V_0 \hspace{0.5cm} \rightarrow \hspace{0.5cm} [/math]
[math]i'(t)+\frac{R}{L}i(t)=\frac{V}{L} \hspace{0.5cm} \rightarrow \hspace{0.5cm} [/math]
[math]i \cdot e^{\int{\frac{R}{L}dt}} = \int{e^{\frac{R \cdot t}{L}}dt} \hspace{0.5cm} \rightarrow \hspace{0.5cm} [/math]
[math]i \cdot e^{\frac{R \cdot t}{L}} = \frac{V}{R}e^{\frac{R \cdot t}{L}}+C[/math]
Obteniendo como solución de la ecuación diferencial::
[math]i(t) = \frac{V}{R} + C \cdot e^{\frac{-R \cdot t}{L}}[/math]
En t=0, el circuito está cerrado. Con la condición inicial [math]i(0)=0 [/math], obtenemos el valor de la constante [math]C[/math]:: [math]i(0)=0 \Rightarrow C= - \frac{V}{R}[/math]
Finalmente, la solución resulta::
[math] i(t)= \frac{V}{R} - \frac{V}{R} e^{(-\frac{R}{L})t} = 4-4e^{-25t} [/math]
Con la gráfica:
t=[0:0.0001:1];
i=4-4*exp(-25*t);
figure(1)
plot(t,i,'-b','linewidth',5)
xlabel('Tiempo en segundos');
ylabel('Intensidad en amperios');
Si observamos con detenimiento la gráfica, vemos que la variación de la intesidad sigue una ley exponencial que ha medida que pasa el tiempo, crece de manera muy rápida, debido a que en la malla empieza a circular una corriente de manera prácticamente instantánea una vez cerramos el circuito.
Por otro lado, vemos que el intervalo de tiempo en el que la intensidad pasa de 0 a 4 amperios (se vuelve constante) es muy pequeño.
2.2 Método de Euler
Este método se basa en un procedimiento de integración numérica para resolver ecuaciones diferenciales ordinarias a partir de un valor inicial dado, donde se aproxima el valor de la función a la tangente en cada punto.
Con la gráfica:
V=20;
R=5;
L=0.2;
t0=0;
tN=1;
h=0.0000001;
N=(tN-t0)/h;
i0=0;
ii=i0;
i(1)=ii;
for n=1:N
ii=ii+h*[V/L+(-R/L)*ii];
i(n+1)=ii;
end
t=t0:h:tN;
figure(1)
plot(t,i,'-r','linewidth',5)
xlabel('Tiempo en segundos');
ylabel('Intensidad en amperios');Como estamos usando un método explícito para aproximar una función exponencial de elevada pendiente, el paso de discretización temporal ha de ser muy pequeño (para que sea estable).
Cuanto más cercanos cojamos los puntos, mayor será la aproximación al resultado real, haciéndolo más exacto (ya que el error acumulado será menor).
2.3 Método del trapecio
Este método se basa en la integración numérica, es decir, es un método para calcular aproximadamente el valor de una integral definida.
Se basa en aproximar en la valor de la integral de la función por el de la función lineal que pasa a través de los puntos de inicio y final de la función, aproximandolo al área de un trapecio. El método del trapecio es más exacto que el de Euler.
Con la gráfica:
V=20;
R=5;
L=0.2;
t0=0;
tN=1;
N=100000;
h=(tN-t0)/N;
t=t0:h:tN;
i=t*0;
i0=0;
ii=i0;
i(1)=ii;
for n=1:N
%% Aplicando el método del trapecio, cuya expresión es i_n+1=i_n+h/2*(f(t_n,i_n)+f(t_n+1,i_n+1).
%% Despejando el término i_n+1 resulta la expresion siguiente.
ii=((1-(h*R)/(2*L))*ii+h*V/L)/(1+((h*R)/(2*L)));
i(n+1)=ii;
end
figure(1)
plot(t,i,'-y','linewidth',5)
xlabel('Tiempo en segundos');
ylabel('Intensidad en amperios');
Podemos observar que la intensidad se estabiliza a un valor constante en un período de tiempo muy corto (aproximadamente 0.2 segundos), casi de manera instantánea.
Cuánto más aumentemos L, más tiempo tardará la intensidad en llegar a ser una constante.
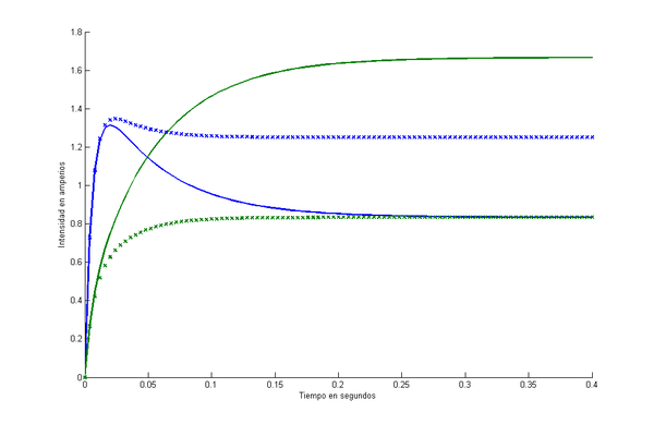
3 Ley de Kirchoff en un circuito complejo (malla 2)
Según las leyes de Kirchoff, el sistema de ecuaciones diferenciales correspondiente al circuito 2 es el siguiente:
- [math]E(t) = R_1\cdot i_1(t) + L_2\cdot \frac{d}{dt} i_2(t) + R_2\cdot i_2(t)[/math]: corresponde al recorrido exterior del circuito.
- [math]E(t) = R_1\cdot i_1(t) + L_1\cdot \frac{d}{dt} i_3(t) + R_3\cdot i_3(t)[/math]: corresponde a la malla 1.
- [math]i_1(t) = i_2(t) + i_3(t)[/math]: es la correspondiente a la Ley de corriente de Kirchoff.
donde
[math]i_1(t)[/math] = intensidad de la malla 1
[math]i_2(t)[/math] = intensidad de la malla 2
[math]i_3(t)[/math] = intensidad de la intersección de mallas
Sustituyendo la tercera ecuación enlas otras dos se obtiene el sistema en términos de [math]i_2(t)[/math] e [math]i_3(t)[/math]:
- [math] i_2'(t)+{R_1+R_2\over L_2}i_2(t)+{R_1\over L_2}i_3(t)={E(t)\over L_2} [/math]
- [math] i_3'(t)+{R_1\over L_1}i_2(t)+{R_1+R_3\over L_1}i_3(t)={E(t)\over L_1} [/math]
Matricialmente::[math]\frac{d}{dt}\begin{pmatrix} i_2\\i_3 \end{pmatrix} = - \begin{pmatrix} \frac{R_1+R_2}{L_2}&\frac{R_1}{L_2} \\ \frac{R_1}{L_1}&\frac{R_1+R_3}{L_1} \end{pmatrix}\begin{pmatrix} i_2\\i_3 \end{pmatrix} + \begin{pmatrix} \frac{E}{L_2} \\ \frac{E}{L_1} \end{pmatrix}[/math]
A partir de las condiciones iniciales [math]i_2(0)[/math] = [math]i_3(0)[/math] = 0; y por consiguiente [math]i_2'(0)[/math] = [math]i_3'(0)[/math] = 0, se puede interpretar que la corriente en el circuito es nula en el momento inicial, cuando se conecta el generador.
3.1 Método de Euler
Resolveremos el sistema anterior para los siguientes datos:
[math] R_1=R_2=6Ω [/math]
[math] R_3=3Ω [/math]
[math] L_1=0.3H [/math]
[math] L_2=0.11H [/math]
[math] E(t)=20V [/math]
Para ello emplearemos el método de Euler utilizando Matlab.
t0=0;
tf=0.4;
R1=6;
R2=6;
R3=3;
L1=0.3;
L2=0.11;
E=20;
i0=[0 0]';
A=[-(R1+R2)/L2 -R1/L2 ; -R1/L1 -(R1+R3)/L1];
N=400;
h=(tf-t0)/N;
t=t0:h:tf;
i=zeros(2,N+1);
i(:,1)=i0;
ii=i0;
% Iteraciones i(t_n) --> i(t_n+1)
for n=1:N
g=[E/L2 E/L1]';
ii=ii+h*(A*ii+g)
i(:,n+1)=ii;
end
clf
plot(t,i,'-','linewidth',3)
legend('i2(t)','i3(t)')
xlabel('Tiempo en segundos')
ylabel('Intensidad en amperios')
3.2 Método del trapecio
t0=0;
tf=0.4;
R1=6;
R2=6;
R3=3;
L1=0.3;
L2=0.11;
E=20;
i0=[0 0]';
A=[-(R1+R2)/L2 -R1/L2 ; -R1/L1 -(R1+R3)/L1];
N=400;
h=(tf-t0)/N;
t=t0:h:tf;
i=zeros(2,N+1);
i(:,1)=i0;
ii=i0;
% Iteraciones y(t_n) --> y(t_n+1)
for n=1:N
gn=[E/L2 E/L1]';
gnp1=gn;
ii=(eye(2)-h/2*A)\((eye(2)+h/2*A)*ii+h/2*(gn+gnp1));
i(:,n+1)=ii;
end
clf
plot(t,i,'-','linewidth',3)
legend('i2(t)','i3(t)')
xlabel('Tiempo en segundos')
ylabel('Intensidad en amperios')
t0=0;
tf=0.4;
i0=[0 0]';
A=[-1200/11 -600/11 ; -60/3 -30];
% Discretización
N=100;
h=(tf-t0)/N;
t=t0:h:tf;
i=zeros(2,N+1);
% Inicialización
i(:,1)=i0;
ii=i0;
% Iteraciones i(t_n) --> i(t_n+1)
for n=1:N
g=[2000/11 200/3]';
ii=ii+h*(A*ii+g)
i(:,n+1)=ii;
end
j0=[0 0]';
B=[-1200/11 -600/11 ; -60/3 -50];
j=zeros(2,N+1);
% Inicialización
j(:,1)=j0;
jj=j0;
% Iteraciones j(t_n) --> j(t_n+1)
for n=1:N
g=[2000/11 200/3]';
jj=jj+h*(B*jj+g)
j(:,n+1)=jj;
end
hold on
plot(t,i,'-','linewidth',2)
plot(t,j,'x','linewidth',2)
xlabel('Tiempo en segundos')
ylabel('Intensidad en amperios')
hold off


