Diferencia entre revisiones de «Circuitos RL (grupo B)»

De MateWiki
Saltar a: navegación, buscar
(Método de Euler.)
(Método de Euler.)
Línea 154: Línea 154:
 
}}
 
}}
 
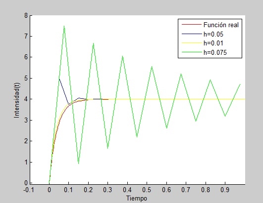
Al ensayar con diferentes pasos de discretización vemos como la aproximación de la gráfica se va degenerando, hasta el punto en el que si se sobrepasa 0'05, la volatilidad de las oscilaciones llega a ser tal que la intensidad nunca llega a estabilizarse y el error no se anula pues los valores son muy lejanos a los reales. Si se mantiene en el intervalo [0'02,0'05] se elimina la forma exponencial de la función (aparecen en su lugar fluctuaciones rectilíneas) pero se sigue reflejando la evolución de la intensidad hasta que se vuelve constante. Con un paso de 0'01, se consigue una gráfica exponencial con valores ligeramente superiores a los reales, por tanto podemos afirmar cuanto más pequeño sea el paso, más exacta será la aproximación.
 
Al ensayar con diferentes pasos de discretización vemos como la aproximación de la gráfica se va degenerando, hasta el punto en el que si se sobrepasa 0'05, la volatilidad de las oscilaciones llega a ser tal que la intensidad nunca llega a estabilizarse y el error no se anula pues los valores son muy lejanos a los reales. Si se mantiene en el intervalo [0'02,0'05] se elimina la forma exponencial de la función (aparecen en su lugar fluctuaciones rectilíneas) pero se sigue reflejando la evolución de la intensidad hasta que se vuelve constante. Con un paso de 0'01, se consigue una gráfica exponencial con valores ligeramente superiores a los reales, por tanto podemos afirmar cuanto más pequeño sea el paso, más exacta será la aproximación.
[[Image:Comparativa.jpg|600px|thumb|center|Comparativa de la función real con aproximaciones con diferentes pasos de discretización.]]
+
[[Image:123456789.jpg|600px|thumb|center|Comparativa de la función real con aproximaciones con diferentes pasos de discretización.]]
  
 
==== Método del Trapecio. ====
 
==== Método del Trapecio. ====

Revisión del 19:58 1 mar 2014

Trabajo realizado por estudiantes
Título Circuitos RL. Grupo 2-B
Asignatura Ecuaciones Diferenciales
Curso Curso 2013-14
Autores Diego Solano López,Lucia López Sánchez,Adela González Barbado,Araceli Martín Candilejo,Ignacio Díaz Caneja Camblor,Alberto Fernández Pérez
Este artículo ha sido escrito por estudiantes como parte de su evaluación en la asignatura


El circuito eléctrico mas simple esta compuesto de una resistencia, un inductor o bobina y una fuente de alimentación.

  • En una resistencia R, la Ley de Ohm establece:
 [math]i(t)={V(t)\over R}[/math]
  • En un inductor L la Ley de Faraday dice:

[math] V(t)=L\cdot i'(t)[/math]




Las leyes de Kirchhoff establecen el comportamiento de los circuitos:

  1. Ley de corriente: en cada nudo la suma de corrientes que entra coincide con la suma de corrientes que sale.
  2. Ley de tensiones: en cada ciclo cerrado, la suma de las diferencias de potencial eléctrico es nula.


1 Ley de Kirchhoff de voltaje

1.1 Ecuación diferencial-Resolución y representación analítica.

Basándonos en la Ley de Kirchhoff de voltaje sobre el circuito que observamos en la imagen, podemos trabajar con la siguiente ecuación diferencial.

[math] i'(t)+{R\over L}i(t)-{V(t)\over L}=0 [/math]
Circuito RL simple

Al suponer que en el instante t=0 el circuito está abierto, podemos establecer para el problema de Cauchy el valor inicial [math] i_0(t)=0 [/math]. Considerando que la alimentación posee un voltaje constante V(t)=20V, L=0.2 y R=5Ω, llegamos al problema:

                             [math]\left\{\begin{matrix}\ i'(t)+{25}i(t)-{100}=0 \\i(0)=0\end{matrix}\right.[/math]


La resolución de éste mediante (...) nos da:

[math] i(t)=4+4e^{-25t} [/math]

Podemos ver en la gráfica de la función que la evolución de la intensidad, una rápida subida en los primeros instantes que se ralentiza hasta llegar a ser prácticamente constante.

Gráfica de la intensidad en un circuito RL simple
fplot('4-4*exp(-25*t)',[0,0.5,0,5]);
xlabel('Tiempo')
ylabel('Intensidad(t)')


1.2 Método de Euler.

%Definimos las condiciones iniciales
clear all
t0=0;
tN=1;
%Establecemos un paso h=0.01
h=0.01;
t=t0:h:tN;
N=(tN-t0)/h;
%Resolvemos la ecuacion
ii=0;
i(1)=ii;
for n=1:N;
  ii=ii+h*(100-25*ii);
  i(n+1)=ii;
end
figure(1)
plot(t,i,'-g','linewidth',2);
xlabel('Tiempo');
ylabel('Intensidad(t)');
axis([-0.1,1,0,5])
%Calculo error
r=4-4*exp(-25*t);
error=abs(r-i);
figure(2)
plot(t,error,'-r','linewidth',2)
xlabel('Tiempo');
ylabel('Error');
axis([-0.1,1,-0.05,0.25])

Un paso de discretización de 0'01 proporciona un error muy pequeño, lo que aporta una aproximación de la función muy similar a la real, como podemos observar en la primera figura. Analizando el error que nos ofrece dicha aproximación, vemos en la segunda imagen que éste se anula al llegar a t=0'3 y coincidir la 'recta' aproximada de la estabilización con la real, y que su valor no supera el 0'2, por lo que podemos afirmar analíticamente la exactitud de la aproximación.

Resultado de la intensidad del circuito RL simple por el método de Euler para h=0'01
Gráfica del error cometido en el cálculo de la intensidad por el método de Euler para h=0'01



%Resolucion por Euler
%Definimos las condiciones iniciales
clear all
t0=0;
tN=1;
%Probamos con un paso de discretización mayor, h=0.05
h=0.05;
t=t0:h:tN;
N=(tN-t0)/h;
%Resolvemos la ecuacion
ii=0;
i(1)=ii;
for n=1:N;
  ii=ii+h*(100-25*ii);
  i(n+1)=ii;
end
figure(1)
plot(t,i,'-g','linewidth',2);
xlabel('Tiempo');
ylabel('Intensidad(t)');
axis([-0.1,1,0,5.1])
%Calculo error
r=4-4*exp(-25*t);
error=abs(r-i);
figure(2)
plot(t,error,'-r','linewidth',2)
axis([-0.1,1,-0.05,2.25])
xlabel('Tiempo');
ylabel('Error');


Al aumentar el paso de discretización a 0'05 vemos como la aproximación de la curva se convertido en una combinación de rectas que asemejan la evolución de la intensidad pues se sigue manteniendo una rápida subida inicial. A pesar de ello, el error ha aumentado su valor en un 1000% en el periodo transitorio, pero vuelve a anularse en el permanente ya que a partir del punto de estabilización los valores aproximados coincide con los reales.

Resultado de la intensidad del circuito RL simple por el método de Euler para h=0'05
Gráfica del error cometido en el cálculo de la intensidad por el método de Euler para h=0'05


%Comparamos las gráficas con diferentes pasos y la función real
clear all
t0=0;
tN=1;
h1=0.05;
t1=t0:h1:tN;
N1=(tN-t0)/h1;
h2=0.01;
t2=t0:h2:tN;
N2=(tN-t0)/h2;
h3=0.075;
t3=t0:h3:tN;
N3=(tN-t0)/h3;
ii=0;
i(1)=ii;
for n=1:N1;
  ii=ii+h1*(100-25*ii);
  i(n+1)=ii;
end
yy=0;
y(1)=yy;
for m=1:N2;
  yy=yy+h2*(100-25*yy);
  y(m+1)=yy;
end
jj=0;
j(1)=jj;
for m=1:N3;
  jj=jj+h3*(100-25*jj);
  j(m+1)=jj;
end
hold on 
fplot('4-4*exp(-25*t2)',[0,1,0,5],'r');
plot(t1,i,'-b','linewidth',1);
plot(t2,y,'-y','linewidth',1);
plot(t3,j,'-g','linewidth',1);
legend('Función real','h=0.05', 'h=0.01', 'h=0.075');
title('Comparativa');
xlabel('Tiempo');
ylabel('Intensidad(t)');
axis([-0.1,1,-0.05,8])
hold off

Al ensayar con diferentes pasos de discretización vemos como la aproximación de la gráfica se va degenerando, hasta el punto en el que si se sobrepasa 0'05, la volatilidad de las oscilaciones llega a ser tal que la intensidad nunca llega a estabilizarse y el error no se anula pues los valores son muy lejanos a los reales. Si se mantiene en el intervalo [0'02,0'05] se elimina la forma exponencial de la función (aparecen en su lugar fluctuaciones rectilíneas) pero se sigue reflejando la evolución de la intensidad hasta que se vuelve constante. Con un paso de 0'01, se consigue una gráfica exponencial con valores ligeramente superiores a los reales, por tanto podemos afirmar cuanto más pequeño sea el paso, más exacta será la aproximación.

Comparativa de la función real con aproximaciones con diferentes pasos de discretización.

1.3 Método del Trapecio.

2 Leyes de Kirchhoff

Circuito 2 completo.jpg

Según las leyes de Kirchhoff, el sistema de ecuaciones diferenciales correspondiente al circuito 2 es el siguiente:

[math]\left\{\begin{matrix}\ [1] E(t) = R_1\cdot i_1(t) + L_2\cdot \frac{d}{dt}\cdot i_2(t) + R_2\cdot i_2(t)\\ [2] E(t) = R_1\cdot i_1(t) + L_1\cdot \frac{d}{dt}\cdot i_3(t) + R_3\cdot i_3(t)\\ [3] i_1(t) = i_2(t) + i_3(t)\end{matrix}\right.[/math]

[1]Correspondiente al recorrido exterior del circuito.
[2]Correspondiente a la malla izquierda, (malla 1).
[3]Correspondiente al nudo de la parte superior del circuito(Ley de corrientes de Kirchhoff).


Sustituyendo la tercera ecuación en las otras dos, se obtiene el sistema en términos de i2(t) e i3(t) matricialmente::[math]\frac{d}{dt}\cdot \begin{pmatrix} i_2\\i_3 \end{pmatrix} = - \begin{pmatrix} \frac{R_1+R_2}{L_2}&\frac{R_1}{L_2} \\ \frac{R_1}{L_1}&\frac{R_1+R_3}{L_1}\end{pmatrix} \cdot \begin{pmatrix} i_2\\i_3 \end{pmatrix} + \begin{pmatrix} \frac{E}{L_2} \\ \frac{E}{L_1} \end{pmatrix}[/math]
A partir de las condiciones iniciales i2(0)=i3(0)=0 se puede interpretar que la corriente en el circuito es nula en el momento en el cual se conecta el generador.

2.1 Cálculo de las intensidades de un circuito con varias resistencias y bobinas a partir del Método de Euler y del Trapecio.

Ya se ha visto que la expresión de las intensidades i2 e i3 de este circuito RL vienen dadas por dos ecuaciones diferenciales que conforman un sistema. Este sistema de ecuaciones diferenciales se puede resolver numéricamente a partir del método de Euler y del trapecio, los cuales se basan en la aproximación de las áreas de esa ecuación diferencial al valor real de la función en cada momento.


Partiendo de unos datos iniciales iguales a:

[math] R_1=R_2=6Ω [/math] , [math] R_3=3Ω [/math] , [math] L_1=0,3Hz [/math] , [math] L_2=0,11Hz [/math] y [math] E(t)=20 V [/math]

:[math]\frac{d}{dt}\cdot \begin{pmatrix} i_2\\i_3 \end{pmatrix} = - \begin{pmatrix} \frac{6+6}{0,11}&\frac{6}{0,11} \\ \frac{6}{0,3}&\frac{6+3}{0,3}\end{pmatrix} \cdot \begin{pmatrix} i_2\\i_3 \end{pmatrix} + \begin{pmatrix} \frac{20}{0,11} \\ \frac{20}{0,3} \end{pmatrix}[/math]

Resolvemos las ecuaciones diferenciales:

  • MÉTODO DE EULER:

OCTAVE

DATOS:

clc;clear all;
    %t0=tiempo inicial
t0=0;
    %tN=tiempo máximo a evaluar
tN=0.04;
    %soluciones en y0 para las variables i2 e i3
y0=0;
    %N=intervalos en los que se dividen
N=25;
    %h=salto de intervalo en intervalo
h=(tN-t0)/N;
    %i1,i2,i3=vectores solución desde t0 a tN de h en h
i1=t0:h:tN;

i2=t0:h:tN;

i3=t0:h:tN;

    %y=vector de ceros y que va a almacenar las soluciones.Tendrá N+1 términos porque el primero es el cero y el ultimo el N
    %la intensidad dos es y(:,1),es decir, la fila 1.
    %la intensidad tres es y(:,2),es decir, la fila 2.
    %la intensidad uno es y(:,3),es decir, la fila 3.
y=zeros(N+1,3);
y(1,1)=y0;
y(1,2)=y0;
y(1,3)=y0;
%AHORA SE EMPIEZA A RESOLVER POR EULER EL SISTEMA.
%y(n+1)=y(n)+h*f(t(n),y(n))
%f(t,i2)=((E/L2)-R1*(i2+i3)+R2*i2)/L2
%f(t,i3)=((E/L1)-R1*(i2+i3)+R3*i3)/L1
for n=1:N
    y(n+1,1)=y(n,1)+h*((20/0.11)-(6*(y(n,1)+y(n,2))+6*y(n,1))/0.11);
    y(n+1,2)=y(n,2)+h*((20/0.3)-(6*(y(n,1)+y(n,2))+3*y(n,2))/0.3);
    y(n+1,3)=y(n+1,1)+y(n+1,2);
end
hold on
plot(i1,y(:,3),'+')
plot(i2,y(:,1),'r+')
plot(i3,y(:,2),'g+')
xlabel('Tiempo');
ylabel('Intensidad(t)');
legend('i1', 'i2', 'i3');
grid on
  • MÉTODO DEL TRAPECIO:

OCTAVE

DATOS:
clc;clear all;
    %tiempo inicial
t0=0;
    %tiempo máximo a evaluar
tN=0.04;
    %soluciones en y0 para las variables i2 e i3
y0=0;
    %intervalos en los que se dividen
N=25;
	%salto de intervalo en intervalo
h=(tN-t0)/N;
    %vectores solución desde t0 a tN de h en h
i1=t0:h:tN;
i2=t0:h:tN;
i3=t0:h:tN;
    %vector de ceros y que va a almacenar las soluciones
    %tendra N+1 términos porque el primero es el cero y el ultimo el N
    %la intensidad dos es y(:,1)
    %la intensidad tres es y(:,2)
    %la intensidad uno es y(:,3)
y=zeros(N+1,3);
y(1,1)=y0;
y(1,2)=y0;
y(1,3)=y0;
PARA RESOLVER POR EL MÉTODO DEL TRAPECIO:
%y(n+1)=y(n)+(h/2)*(f(t(n),y(n)+f(t(n+1),y(n+1))
%f(t,i2)=((E/L2)-R1*(i2+i3)+R2*i2)/L2
%f(t,i3)=((E/L1)-R1*(i2+i3)+R3*i3)/L1
for n=1:N
    y(n+1,1)=y(n,1)+(h/2)*(((20/0.11)-(6*(y(n,1)+y(n,2))+6*y(n,1))/0.11)+((20/0.11)-(6*(y(n+1,1)+y(n+1,2))+6*y(n+1,1))/0.11));
    y(n+1,2)=y(n,2)+(h/2)*(((20/0.3)-(6*(y(n,1)+y(n,2))+3*y(n,2))/0.3)+((20/0.3)-(6*(y(n+1,1)+y(n+1,2))+3*y(n+1,2))/0.3));  
    y(n+1,3)=y(n+1,1)+y(n+1,2);
end
plot(i1,y(:,3))
plot(i2,y(:,1),'r')
plot(i3,y(:,2),'g')
xlabel('Tiempo');
ylabel('Intensidad(t)');
hold off



Gráfica del resultado del Método de Euler y Trapecio en el cálculo de las intensidades.



En el resultado de la gráfica, lo obtenido con el método de Euler se representa con los símbolos "+", mientras que la línea continua corresponde al Método del Trapecio. Como se puede apreciar, ambos métodos dan resultados similares y muy próximos. En la interpretación de los resultados, diríamos que se trata de corrientes muy estables.