Diferencia entre revisiones de «Circuitos eléctricos RL»

De MateWiki
Saltar a: navegación, buscar
Línea 54: Línea 54:
  
 
[[Image:eulerbuenoA.jpg|center|thumb|1000px|Ecuación: Método Euler]]
 
[[Image:eulerbuenoA.jpg|center|thumb|1000px|Ecuación: Método Euler]]
 +
[[Image:Piti1.JPG|center|thumb|1000px|Ecuación: Método Euler]]
 +
  
 
==Método del trapecio==
 
==Método del trapecio==

Revisión del 15:56 20 feb 2014

1 Introducción

El circuito eléctrico mas simple esta compuesto de una resistencia,un inductor o bobina y una fuente de alimentación.

  • En una resistencia R, la Ley de Ohm establece:
 [math]i(t)={V(t)\over R}[/math]
  • En un inductor L la Ley de Faraday dice:

[math] V(t)=L\cdot i'(t)[/math] Donde i(t) es la intensidad de corriente, V(t) el voltaje, R la resistencia y L la inductancia o bobina. Las leyes de Kirchoff dicen:

  1. Ley de corrientes: En cada nodo, la suma de corrientes que entra es igual a la que sale.
  2. Ley de tensiones: En cada ciclo cerrado, la suma de diferenciales de potencias es nula.


2 Ecuacion diferencial

Un circuito RL cerrado, mediante las leyes de Kirchoff nos da la siguiente ecuacion diferencial:

[math] i'(t)+{R\over L}i(t)-{V(t)\over L}=0 [/math]

El hecho de que en t=0 el circuito esté abierto, significa que no circula corriente, es decir que [math] i_0(t)=0 [/math]. Con estas condiciones: [math] V(t)=10V, L=0.2 y R=5Ω [/math] y la anterior nos sale como solucion de la ecuacion diferencial:

    [math] i(t)=2-2e^{-25t} [/math]

con la gráfica:

Ecuación

Observamos que la variación de la intensidad sigue una ley exponencial , que crece con el tiempo de forma muy rápida. Esto es así porque la corriente comienza a circular por la malla de forma prácticamente instantánea, una vez que conectamos el generador y cerramos el circuito. Observamos que, corroborando lo dicho, el lapso de tiempo en el que la intensidad pasa de 0 a 2 amperios es muy corto.

3 Método de Euler

t0=0;
tN=0.5;
y0=0;
N=100;
h=(tN-t0)/100;
yy=y0;
y(1)=yy;
for n=1:N;
yy=yy+h*(50-25*yy);
y(n+1)=yy;
end
x=t0:h:tN;
plot(x,y,'-g','linewidth',3);
xlabel('Tiempo');
ylabel('Intensidad');
  • El paso de discretización temporal para que el método sea estable ha de ser pequeño, por estar usando un método explícito para aproximar una función exponencial de elevada pendiente.En este caso lo hemos elegido del orden de h=1/100.


Ecuación: Método Euler
Ecuación: Método Euler


4 Método del trapecio

t0=0;
tN=0.5;
y0=0;
N=50;
h=(tN-t0)/N;
yy=y0;
y(1)=yy;
for n=1:N;
yy=(yy+h*(50-12.5*yy))/(1+12.5*h);
y(n+1)=yy;
end
x=t0:h:tN;
plot(x,y,'-r','linewidth',3);
xlabel('Tiempo');
ylabel('Intensidad');


Observamos que usando el método del trapecio, podemos coger un paso mayor (del orden de 1/50 por ejemplo) y obtener igualmente una buena aproximación.Esto es asi por ser el método del trapecio un método implícito.

Ecuación: Método Trapecio

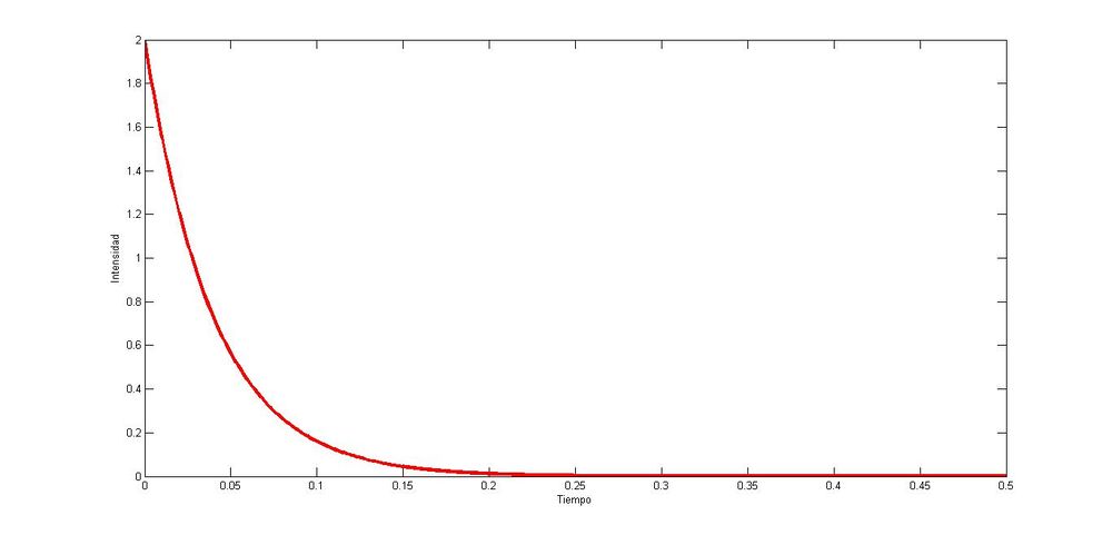
5 Euler con condiciones iniciales distintas

En el caso anterior analizábamos la variación de intensidad en la malla al conectar el circuito al generador (para el instante inicial i(0)=0). Ahora tenemos un circuito por el que circula una corriente de 2A y desconectamos el generador del circuito, entonces la intensidad disminuirá progresivamente en el tiempo siguiendo una ley exponencial.


t0=0;
tN=0.5;
y0=2;
N=500;
h=(tN-t0)/500;
yy=y0;
y(1)=yy;
for n=1:N;
yy=yy+h*(-25*yy);
y(n+1)=yy;
end
x=t0:h:tN;
plot(x,y,'-r','linewidth',3);
xlabel('Tiempo');
ylabel('Intensidad');


Ecuación: Método Euler 2

6 Sistema de ecuaciones

De acuerdo a las leyes de Kirchoff, el sistema de ecuaciones correspondiente a la figura en cuestión es el siguiente:

[math] E(t)=R_1i_1(t)+L_2i'_2(t)+R_2i_2(t)[/math]:

[math] E(t)=R_1i_1(t)+L_1i'_3(t)[/math]:

[math] i_1(t)=i_2(t)+i_3(t)[/math]

Sustituyendo la tercera ecuación en las otras dos se obtiene el sistema en términos de [math] i_2(t) [/math] e [math] i_3(t) [/math]:

[math] E(t)=R_1{i_2(t)+i_3(t)}+L_2i'_2(t)+R_2i_2(t)[/math]:

[math] E(t)=R_1{i_2(t)+i_3(t)}+L_1i'_3(t) [/math]

A partir de las condiciones iniciales [math] i_2(0)=i_3(0)=0 [/math] podemos interpretar que la corriente en el circuito es nula en el momento inicial en el que se conecta el generador.

Si añadimos un nuevo ciclo con una resistencia [math] R_3 [/math] e inductor [math] I_3 [/math] (similares a [math] R_2 [/math],[math] L_2 [/math]) el sistema de ecuaciones varía del siguiente modo:

[math] i'_3(t)={E(t)\over L_3}-{{R_1+R_2+R_3}\over L_3}i_3(t)-{{R_1+R_2}\over L_3}i_4(t)+{R_1\over L_3}i_5(t) [/math]:

[math] i'_4(t)={E(t)\over L_2}-{{R_1+R_2}\over L_2}i_3(t)-{{R_1+R_2}\over L_2}i_4(t)-{R_1\over L_2}i_5(t) [/math]:

[math] i'_5(t)={E(t)\over L_1}-{R_1\over L_1}i_3(t)-{R_1\over L_1}i_2(t)-{R_1\over L_1}i_5(t) [/math] Por último sustituimos los valores dados [math]R1=R2=6Ω, L1=0.02H, L2=0.0025H[/math] y nos sale el sistema: [math] i_2'(t)=-4800i_2(t)-2400i_3(t)+4000[/math]: [math]i_3'(t)=-300i_2(t)-300i_3(t)+500 [/math]

7 Sistema de ecuaciones: Euler

clear all
t0=0;
tN=0.3;
i0=[0 0]';
N=1000;
A=[-4800 -2400;-300 -300];
h=(tN-t0)/N;
ii=i0;
i2(1)=i0(1);
i3(1)=i0(2);
for n=1:N;
ii=ii+h*(A*ii+[4000;500]);
i2(n+1)=ii(1);
i3(n+1)=ii(2);
end
t=t0:h:tN;
figure(3)
plot(t,i2,'-g','linewidth',3);
hold on
plot(t,i3,'-r','linewidth',3);
xlabel('Tiempo');
ylabel('Intensidad');


Sistema: Método Euler

Observamos que durante los primeros instantes de tiempo, las intensidades i2 e i3 decrecen y crecen respectivamente con mucha pendiente. Poco despues se estabilizan ambas .

8 Sistema de ecuaciones: Trapecio

clear all
t0=0;
tN=0.3;
i0=[0 0]';
N=1000;
A=[-4800 -2400;-300 -300];
h=(tN-t0)/N;
ii=i0;
i2(1)=i0(1);
i3(1)=i0(2);
for n=1:N;
ii=ii+h*(A*ii+[4000;500]);
i2(n+1)=ii(1);
i3(n+1)=ii(2);
end
t=t0:h:tN;
figure(3)
plot(t,i2'-g','linewidth',3);
plot(t,i3,'-r','linewidth',3);
xlabel('Tiempo');
ylabel('Intensidad');
hold off


Sistema: Método Trapecio


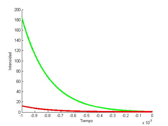
9 Apartado 6

Con los datos del apartado anterior y teniendo en cuenta que para [math]t=0.3[/math] el valor de las intensidades es [math]i_1=i_2=1A[/math] se pide el valor inicial de dichas intensidades. Introduciendo estos datos en el Matlab de la manera que se muestra a continuación, obtendríamos la gráfica que representa los valores de i1 e i2 en función del tiempo en el intervalo desde [math]t=0[/math] hasta [math]t=0.3[/math].

Habiendo introducido en matlab los tiempos que marcaba el enunciado , la gráfica que obteníamos no era representativa, por ser el intervalo de tiempo demasiado largo como para apreciar el fenómeno eléctrico. Es por eso que decidimos reducir el intervalo de en que transcurre el fenómeno, tomando [math]tN=0.001[/math] .

La razón por la que hemos tomado tN negativo (valor aparentemente incoherente), es precisamente para representar que avanzamos de delante a atrás para representar la gráfica. Se trata por lo tanto de un artificio para la representación del ejercicio , no de un valor real del tiempo negativo, evidentemente. Podríamos haber supuesto el paso negativo en vez del tiempo, habriendo obtenido idénticos resultados.


clear all;
t0=0;
tN=-0.001;
i0=[1 1]';
N=500;
A=[-4800 -2400;-300 -300];
h=(tN-t0)/N;
ii=i0;
i2(1)=i0(1);
i3(1)=i0(2);
for n=1:N;
    ii=ii+h*(A*ii+[400;500]);
    i2(n+1)=ii(1);
    i3(n+1)=ii(2);
end
t=t0:h:tN;
figure(4);
hold on
plot(t,i2,'-g','linewidth',3);
plot(t,i3,'-r','linewidth',3);
xlabel('Tiempo');
ylabel('Intensidad');
hold off


Apartado 6