Diferencia entre revisiones de «Usuario:Ve.cedillo»
| Línea 150: | Línea 150: | ||
σ(x,y)=λ∇.u.1 + 2με<br /> | σ(x,y)=λ∇.u.1 + 2με<br /> | ||
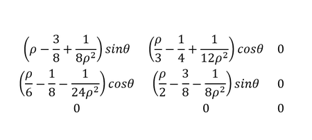
Siendo ε la parte simétrica del ∇\(\vec u\) y λ y μ los coeficientes de Lamé que varían en función del material y que en este caso son ambos de valor 1. Las tensiones pueden producirse en cualquier dirección del espacio, pero puesto que, como se observa en la matriz el término asociado a \(\vec g_{z}\) es 0 no existen tensiones en dicha dirección. | Siendo ε la parte simétrica del ∇\(\vec u\) y λ y μ los coeficientes de Lamé que varían en función del material y que en este caso son ambos de valor 1. Las tensiones pueden producirse en cualquier dirección del espacio, pero puesto que, como se observa en la matriz el término asociado a \(\vec g_{z}\) es 0 no existen tensiones en dicha dirección. | ||
| + | [[Archivo:A8-9.png|450px|miniaturadeimagen|centro]] | ||
| + | Pese a que los desplazamientos se realizan en el plano, las tensiones no tienen por qué ser planas, y se puede representar en las tres direcciones del espacio. Puesto que estamos empleando coordenadas cilíndricas, se representan las tensiones en las direcciones de la base ortogonal cilíndrica {\(\vec g_{ρ}\), \(\vec g_{\theta}\), \(\vec g_{z}\)}. | ||
| + | Para ello, multiplicamos escalarmente la matriz sigma por el vector \(\vec g_{i}\) por ambos lados: tensión normales en dirección i = \(\vec g_{i}\) * σ * \(\vec g_{i}\) | ||
| + | a) dirección \(\vec g_{\rho}\): (1,0,0)*σ*(1,0,0) = <math>(ρ-3/8+1/(8ρ^2))sinθ </math> | ||
| + | |||
| + | b) dirección \(\vec g_{\theta}\)/ρ: (0,1,0)*σ*(0,1,0) = <math>(ρ/2-3/8-1/(8ρ^2 ))sinθ</math> | ||
| + | |||
| + | c) dirección \(\vec g_{z}\): (0,0,1)*σ*(0,0,1) = <math>0</math> | ||
| + | |||
| + | Representamos las tensiones primero en 2D y, posteriormente en 3D en las dos direcciones en las que existen tensiones. | ||
| + | [[Archivo:A8-9.jpg|500px|marco|derecha|Representación de las tensiones en las direcciones rho y sigma]] | ||
| + | {{matlab|codigo= | ||
| + | r=1:0.1:2; | ||
| + | t=0:0.1:pi; | ||
| + | [rr,tt]=meshgrid(r,t); | ||
| + | clf | ||
| + | subplot(1,2,1); | ||
| + | xx=rr.*cos(tt); | ||
| + | yy=rr.*sin(tt); | ||
| + | a=(rr-3/8+1./(8*rr.^2)).*sin(tt); %elemento (1,1) de la matriz sigma | ||
| + | b=(rr/2-3/8-1./(8.*rr.^2)).*sin(tt); | ||
| + | surf(xx,yy,a) | ||
| + | axis equal | ||
| + | view(2) | ||
| + | colorbar | ||
| + | subplot(1,2,2); %elemento (2,2) de la matriz sigma | ||
| + | surf(xx,yy,b) | ||
| + | axis equal | ||
| + | view(2) | ||
| + | colorbar | ||
| + | }} | ||
[[Categoría:Teoría de Campos]] | [[Categoría:Teoría de Campos]] | ||
[[Categoría:TC20/21]] | [[Categoría:TC20/21]] | ||
Revisión del 10:59 2 dic 2020
| Trabajo realizado por estudiantes | |
|---|---|
| Título | Deformaciones de un semianillo circular en 2-D. Grupo 8-A |
| Asignatura | Teoría de Campos |
| Curso | 2020-21 |
| Autores | Victoria Elena Cedillo García, María Cristina Pérez-Pozuelo López, Ángela Masiel Zaragoza Paredes |
| Este artículo ha sido escrito por estudiantes como parte de su evaluación en la asignatura | |
En el siguiente artículo procederemos a analizar las deformaciones que sufre la placa bajo la acción de la temperatura y las fuerzas.
Contenido
1 Visualización de la placa
Para comenzar se representará los puntos interiores de una placa plana con forma de semianillo circular con radios 1 y 2.
h= 0.1; %Paso de muestreo
%Usamos coordenadas cilíndricas
r= 1:h:2;
tetha= 0:h:pi;
[rr,tt]= meshgrid(r,tetha); %Mallado
%Parametrizamos en cartesianas
x=rr.*cos(tt);
y=rr.*sin(tt);
clf %borramos las posibles gráficas que hubiera
mesh(x,y,0*x); %Visualización de la placa
view(2)
axis ([-3,3,-1,3])
2 Distribución de temperaturas del sólido
En el siguiente apartado se representará la temperatura del sólido mediante tintas hipsométricas y se deducirá el punto en el que esta es máxima. La distribución de temperaturas en cada punto del sólido viene dada por el campo escalar: [math]\ (T(x,y)=exp({-x^2+y^2-1})[/math]
h= 0.1; %paso de muestreo
%usamos coordenadas polares
r= 1:h:2;
tetha= 0:h:pi;
[rr,tt]= meshgrid(r,tetha); %mallado
%parametrizamos en cartesianas
x=rr.*cos(tt);
y=rr.*sin(tt);
clf
%campo temperatura (en cartesianas)
T=exp(-x.^2+y.^2-1); %campo escalar de temperatura
subplot(1,2,1) %Dividimos la pantalla en dos
surf(x,y,T) %representamos el campo escalar de temperaturas
view(2)
axis ([-3,3,-1,3])
colorbar %mostramos la escala
subplot(1,2,2) %escribimos en la segunda pantalla
contour(x,y,T,60) %lineas de nivel
colorbar %mostramos las escala
axis ([-3,3,-1,3])Como se puede observar en la primera gráfica, la temperatura alcanza su apogeo en el punto (0,2), donde el color es más cálido. Esto también se puede apreciar en la segunda gráfica ya que hay mayor proximidad entre las curvas.
3 Estudio del gradiente de temperaturas
A continuación, se estudiará la dirección de máximo crecimiento de la temperatura, es decir, el gradiente, comprobando que este sea ortogonal a las curvas de nivel del apartado anterior. [math]grad T = -2x.exp(-x^2+y^2-1)\vec i\ + 2y.exp(-x^2+y^2-1)\vec j\ [/math]
h= 0.1; %paso de muestreo
%usamos coordenadas polares
r= 1:h:2;
tetha= 0:h:pi;
[rr,tt]= meshgrid(r,tetha); %mallado
%parametrizamos en cartesianas
x=rr.*cos(tt);
y=rr.*sin(tt);
T=exp(-x.^2+y.^2-1); %campo escalar de temperatura
figure
hold on
contour(x,y,T,40) %lineas de nivel
colorbar % mostramos las escala
axis ([-3,3,-1,3])
%gradiente temperatura (en cartesianas)
tx=inline('-2*x.*exp(-x.^2+y.^2-1)','x','y'); %derivada parcial respecto de x
ty=inline('2*y.*exp(-x.^2+y.^2-1)','x','y'); %derivada parcial respecto de y
TX=tx(x,y);
TY=ty(x,y);
h= quiver(x,y,TX,TY); %representamos el campo vectorial
axis ([-3,3,-1,3])
set(h,'maxheadsize',0.33) %cambiamos formato flechas
4 9 Tensiones normales
A continuación, analizaremos las tensiones a las que se ve sometida la placa, estas vienen definidas, en un medio elástico lineal, isótropo y homogéneo, por el tensor:
σ(x,y)=λ∇.u.1 + 2με
Siendo ε la parte simétrica del ∇\(\vec u\) y λ y μ los coeficientes de Lamé que varían en función del material y que en este caso son ambos de valor 1. Las tensiones pueden producirse en cualquier dirección del espacio, pero puesto que, como se observa en la matriz el término asociado a \(\vec g_{z}\) es 0 no existen tensiones en dicha dirección.
Pese a que los desplazamientos se realizan en el plano, las tensiones no tienen por qué ser planas, y se puede representar en las tres direcciones del espacio. Puesto que estamos empleando coordenadas cilíndricas, se representan las tensiones en las direcciones de la base ortogonal cilíndrica {\(\vec g_{ρ}\), \(\vec g_{\theta}\), \(\vec g_{z}\)}. Para ello, multiplicamos escalarmente la matriz sigma por el vector \(\vec g_{i}\) por ambos lados: tensión normales en dirección i = \(\vec g_{i}\) * σ * \(\vec g_{i}\)
a) dirección \(\vec g_{\rho}\): (1,0,0)*σ*(1,0,0) = [math](ρ-3/8+1/(8ρ^2))sinθ [/math]
b) dirección \(\vec g_{\theta}\)/ρ: (0,1,0)*σ*(0,1,0) = [math](ρ/2-3/8-1/(8ρ^2 ))sinθ[/math]
c) dirección \(\vec g_{z}\): (0,0,1)*σ*(0,0,1) = [math]0[/math]
Representamos las tensiones primero en 2D y, posteriormente en 3D en las dos direcciones en las que existen tensiones.
r=1:0.1:2;
t=0:0.1:pi;
[rr,tt]=meshgrid(r,t);
clf
subplot(1,2,1);
xx=rr.*cos(tt);
yy=rr.*sin(tt);
a=(rr-3/8+1./(8*rr.^2)).*sin(tt); %elemento (1,1) de la matriz sigma
b=(rr/2-3/8-1./(8.*rr.^2)).*sin(tt);
surf(xx,yy,a)
axis equal
view(2)
colorbar
subplot(1,2,2); %elemento (2,2) de la matriz sigma
surf(xx,yy,b)
axis equal
view(2)
colorbar