Diferencia entre revisiones de «Usuario:Grupo 4»
(→Estudio de la velocidad en función del factor de forma f(η)) |
(→Estudio de la velocidad en función del factor de forma f(η)) |
||
| Línea 274: | Línea 274: | ||
[[Archivo:4.1..png|marco|izquierda]] | [[Archivo:4.1..png|marco|izquierda]] | ||
<br /><br /> | <br /><br /> | ||
| − | <br /> | + | <br /><br /> |
| + | |||
<br /> | <br /> | ||
Revisión del 02:06 28 abr 2016
| Trabajo realizado por estudiantes | |
|---|---|
| Título | Fluido por encima de una placa plana. Grupo 4 |
| Asignatura | Ecuaciones Diferenciales |
| Curso | Curso 2015-16 |
| Autores | Ruben Martos López, Guillermo Megino León, Silviu Popa Alejandro Sistac Ara, |
| Este artículo ha sido escrito por estudiantes como parte de su evaluación en la asignatura | |
Contenido
1 Introducción.
En el trabajo que nos ocupa se va a estudiar la capa límite de un fluido laminar sobre una placa plana. todo esto se va a efectuar mediante métodos numéricos ayudados con el programa MATLAB.
Para resolver el problema tomaremos que la placa ocupa la semirrecta "y=0" estudiando lo que ocurre por encima de la misma, es decir, en los puntos "(x,y) con x>0 y y>0". Antes de llegar a la placa, el fluido mantiene una velocidad constante:
con "u0=2",al igual que una vez superada. En cambio en los puntos de la placa la velocidad será nula existiendo también una zona de transición. En esa zona la corriente del fluido "ψ(x,y)" viene dada por la función "ψ" y siendo "η":
donde la viscosidad del fluido "ν" será (ν=1) y "f" satisface la ecuación de Blasius:
Las condiciones iniciales serán: f(0)=f'(0)=0 y:
El campo de velocidades del fluido viene dado por:
A continuación resolveremos la Ecuación de Blasius con las condiciones iniciales dadas mediante el uso de métodos numéricos buscando a su vez el valor inicial óptimo de la segunda derivada del factor de forma "k".
2 Resolución numérica del problema.
2.1 Resolución mediante Euler modificado.
clc
clear all
%Datos iniciales
%Numero de ecuaciones
ne=3;
%Tiempo inicial
t0=0;
%Tiempo final
tn=20;
%Tamaño del salto
h=0.05;
%Numero de elementos
N=round((tn-t0)/h);
%Determinacion del vector t
t=linspace(t0,tn,N+1);
%Vector k, valor inicial de f(3)
k0=0.1;
kf=1;
k=k0:0.01:kf;
G=length(k);
%Sistema de ecuaciones
w=inline('[f(2);f(3);-1/2*f(1)*f(3)]','t','f');
f=zeros(ne,N+1);
%Resolucion
for j=1:G
f0=[0 0 k(j)];
f(:,1)=f0;
for i=1:N
K1=w(t(i),f(:,i));
t(i)=t(i)+h/2;
z(:,i)=f(:,i)+K1*h/2;
f(:,i+1)=f(:,i)+h*w(t(i),z(:,i));
end
Y(j)=f(2,end);
end
hold on
plot(k,Y)
legend('f´(20)')
xlabel('k')
ylabel('f´(20)')
title('Representación de f(20)´ para los posibles k')
hold off
for q=1:G
a(q)=abs(Y(q)-1);
end
l=min(a);
for q=1:G
b(q)=abs(Y(q)-1);
if min(b)==l
k(q)
break
end
Parametro de k para el cual f'(20) se acerca mas a 1 es k=0.33
2.2 Resolución mediante Runge-Kutta de orden 4.
clc
clear all
%Datos iniciales
%Numero de ecuaciones
ne=3;
%Tiempo inicial
t0=0;
%Tiempo final
tn=20;
%Tamaño del salto
h=0.05;
%Numero de elementos
N=round((tn-t0)/h);
%Determinacion del vector t
t=linspace(t0,tn,N+1);
%Vector k, valor inicial de f(3)
k0=0.1;
kf=1;
k=k0:0.01:kf;
G=length(k);
%Sistema de ecuaciones
w=inline('[f(2);f(3);-1/2*f(1)*f(3)]','t','f');
f=zeros(ne,N+1);
%Resolucion
for j=1:G
f0=[0 0 k(j)];
f(:,1)=f0;
for i=1:N
K1=w(t(i),f(:,i));
t(i)=t(i)+h/2;
z(:,i)=f(:,i)+K1*h/2;
K2=w(t(i),z(:,i));
v(:,i)=f(:,i)+K2*h/2;
K3=w(t(i),v(:,i));
c(:,i)=f(:,i)+K3*h;
K4=w(t(i)-h/2,c(:,i));
f(:,i+1)=f(:,i)+(h/6)*(K1+2*K2+2*K3+K4);
end
Y(j)=f(2,end);
end
hold on
plot(k,Y,'r')
legend('f´(20)')
xlabel('k')
ylabel('f´(20)')
title('Representación de f(20)´ para los posibles k')
hold off
for q=1:G
a(q)=abs(Y(q)-1);
end
l=min(a);
for q=1:G
b(q)=abs(Y(q)-1);
if min(b)==l
k(q)
break
end
Parametro de k para el cual f'(20) se acerca mas a 1 es k=0.33
2.3 Resolución mediante Euler.
clc
clear all
%Datos iniciales
%Numero de ecuaciones
ne=3;
%Tiempo inicial
t0=0;
%Tiempo final
tn=20;
%Tamaño del salto
h=0.05;
%Numero de elementos
N=round((tn-t0)/h);
%Determinacion del vector t
t=linspace(t0,tn,N+1);
%Vector k, valor inicial de f(3)
k0=0.1;
kf=1;
k=k0:0.01:kf;
G=length(k);
%Sistema de ecuaciones
w=inline('[f(2);f(3);-1/2*f(1)*f(3)]','t','f');
f=zeros(ne,N+1);
%Resolucion
for j=1:G
f0=[0 0 k(j)];
f(:,1)=f0;
for i=1:N
f(:,i+1)=f(:,i)+h*w(t(i),f(:,i));
end
Y(j)=f(2,end);
end
hold on
plot(k,Y)
legend('f´(20)')
xlabel('k')
ylabel('f´(20)')
title('Representación de f(20)´ para los posibles k')
hold off
for q=1:G
a(q)=abs(Y(q)-1);
end
l=min(a);
for q=1:G
b(q)=abs(Y(q)-1);
if min(b)==l
k(q)
q
break
end
end
2.4 Comparativa y elección de k
3 Interpretación de la derivada de la función de forma f(η)
clc
clear all
%Datos iniciales
%Numero de ecuaciones
ne=3;
%Tiempo inicial
t0=0;
%Tiempo final
tn=20;
%Tamaño del salto
h=0.05;
%Numero de elementos
N=round((tn-t0)/h);
%Determinacion del vector t
t=linspace(t0,tn,N+1);
%Vector k, valor inicial de f(3)
k0=0.1;
kf=1;
k=k0:0.01:kf;
G=length(k);
%Sistema de ecuaciones
w=inline('[f(2);f(3);-1/2*f(1)*f(3)]','t','f');
f=zeros(ne,N+1);
%Resolucion
f0=[0 0 k(24)];
f(:,1)=f0;
for i=1:N
K1=w(t(i),f(:,i));
t(i)=t(i)+h/2;
z(:,i)=f(:,i)+K1*h/2;
K2=w(t(i),z(:,i));
v(:,i)=f(:,i)+K2*h/2;
K3=w(t(i),v(:,i));
c(:,i)=f(:,i)+K3*h;
K4=w(t(i)-h/2,c(:,i));
f(:,i+1)=f(:,i)+(h/6)*(K1+2*K2+2*K3+K4);
end
O=ones(1,N+1);
plot(t,f(2,:))
for j=1:N+1
if abs(f(2,j)-O)<0.01
t(j)
j
break
end
end
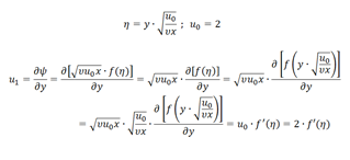
4 Estudio de la velocidad en función del factor de forma f(η)
4.1 Resolución numérica y representación gráfica de la componente U1 del campo de velocidades
clc
clear all
%Datos iniciales
ne=3;
h=0.05;
x=[0.05 0.2 0.4 0.6 0.8];
y0=0;
yn=3;
y=y0:h:yn;
P=length(y);
N=round((yn-y0)/h);
w=inline('[f(2);f(3);-1/2*f(1)*f(3)]','t','f');
f=zeros(ne,N+1);
for j=1:length(x)
H2=h*sqrt(2/x(j));
f0=[0 0 0.33];
f(:,1)=f0;
for i=1:N
t(i)=y(i)*sqrt(2/x(j))+H2/2;
K1=w(t(i),f(:,i));
q(:,i)=f(:,i)+K1*H2/2;
f(:,i+1)=f(:,i)+H2*w(t(i),q(:,i));
end
Z(j,:)=f(2,:);
hold on
plot(y,2*Z(j,:))
hold off
end
4.2 Observaciones
5 Representación gráfica e interpretación del borde de la capa limite
clc
clear all
x0=0;
xn=10;
h=0.05;
x=x0:h:xn;
eta=5.225;
for i=1:length(x)
y(i)=eta*sqrt(x(i)/2);
end
plot(x,y);

