Diferencia entre revisiones de «Nivel piezométrico en acuífero confinado-Grupo 12»
(→Comparación de resultados) |
(→Comparación de resultados) |
||
| Línea 295: | Línea 295: | ||
En el caso de euler explicito es peor que implito ya que dt = dx^2 /2, si dt es mayor que ese valor no va a converger. en el caso de euler implicito si | En el caso de euler explicito es peor que implito ya que dt = dx^2 /2, si dt es mayor que ese valor no va a converger. en el caso de euler implicito si | ||
| − | [[Archivo:Ejercicio6grupo12.jpg|center| | + | [[Archivo:Ejercicio6grupo12.jpg|center|500px]] |
== Estado estacionario y recuperación del acuífero == | == Estado estacionario y recuperación del acuífero == | ||
Revisión del 00:19 20 may 2014
| Trabajo realizado por estudiantes | |
|---|---|
| Título | Nivel piezométrico en acuífero confinado. Grupo 12-B |
| Asignatura | Ecuaciones Diferenciales |
| Curso | Curso 2013-14 |
| Autores | Irene Tomás del Barco, Sarah Boufounas, Daniel Antonio Rodríguez Sarmiento, Mar González Ormeño |
| Este artículo ha sido escrito por estudiantes como parte de su evaluación en la asignatura | |
El contenido de este artículo plantea la situación del nivel piezométrico, definido como la altura que alcanzaría el agua al realizar un sondeo en un punto de un acuífero confinado entre dos capas de terreno horizontales impermeables al construirse un pozo, de sección circular y radio [math]\rho _{0} [/math] ,provocando que el nivel piezométrico cambie. Las ecuaciones empleadas para el estudio son la ecuación de conservación de la masa junto con la ley de Darcy, que es una ley experimental que modela el flujo de agua en un medio poroso, estableciendo que el flujo de agua [math] q [/math] es proporcional a la diferencia de presión. La ley de Darcy nos proporciona una buena aproximación del comportamiento del agua en un medio poroso siempre que éste sea homogéneo e isótropo.
Contenido
1 Interpretación
1.1 Hipótesis iniciales
El análisis que sigue es de aplicación al caso de pozos aislados que penetran totalmente el acuífero por lo que el derrame es horizontal. Los supuestos de partida son los siguientes:
- El acuífero es extensivo, homogéneo e isótropo por lo que se cumple la ley de Darcy.
- El acuífero es un medio poroso saturado de agua, ocupando una región infinita y en equilibrio, por tanto [math] h(x,y)= h_{0} [/math] constante para todo [math](x,y)[/math].
- La pérdida de carga de entrada al pozo es despreciable.
- El acuífero se asienta sobre una superficie horizontal.
- El nivel piezométrico antes del bombeo es (casi) horizontal.
- El caudal extraído del acuífero se produce al mismo tiempo que el descenso del nivel piezométrico.
- La sección transversal que atraviesa el agua permanece constante (el espesor del acuífero es constante).
- El flujo de agua tiene simetría radial.
Un pozo perfora totalmente un acuífero confinado. La situación inicial al bombeo se corresponde a un régimen hidrostático cuyo límite superior es el nivel piezométrico [math] h_\rho [/math]. Una vez que se comienza el bombeo se produce una depresión en dicho nivel de las zonas próximas al pozo, que disminuye gradualmente al aumentar la distancia a éste. La presencia del pozo hace que el nivel piezométrico cambie, definido este nivel, [math] h(x,y)[/math], por la altura que alcanzaría el agua al realizar un sondeo en el punto [math](x,y)[/math],por tanto va a depender únicamente de la distancia a dicha excavación debido a la simetría del problema.
El descenso del nivel piezométrico origina un gradiente hidráulico hacia el pozo que hace que el acuífero suministre el caudal q elevado por la bomba. La velocidad del agua es proporcional a dicho gradiente por lo que la superficie libre adopta una forma acampanada cuya pendiente se incrementa en la proximidad al mismo.
1.2 Ecuaciones y parámetros
Si tomamos coordenadas cilíndricas de manera que OZ coincide con el eje de simetría del pozo, [math]\ h = h_\rho [/math] donde [math] \rho [/math] [math] = \sqrt{x^2\; +\; y^2\;} [/math] . Trabajamos por tanto en coordenadas polares en el plano [math](\rho ,\theta) [/math].
La primera ecuación con la que podemos determinar [math]\ h = h_\rho [/math] es la de conservación de la masa:
:[math] S ·\frac{ \partial h }{ \partial t } + div q = 0[/math]
siendo S el almacenamiento específico, que expresa la masa de agua extraída (o almacenada) por unidad de volumen de acuífero cuando desciende el nivel piezométrico [math] h [/math].
Para conocer completamente [math]\ h = h_\rho [/math] hace falta combinar con una segunda ecuación la de la conservación de la masa , que en este caso es la que explica la ley de Darcy:
:[math] q = - K ·\nabla h [/math]
siendo K la permeabilidad o conductividad hidraulica y deducida para cada material experimentalmente. El flujo de agua que provoca un cambio de presión será mayor, cuanto mayor sea K.
Combinando ambas ecuaciones tenemos como resultado:
[math] \frac{ \partial h }{ \partial t } - D · \Delta h = 0, \qquad \; \rho \gt \rho _{0}[/math] [math] \frac{ \partial h }{ \partial t } - D · \Delta h = 0 [/math] [math]\qquad [/math] siendo [math] \qquad [/math] [math] D=\frac{k}{s} \qquad \;[/math] la difusividad hidráulica que la suponemos constante.
En un caso general , la [math]h[/math] dependería de [math]\rho[/math] y [math]\theta[/math]. Por la definición del Laplaciano, esto quedaría como:
[math]\Delta h(\rho,\theta) = (\frac{\partial ^2 h}{\partial \rho^2}+ \frac{1}{\rho}·\frac{\partial h}{\partial \rho}+\frac{\partial^2 h}{\partial \theta^2}) [/math]
Esta ecuación también se puede obtener si hallamos la divergencia del gradiente de h. Lo primero para hallar q es el gradiente de h (formula gradiente), por tanto q es un campo vectorial. Si se quiere introducir en la ecuación de conservación de la masa, podríamos sustituir el valor de q obtenido dentro de la fórmula que nos obligaría a realizar la divergencia de dicho campo vectorial. Con esto obtendríamos la misma ecuación. Un vez hecho esto para [math]\rho \gt[/math] [math]\rho _{0}[/math] la ecuación diferencial sería:
:[math] \frac{ \partial h }{ \partial t } - D·(\frac{\partial ^2 h}{\partial \rho^2}+ \frac{1}{\rho}·\frac{\partial h}{\partial \rho}+\frac{\partial^2 h}{\partial \theta^2})= 0[/math]
Como queremos imponer que nuestra solución sea radial, obligamos a que [math]h[/math] dependa únicamente de [math]\rho[/math] , por tanto su derivada con respecto a [math]\theta[/math] es igual a cero. La segunda por consiguiente también. Teniendo en cuenta todo esto, obtenemos la siguiente ecuación:
(1):[math]\frac{\partial h}{\partial t}- D·(\frac{\partial ^2 h}{\partial \rho^2}+ \frac{1}{\rho}·\frac{\partial h}{\partial \rho}) = 0[/math]
Ciñéndonos a una región finita, [math]\rho\in (\rho_{0},20)[/math], y considerando que la altura del pozo se mantiene constante [math]h_{p}[/math], la solución de nuestra ecuación (1) requiere dos condiciones de contorno que para este caso, se han propuesto de tipo Dirichlet (valor de la variable preescrito):
- [math]h(\rho _{0},t) = h _{\rho} \quad \quad h(20,t) = h _{0}[/math]
Debido al carácter transitorio del problema se necesita una condición inicial, que implica al tiempo dado en un instante inicial [math]t = 0[/math] y que haga referencia al estado del nivel piezométrico [math]h_{0}[/math], antes de ejecutar la excavación del pozo, es decir [math]h(\rho,0) = h _{0}[/math]. Así para completar el sistema imponemos esa condición inicial para que nuestro problema tenga una única solución. Teniendo en cuenta todo lo anterior el sistema será el siguiente:
\[\left\{\begin{matrix}\ \frac{\partial h}{\partial t}- D·(\frac{\partial ^2 h}{\partial \rho^2}+ \frac{1}{\rho}·\frac{\partial h}{\partial \rho})=0 , & \\ h(\rho _{0},t)=h _{\rho} \quad \quad h(20,t)=h _{0} & \\ h(\rho,0)=h _{0} & \end{matrix}\right.\]
2 Resolución numérica por el método de diferencias finitas
Utilizamos el método de diferencias finitas con el objetivo de aproximar la ecuación en derivadas parciales a un problema discreto cuya resolución conduce a un sistema lineal de ecuaciones en cada paso de tiempo. Este método permite tratar problemas con fronteras irregulares sin tener que definir ecuaciones especiales para cada una de estas. Además, como la ubicación nodal no se ajustar necesariamente a una malla regular, es posible ubicar con precisión las extracciones y discontinuidades de entorno y del propio acuífero. Los resultados de estas simulaciones permitieron demostrar la utilidad de este método para tratar geometrías complejas y distribuciones irregulares de extracciones y definir el patrón natural de flujo y las alteraciones ocasionadas por las extracciones, así como su influencia en los niveles piezométricos.
Suponemos para nuestro problema un [math]\rho_{0}= 1[/math] m, [math]h_{0}= 40[/math] m, [math]h_{p}= 35[/math], [math] D = 0.1[/math], [math]h(\rho,0)= h_{0}[/math] y el tiempo medido en horas.
2.1 Método del trapecio
Plantearemos el problema primero por el método del trapecio, tomando un [math]\Delta \rho = 0.1 [/math] y un [math]\Delta t = \Delta \rho [/math], dado lugar a la siguiente resolución numérica
clear all
clc
L=20;
T=500;
D=0.01;
hp=35;
ho=40;
dx=1/10;
x0=1;
x=x0:dx:L;
xint=x0+dx:dx:L-dx;
N=length(x)-2;
K=(1/dx^2)*(diag(2*ones(1,N))-diag(ones(1,N-1),1)-diag(ones(1,N-1),-1));
A=(1/(dx*2))*(diag(ones(1,N-1),1)-diag(ones(1,N-1),-1));
A=diag(1./xint)*A;
h0=(40*ones(N,1));
dt=dx;
t=0:dt:T;
M=length(t)-1;
F=(zeros(N,1));
F(1)=D*((hp/dx^2)-(hp/(2*dx)*1/xint(1)));
F(N)=D*((ho/dx^2)+ho/(dx*2*xint(N)));
sol1(1,:)=[40;h0;40]';
h=h0;
for n=1:M
h=(((eye(N)-(dt*D)*(K-A)))*h+(dt)*(F));
sol1(n+1,:)=[35 h' 40];
end
[xx,tt1]=meshgrid(x,t);
subplot(1,2,1);
surf(xx,tt1,sol1)
title('Nivel piezométrico en función del tiempo y la distancia');
ylabel('Tiempo');
xlabel('Distancia');
zlabel('Nivel piezométrico')
%Vario el valor de T
L=20;
T=4;
D=0.01;
hp=35;
ho=40;
dx=1/10;
x0=1;
x=x0:dx:L;
xint=x0+dx:dx:L-dx;
N=length(x)-2;
K=(1/dx^2)*(diag(2*ones(1,N))-diag(ones(1,N-1),1)-diag(ones(1,N-1),-1));
A=(1/(dx*2))*(diag(ones(1,N-1),1)-diag(ones(1,N-1),-1));
A=diag(1./xint)*A;
h0=(40*ones(N,1));
dt=dx;
t=0:dt:T;
M=length(t)-1;
F=(zeros(N,1));
F(1)=D*((hp/dx^2)-(hp/(2*dx)*1/xint(1)));
F(N)=D*((ho/dx^2)+ho/(dx*2*xint(N)));
sol2(1,:)=[40;h0;40]';
h=h0;
for n=1:M
h=(((eye(N)-(dt*D)*(K-A)))*h+(dt)*(F));
sol2(n+1,:)=[35 h' 40];
end
[xx,tt2]=meshgrid(x,t);
subplot(1,2,2);
surf(xx,tt2,sol2)
title('Nivel piezométrico en función del tiempo y la distancia');
ylabel('Tiempo');
xlabel('Distancia');
zlabel('Nivel piezométrico')
pause
plot(sol1(:,21));
title('Nivel piezométrico en función del tiempo para radio 2');
xlabel('Tiempo');
ylabel('Nivel piezométrico');
La gráfica que obtenemos es la siguiente
En el primer caso, hemos tomado un tiempo [math] T = 4 [/math](gráfica derecha). Por lo que podemos comprobar, para un tiempo tan pequeño no se aprecia con precisión y claridad el desarrollo y la variación del nivel piezométrico en función del tiempo y la distancia. En el caso de la izquierda, hemos incrementado nuestro valor de [math] T [/math] a [math] T = 500 [/math], por lo que se comprueba como va variando dicho nivel de una manera más clara al tener un paso de tiempo mayor. Como consecuencia nuestra gráfica aparece de color negro, ya que el mallado es muy pequeño debido a que nuestra dx que nos viene impuesta es demasiado pequeña y el tiempo [math] T [/math] aplicado es muy grande.
2.2 Método de Euler
2.2.1 Euler explícito
A continuación se muestra el programa usado para la resolución numérica de nuestro problema mediante el método de Euler explícito, utilizando los mismo datos inciales que en el problema resuleto por el método del trapecio
%ht-D*(hxx+hx/x)=0
%h(0,t)=hp
%h(L,t)=ho
%h(x,0)=ho
clear all
clc
L=20;
T=500;
D=0.01;
hp=35;
ho=40;
dx=1/10;
x0=1;
x=x0:dx:L;
xint=x0+dx:dx:L-dx;
N=length(x)-2;
K=(1/dx^2)*(diag(2*ones(1,N))-diag(ones(1,N-1),1)-diag(ones(1,N-1),-1));
A=(1/(dx*2))*(diag(ones(1,N-1),1)-diag(ones(1,N-1),-1));
A=diag(1./xint)*A;
h0=(40*ones(N,1));
dt=dx;
t=0:dt:T;
M=length(t)-1;
F=(zeros(N,1));
F(1)=D*((hp/dx^2)-(hp/(2*dx)*1/xint(1)));
F(N)=D*((ho/dx^2)+ho/(dx*2*xint(N)));
sol(1,:)=[40;h0;40]';
h=h0;
for n=1:M
h=(((eye(N)-(dt*D)*(K-A)))*h+(dt)*(F));
sol(n+1,:)=[35 h' 40];
end
[xx,tt]=meshgrid(x,t);
surf(xx,tt,sol)
title('Nivel piezométrico en función del tiempo y la distancia');
ylabel('Tiempo');
xlabel('Distancia');
zlabel('Nivel piezométrico')
pause
plot(sol(:,21));
title('Nivel piezométrico en función del tiempo para radio 2');
xlabel('Tiempo');
ylabel('Nivel piezométrico');
La gráfica resultante es:
2.2.2 Euler implícito
En el caso de Euler implícito nuestro programa es:
%ht-D*(hxx+hx/x)=0
%h(0,t)=hp
%h(L,t)=ho
%h(x,0)=ho
clear all
clc
L=20;
T=500;
D=0.01;
hp=35;
ho=40;
dx=1/10;
x0=1;
x=x0:dx:L;
xint=x0+dx:dx:L-dx;
N=length(x)-2;
K=(1/dx^2)*(diag(2*ones(1,N))-diag(ones(1,N-1),1)-diag(ones(1,N-1),-1));
A=(1/(dx*2))*(diag(ones(1,N-1),1)-diag(ones(1,N-1),-1));
A=diag(1./xint)*A;
h0=(40*ones(N,1));
dt=dx;
t=0:dt:T;
M=length(t)-1;
F=(zeros(N,1));
F(1)=D*((hp/dx^2)-(hp/(2*dx)*1/xint(1)));
F(N)=D*((ho/dx^2)+ho/(dx*2*xint(N)));
sol(1,:)=[40;h0;40]';
h=h0;
for n=1:M
h=(eye(N)+(dt*D)*(K-A))\(h+(dt)*(F));
sol(n+1,:)=[35 h' 40];
end
[xx,tt]=meshgrid(x,t);
surf(xx,tt,sol)
title('Nivel piezométrico en función del tiempo y la distancia');
ylabel('Tiempo');
xlabel('Distancia');
zlabel('Nivel piezométrico')
pause
plot(sol(:,21));
title('Nivel piezométrico en función del tiempo para radio 2');
xlabel('Tiempo');
ylabel('Nivel piezométrico');
Como resultado obtenemos la gráfica siguiente:
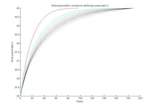
2.3 Comparación de resultados
Las gráficas al ser idénticas debido al pequeño intervalo de tiempo, no permite que descienda el nivel piezometrico y se diferencien unas de otras.
Necesitariamos un intervalo mayor para poder ver mejor las soluciones porque al ponerlo se superponen
En el caso de euler explicito es peor que implito ya que dt = dx^2 /2, si dt es mayor que ese valor no va a converger. en el caso de euler implicito si
3 Estado estacionario y recuperación del acuífero
El nivel piezométrico a lo largo del tiempo va bajando a los puntos mas cercanos a la excavación del pozo, hasta un momento hipotético en el cual la altura piezométrica del punto más cercano a la excavación debe coincidir con la altura del nivel del agua.
Esta hipótesis, solo tomaría lugar en ese supuesto caso de tiempo infinito pero para la modelización, las pequeñas variaciones de altura piezométrica en el punto mas cercano tras el paso de mucho tiempo son ínfimos y despreciables. De ahí que pueda suponerse que en un tiempo lejano las alturas piezométricas de los puntos del terreno no varíen y se genere una situación estacionaria. Las ecuaciones que debe verificar son las de la parábola cuyo vértice se encuentre a la altura del nivel del agua dentro del pozo y al radio infinito tienda a la altura piezométrica inicial en el terreno.
Al ser el caso de un estado estacionario nuestra función no varia en función del tiempo, por tanto implica que: :[math]\frac{\partial h}{\partial t}=0 [/math]
Por consiguiente, la ecuación que se debe verificar en este estado es: :[math] D·(\frac{\partial ^2 h}{\partial \rho^2}+ \frac{1}{\rho}·\frac{\partial h}{\partial \rho})=0[/math]
3.1 Programación en Matlab
Resolvemos numéricamente el problema mediante diferencias finitas
clear all
clc
L=20;
T=5000;
D=0.01;
hp=35;
ho=40;
dx=1/10;
x0=1;
x=x0:dx:L;
xint=x0+dx:dx:L-dx;
N=length(x)-2;
K=(1/dx^2)*(diag(2*ones(1,N))-diag(ones(1,N-1),1)-diag(ones(1,N-1),-1));
A=(1/(dx*2))*(diag(ones(1,N-1),1)-diag(ones(1,N-1),-1));
A=diag(1./xint)*A;
h0=(40*ones(N,1));
dt=200;
t=0:dt:T;
M=length(t)-1;
F=(zeros(N,1));
F(1)=D*((hp/dx^2)-(hp/(2*dx)*1/xint(1)));
F(N)=D*((ho/dx^2)+ho/(dx*2*xint(N)));
sol(1,:)=[40;h0;40]';
h=h0;
for n=1:M
h=(D)*(K-A)\((F));
sol(n+1,:)=[35 h' 40];
end
[xx,tt]=meshgrid(x,t);
surf(xx,tt,sol)
title('Nivel piezométrico en función del tiempo y la distancia');
ylabel('Tiempo');
xlabel('Distancia');
zlabel('Nivel piezométrico')
pause
plot(sol(:,21));
title('Nivel piezométrico en función del tiempo para radio 2');
xlabel('Tiempo');
ylabel('Nivel piezométrico');
3.2 Gráfica
Tras haber propuesto el modelo para la solución estacionaria llegamos a la siguiente gráfica, en la que se puede comprobar que el paso del tiempo no influye en el valor del nivel piezométrico del punto, sólo la distancia. Sin embargo se observa, que para valores de tiempo corto, el hecho de que la solución y nuestro estado inicial no concuerden, nos lleva a un tramo en el cual si se aprecian variaciones en función del tiempo, dado que existe una transición bastante breve entre el estado inicial y la solución estacionaria.
4 Método de Fourier
Como consideramos despreciable el radio del pozo, diremos que [math]\rho_{0}=0[/math]. Para [math] ħ(\rho,t) = h(\rho,t) - 40 [/math], siendo la condición [math] h(20,t)=40 [/math] el sistema será:
\[\left\{\begin{matrix}\ \frac{\partial ħ}{\partial t}- D·(\frac{\partial ^2 ħ}{\partial \rho^2}+ \frac{1}{\rho}·\frac{\partial ħ}{\partial \rho})=0 & \\ \quad \quad ħ(20,t)=0,\frac{\partial h}{\partial \rho}(0,t)=0 & \\ & \end{matrix}\right.\]
Para que se cumpla la condición de diferenciabilidad en [math]\rho_{0}=0[/math] se tendrá que imponer el requesito [math]\rho'(0)=0[/math] ya que no puede haber ningún pico en dicho punto.
Teniendo en cuenta lo anterior el problema de autovalores asociado obtenido es:
[math]\frac{\partial ħ}{\partial t}- D·(\frac{\partial ^2 ħ}{\partial \rho^2}+ \frac{1}{\rho}·\frac{\partial ħ}{\partial \rho})=0 \ltbr /\gt \qquad \; ħ_{t}-D·(ħ_{\rho\rho}-\frac{1}{\rho}·ħ_{\rho})=0[/math], es decir, [math]T'(t)· R(\rho) - D·(R''(\rho)·T(t)+ \frac{1}{\rho}· R'(\rho)·T(t))=0[/math] [math] \qquad \; [/math] [math]T'(t)·R(\rho)=T(t)·D·(R''(\rho)+\frac{1}{\rho}·R(\rho))[/math] [math] \qquad [/math] [math]\frac{T'(t)}{T(t)}= - λ =\frac{D}{\rho}·(R''(\rho)+\frac{1}{\rho}·R'(\rho))[/math] \[\left\{\begin{matrix}\ T'(t)+ λ·T(t)= 0 & \\ \quad R(\rho)+ \frac{1}{\rho}·R'(\rho)+ λ· \frac{\rho}{D}=0& \end{matrix}\right.\]
