Diferencia entre revisiones de «Circuitos Eléctricos RL (18B)»
| Línea 342: | Línea 342: | ||
Si comparamos la gráficas para diferentes valores de la resistencia \(R_3\) podemos observar: | Si comparamos la gráficas para diferentes valores de la resistencia \(R_3\) podemos observar: | ||
| − | # La intensidad \(i_1\) que recorre el circuito disminuye según la ley | + | # La intensidad \(i_1\) que recorre el circuito disminuye según la ley de Ohm. |
| − | # El valor de \(i_3\) | + | # El valor de \(i_3\) dismuye mientras \(i_2\) aumenta al elevar el valor de \(R_3\). |
| − | # | + | # Se puede observar tambien que la estabilizacion de ambas intensidades \(i_2\) e \(i_3\) se consigue a un tiempo mayor. |
| − | + | ||
==Valores iniciales de las intensidades== | ==Valores iniciales de las intensidades== | ||
| Línea 356: | Línea 355: | ||
L2 =0.11; | L2 =0.11; | ||
t0=-0.02; | t0=-0.02; | ||
| + | %Consideramos tN negativo como artificio de cálculo. | ||
tN=0; | tN=0; | ||
N=10000; | N=10000; | ||
Revisión del 23:25 5 mar 2014
| Trabajo realizado por estudiantes | |
|---|---|
| Título | Circuitos eléctricos \(R\)-\(L\) (Grupo 18) |
| Asignatura | Ecuaciones Diferenciales |
| Curso | Curso 2013-14 |
| Autores | • Arantxa Abascal Colomar • Patricia Fernández Aibar • Paula Lacanal Cuadrado • David Ortiz Liriano • Álvaro Pintor Sousa • Alberto Rodríguez Fernández |
| Este artículo ha sido escrito por estudiantes como parte de su evaluación en la asignatura | |
Contenido
1 Introducción
El circuito eléctrico \(R\)-\(L\) más simple se compone de de una resistencia [math]R[/math], un inductor o bobina [math]L[/math] y una fuente de alimentación.
- En una resistencia [math]R[/math], la Ley de Ohm establece que:
[math]i(t)={v(t)\over R}[/math] siendo [math]i(t)[/math] la intensidad de corriente en amperios ([math]A[/math]), [math]v(t)[/math] el voltaje en voltios ([math]V[/math]) y [math]R[/math] el coeficiente de resistencia en ohmios ([math]Ω[/math]).
- En un inductor [math]L[/math], la Ley de Faraday indica que:
[math]v(t)=L {d\over dt} i(t)[/math] donde [math]L[/math] es el coeficiente de autoinducción en henrios ([math]H[/math]).
Por otro lado, las leyes de Kirchoff establecen el comportamiento de los circuitos:
- Ley de corrientes: En cada nodo, la suma de corrientes que entra es igual a la que sale.
- Ley de tensiones: En cada ciclo cerrado o malla, la suma de diferencias de potencial es nula.
2 Ley de Kirchoff de voltaje o tensiones
En el momento en el que tenemos un circuito resistencia-inductancia (\(R\)-\(L)\) cerrado (como se indica en la figura de la derecha), la ecuación diferencial, obtenida mediante la ley de Kirchoff de voltaje o tensiones, es la que sigue: [math]{d\over dt}i(t)+{R\over L}i(t)-{E(t)\over L}=0[/math]
2.1 Cálculo analítico y representación
Suponiendo la condición inicial de que en [math]t=0[/math] el circuito pasa de estar abierto a cerrado (lo cual significa que pasa de estar inactivo a tener una corriente circulante) o, lo que es lo mismo, que [math]i(0)=0[/math]; junto con las condiciones de voltaje [math]E(t)=20V[/math], inductancia [math]L=0.2H[/math] y resistencia [math]R=5Ω[/math], el cálculo analítico de la intensidad para [math]t\gt0[/math] quedará resuelto de la siguiente manera, mediante un Problema de Valor Inicial (P.V.I.) o de Cauchy:: [math]\left\{\begin{matrix}{d\over dt}i(t)+{25}i(t)-{100}=0\\\ltbr /\gt\\i(0)=0\end{matrix}\right.[/math]
La primera expresión que obtenemos de la resolución de la ecuación corresponde a:: [math]i \cdot e^{\int{\frac{R}{L}dt}} = \int{e^{\frac{R \cdot t}{L}}dt}[/math] que, tras la integreción, queda de la siguiente forma:: [math]i \cdot e^{\frac{R \cdot t}{L}} = \frac{E}{R}e^{\frac{R \cdot t}{L}}+cte[/math] Finalmente, introducimos los datos iniciales del problema resultando la expresión:: [math]i(t)=4+cte·e^{-25t}[/math] para, después, hacer uso del valor inicial \(i(0)=0\), de lo cual se obtiene como resultado final:: [math]i(t)=4-4e^{-25t}[/math] a partir del valor hallado de la constante:: [math]cte=-{E\over R}=-{20\over 5}=-4[/math]
La representación del cálculo analítico de la función de la intensidad a lo largo del tiempo, arroja información tal como que dicha función, desde el instante inicial \(t=0\) en adelante, experimenta un acusado crecimiento en los primeros instantes \(t>0\) hasta que se estabiliza en \(i(t)=4 A\), en un período de tiempo muy ajustado.
El código para obtener dicha representación en MATLAB es el siguiente:
t=[0:0.0000001:1];
i=4-4*exp(-25*t);
x=linspace(0,1,10);
y=linspace(0,5,10);
figure(1)
hold on
plot(t,i,'-r','LineWidth',3)
plot(x,y,':w')
hold off
title('Cálculo analítico')
xlabel('Tiempo (s)');
ylabel('Intensidad (A)');
2.2 Método de Euler
El método de Euler es el procedimiento de integración numérica más simple para resolver ecuaciones diferenciales ordinarias a partir de un valor inicial dado. El método se basa en la aproximación del valor de la función a la recta tangente en cada punto conocido. Para el código de MATLAB adjunto, se ha tomado un paso de discretización temporal \(h=0.0001\).
clear all
E=20;
R=5;
L=0.2;
t0=0;
tN=1;
h=0.0001;
N=(tN-t0)/h;
t=t0:h:tN;
i0=0;
it=i0;
i(1)=it;
for n=1:N
it=it+h*[E/L+(-R/L)*it];
i(n+1)=it;
end
tc=[0:0.0000001:1];
ic=4-4*exp(-25*tc);
x=linspace(0,1,10);
y=linspace(0,5,10);
figure(1)
hold on
plot(t,i,'-r','linewidth',3)
plot(tc,ic,'-c','LineWidth',1)
plot(x,y,':w')
hold off
title('Gráfica comparativa del método de Euler para h=0.0001')
xlabel('Tiempo (s)');
ylabel('Intensidad (A)');
La estabilidad del método de Euler dependerá del comportamiento de la solución numérica del mismo cuando se perturba el valor de la condición inicial. Al tratarse de un método explícito de aproximación, y estar trabajando con una función exponencial con una elevada pendiente, el paso de discretización temporal \(h\) tiene que ser muy reducido para garantizar la estabilidad del método. Al estar los puntos muy próximos entre sí, mayor será la aproximación al resultado real y menor será el error total, o lo que es lo mismo, la aproximación será más exacta.
2.3 Método del trapecio
El método o regla del trapecio es un procedimiento basado en la integración numérica, esto es, que permite calcular aproximadamente el valor de una integral definida. Su funcionamiento consiste en aproximar el valor de la integral de la función \(f(x)\) por el de la función lineal situado entre los puntos de inicio y final del intervalo de la función, aproximándolo al área de un trapecio. Una iteración nos permite hacer aproximar una integral definida con \(n\) trapecios. Este método es más exacto que el de Euler. A continuación, el código nos permite aplicar el método al problema pedido:
E=20;
R=5;
L=0.2;
t0=0;
tN=1;
N=100;
h=(tN-t0)/N;
t=t0:h:tN;
i=t*0;
i0=0;
it=i0;
i(1)=it;
for n=1:N
it=((1-(h*R)/(2*L))*it+h*E/L)/(1+((h*R)/(2*L)));
i(n+1)=it;
end
tc=[0:0.0000001:1];
ic=4-4*exp(-25*tc);
x=linspace(0,1,10);
y=linspace(0,5,10);
figure(1)
hold on
plot(t,i,'-r','linewidth',3)
plot(tc,ic,'-c','LineWidth',1)
plot(x,y,':w')
hold off
title('Gráfica comparativa del método del trapecio con L=0.2H')
xlabel('Tiempo (s)');
ylabel('Intensidad (A)');
A la vista de los resultados, podemos decir que hacer uso de la regla del trapecio en MATLAB nos permite hallar la aproximación requerida haciendo uso de un intervalo con valores mucho más alejados entre sí, ahorrando memoria en el proceso. Es decir, podemos escoger un paso de discretización temporal mucho mayor (del orden de \(h=1/100\), en este caso) y obtener, igualmente, una aproximación con la exactitud necesaria. Esto es debido a que el método del trapecio es lo que se conoce como un método implícito.
Podemos observar que, partiendo de una constante de inducción \(L=0.2H\), un aumento en dicha constante va a provocar que la intensidad se estabilice cierto tiempo después; del mismo modo que una disminución en el valor de la inducción \(L\) provocará una estabilización de la intensidad en un tiempo mucho menor.
3 Interpretación en términos de las leyes de Kirchoff
Éste es el sistema de ecuaciones diferenciales corresponde al circuito de la figura: [math]\left\{\begin{matrix}E(t)=R_1i_1(t)+L_2\frac{d}{dt}i_2(t)+R_2i_2(t)\\E(t)=R_1i_1(t)+L_1\frac{d}{dt}i_3(t)+R_3i_3(t)\\i_1(t)=i_2(t)+i_3(t)\end{matrix}\right.[/math]
Como vemos se cumplen las leyes de Kirchoff que dicen:
- En cada malla, la suma de las tensiones es igual a la tensión total que se suministra al circuito.
- La intensidad que entra en un nodo es igual a la suma de las intensidades que salen de él.
Vemos que en la primera ecuación, la tensión total esta igualada a la tensión de la malla grande, formada por \(R1, L2\) y \(R2\). A su vez la tensión total también está igualada a la malla pequeña formada por \(R1, L1\) y \(R3\). La tercera ecuación se refiere a la segunda ley de Kirchoff que dice que la intensidad que entra en un nodo es igual a la suma de las intensidades que salen de él.
Escribiendo el sistema anterior en términos de \(i_2 (t)\) y de \(i_3 (t)\) el sistema nos queda de la forma: [math]\left\{\begin{matrix}E(t)=R_1i_2(t)+R_1i_3 (t)+L_2\frac{d}{dt}i_2(t)+R_2i_2(t)\\E(t)=R_1i_2(t)+R_1i_3(t)+L_1\frac{d}{dt}i_3(t)+R_3i_3(t)\end{matrix}\right.[/math]
Para unas condiciones iniciales de \(i_2(0)=i_3(0)=0\), las intensidades que salen del nodo son iguales a cero, con lo cual la intensidad que entra en dicho nodo, que será la intensidad total en el circuito, dará cero también. Esto significa que no entra corriente en el circuito, lo que afecta a las tensiones. Dado que las tensiones son igual a \(0\), la tensión total es igual a \(0\).
4 Resolución del sistema con datos
Resolvemos el sistema de ecuaciones anterior con los datos \(R_1 = R_2 = 6, R_3 = 3, L_1 = 0.3H, L_2 = 0.11H\) y la fuente de alimentación \(E(t) = 20V\).
Vamos a resolverlo utilizando el método de Euler explícito y el método implícito del trapecio. El intervalo de tiempo considerado para el estudio es de \([0,0.4]\).
4.1 Método de Euler
%Introducimos los datos del sistema de ecuaciones diferenciales
E=20;
R1=6;
R2=6;
R3=3;
L1=0.3;
L2=0.11;
%Introducimos el intervalo de tiempo en el que vamos a evaluar nuestra ecuación
t0=0; tN=0.4;
%Creamos un vector columna que tendrá como datos la intensidad en el instante inicial
i0=[0 0]';
%Dividimos nuestro intervalo de tiempo en N subintervalos separados un paso h
N=10000; h=(tN-t0)/N;
%Reescribimos el sistema en forma matricial
X=[-(R1+R2)/L2 -R1/L2;-R1/L1 -(R1+R3)/L1];
Y=[20/L2 20/L1]';
i=i0;
i2(1)=i(1);
i3(1)=i(2);
%creamos un bucle para el calculo de las intensidades a lo largo del tiempo
%definido
for n=1:N
i=i+h*((X*i)+Y);
i2(n+1)=i(1);
i3(n+1)=i(2);
end
%creamos el vector de abcisas
x=t0:h:tN;
i1=i2+i3;
subplot(3,1,1)
plot(x,i2,'b')
subplot(3,1,2)
plot(x,i3,'g')
subplot(3,1,3)
hold on
plot(x,i2,'b')
plot(x,i3,'g')
plot(x,i1,'r')
hold off
legend('i2', 'i3', 'i1');
Podemos observar que a partir de \(t=0.15\) tienden a estabilizarse.
4.2 Método del trapecio
E=20;
R1=6;
R2=6;
R3=3;
L1=0.3;
L2=0.11;
t0=0; tN=0.4;
i0=[0 0]';
N=10000; h=(tN-t0)/N;
X=[-(R1+R2)/L2 -R1/L2;-R1/L1 -(R1+R3)/L1];
Y=[20/L2 20/L1]';
i=i0;
i2(1)=i(1);
i3(1)=i(2);
for n=1:N
i=inv(eye(2)-(h/2)*X)*((eye(2)+(h/2)*A)*i+h*Y);
i2(n+1)=i(1);
i3(n+1)=i(2);
end
x=t0:h:tN;
i1=i2+i3;
subplot(3,1,1)
plot(x,i2,'b')
subplot(3,1,2)
plot(x,i3,'g')
subplot(3,1,3)
hold on
plot(x,i2,'b')
plot(x,i3,'g')
plot(x,i1,'r')
hold off
legend('i2', 'i3', 'i1');
5 Modificación del circuito R-L
Para el circuito de la figura, el sistema obtenido aplicando las leyes de Kirchoff es el siguiente:
[math]\left\{\begin{matrix}E(t)=R_1i_1(t)+L_2{d\over dt}i_2(t)+R_2i_2(t)\\E(t)=R_1i_1(t)+L_1{d\over dt}i_3(t)+R_3i_3(t)\\i_1(t)=i_2(t)+i_3(t)\end{matrix}\right.[/math]
Vamos a resolverlo de nuevo para un valor de \(R_3 = 9Ω\) y, posteriormente, se comentarán los resultados, comparándolos con los del circuito anterior. Sustituimos los valores \(R_1 = 6Ω, R_2 = 6Ω, R_3 = 9Ω, L_1 = 0.3H, L_2= 0.11H\) y \(E(t) = 20V\).
5.1 Sistema de ecuaciones mediante Euler
E1=20;
R1=6;
R2=6;
R3=9;
L1=0.3;
L2=0.11;
t0=0;
tN=0.4;
N=10000;
h=(tN-t0)/N;
i0=[0 0]';
A=[-(R1+R2)/L2 -R1/L2;-R1/L1 -(R1+R3)/L1];
B=[E1/L2 E1/L1]';
i=i0;
i2(1)=i(1);
i3(1)=i(2);
for n=1:N
i=i+h*((A*i)+B);
i2(n+1)=i(1);
i3(n+1)=i(2);
end
x=t0:h:tN;
i1=i2+i3;
subplot(2,1,1)
plot(x,i1,'.;i1(t);r',x,i2,'.;i2(t);b')
xlabel('Tiempo');
ylabel('Intensidad');
subplot(2,1,2)
plot(x,i1,'.;i1(t);r',x,i2,'.;i2(t);b',x,i3,'.;i3(t);g')
xlabel('Tiempo');
ylabel('Intensidad');
print('-dpng','euler6.png')
5.2 Sistema de Ecuaciones mediante el método del trapecio
E1=20;
R1=6;
R2=6;
R3=9;
L1=0.3;
L2=0.11;
t0=0;
tN=0.4;
N=10000;
h=(tN-t0)/N;
i0=[0 0]';
A=[-(R1+R2)/L2 -R1/L2;-R1/L1 -(R1+R3)/L1];
B=[E1/L2 E1/L1]';
C=[1 0;0 1];
i=i0;
i2(1)=i(1);
i3(1)=i(2);
for n=1:N
i=inv(C-(h*A)/2)*((C+(h*A)/2)*i+h*B);
i2(n+1)=i(1);
i3(n+1)=i(2);
end
x=t0:h:tN;
i1=i2+i3;
subplot(2,1,1)
plot(x,i1,'.;i1(t);r',x,i2,'.;i2(t);b')
xlabel('Tiempo');
ylabel('Intensidad');
subplot(2,1,2)
plot(x,i1,'.;i1(t);r',x,i2,'.;i2(t);b',x,i3,'.;i3(t);g')
xlabel('Tiempo');
ylabel('Intensidad')
print('-dpng','trapecio6.png')
5.3 Conclusiones sobre las modificaciones del circuito
Si comparamos la gráficas para diferentes valores de la resistencia \(R_3\) podemos observar:
- La intensidad \(i_1\) que recorre el circuito disminuye según la ley de Ohm.
- El valor de \(i_3\) dismuye mientras \(i_2\) aumenta al elevar el valor de \(R_3\).
- Se puede observar tambien que la estabilizacion de ambas intensidades \(i_2\) e \(i_3\) se consigue a un tiempo mayor.
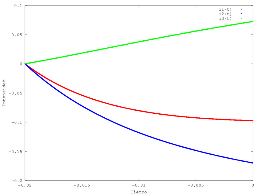
6 Valores iniciales de las intensidades
E1=20;
R1=6;
R2=6;
R3=9;
L1= 0.3;
L2 =0.11;
t0=-0.02;
%Consideramos tN negativo como artificio de cálculo.
tN=0;
N=10000;
h=(tN-t0)/N;
i0 = [1 1]';
A= [-(R1+R2)/L2 -R1/L2;-R1/L1 -(R1+R3)/L1];
B=[E1/L2 E1/L1]';
i=i0;
i2(1)=i(1);
i3(1)=i(2);
for n=1:N
i=i+h*((A*i)+B);
i2(n+1)=i(1);
i3(n+1)=i(2);
end
x=t0:h:tN;
i1=i2+i3;
i33=1-i3;
i22=1-i2;
i11=i22+i33;
plot(x,i11,'.;i1(t);r',x,i22,'.;i2(t);b',x,i33,'.;i3(t);g')
xlabel('Tiempo');
ylabel('Intensidad');
print('-dpng','intensidadesiniciales.png')
i33(N)
i22(N)
i11(N)
Con este programa podemos observar la evolucion de las intensidades en el periodo inicial del circuito siendo los valores correspondientes \(i_1\) = -0.097294, \(i_2\) =0.16982 e \(i_1\) = -0.07256.





